2 英文参考
polyacrylic resinⅣ[湘雅医学专业词典]
3 聚丙烯酸树脂Ⅳ药典标准
3.1 品名
3.1.1 中文名
3.1.2 汉语拼音
Jubingxisuan Shuzhi Ⅳ
3.1.3 英文名
Polyacrylic Resin Ⅳ
3.2 来源含量
3.3 性状
本品为淡黄色粒状或片状固体;有特臭。
本品在温乙醇中(1小时内)溶解,在盐酸溶液(9→1000)中(1小时内)略溶,在水中不溶。
3.3.1 相对密度
取本品10.25g,置100ml量瓶中,加异丙醇-丙酮(3:2)溶解并稀释至刻度,作为供试品溶液。供试品溶液的相对密度(2010年版药典二部附录Ⅵ A)为0.810~0.820。
3.3.2 折光率
取相对密度项下的供试品溶液,依法测定(2010年版药典二部附录Ⅵ F),供试品溶液的折光率为1.380~1.395。
3.3.3 黏度
取本品12.00g,置100ml量瓶中,加乙醇溶解并稀释至刻度,用NDJ-79型旋转式黏度计,依法测定(2010年版药典二部附录Ⅵ G第二法),在30℃时的动力黏度为5~20mPa·s。
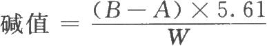
3.3.4 碱值
取本品约0.3g,精密称定,加中性乙醇(对溴酚蓝指示液呈黄色)25ml,使溶解,精密加盐酸滴定液(0.1mol/L)20ml和溴酚蓝指示液数滴,摇匀,用氢氧化钠滴定液(0.1mol/L)滴定至溶液呈蓝绿色,同时做空白试验,以本品消耗的氢氧化钠滴定液(0.1mol/L)的容积(ml)为A,空白试验消耗的容积(ml)为B,本品的重量(g)为W,照下式计算即得,碱值应为162.0~198.0。

3.4 鉴别
取黏度测定项下的溶液约10μl,涂布于直径13mm的溴化钾压制空白片上,加热挥干溶剂,测定红外光谱图,应与同法制作的对照品红外光谱图一致(2010年版药典二部附录Ⅳ C)。
3.5 检查
3.5.1 溶液的颜色
取相对密度项下的供试品溶液,照紫外-可见分光光度法(2010年版药典二部附录Ⅳ A),在420nm的波长处测定吸光度,不得过0.20。
3.5.2 干燥失重
取本品,在110℃干燥至恒重,减失重量不得过4.0%(2010年版药典二部附录Ⅷ L)。
3.5.3 炽灼残渣
取本品1.0g,依法检查(2010年版药典二部附录Ⅷ N),遗留残渣不得过0.2%。
3.5.4 重金属
取炽灼残渣项下遗留的残渣,依法检查(2010年版药典二部附录Ⅷ H第二法),含重金属不得过百万分之十。
3.5.5 砷盐
取本品1.0g,加硫酸10ml,加热至完全炭化后,逐滴加入过氧化氢溶液至溶液完全褪色,放冷,加水10ml,加热到产生三氧化硫气体,放冷,加水适量使成28ml,依法检查(2010年版药典二部附录Ⅷ J第一法),应符合规定(0.0002%)。
3.6 类别
药用辅料,包衣材料和释放阻滞剂等。
3.7 贮藏
3.8 版本
《中华人民共和国药典》2010年版