2 英文参考
nalorphine hydrobromide[湘雅医学专业词典]
3 氢溴酸烯丙吗啡药典标准
3.1 品名
3.1.1 中文名
3.1.2 汉语拼音
Qingxiusuan Xibingmafei
3.1.3 英文名
Nalorphine Hydrobromide
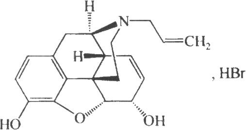
3.2 结构式

3.3 分子式与分子量
C19H21NO3·HBr 392.29
3.4 来源(名称)、含量(效价)
本品为17-(2-丙烯基)-3-羟基-4,5a-环氧-7,8-二脱氢吗啡喃-6a-醇氢溴酸盐。按干燥品计算,含C19H21NO3·HBr不得少于98.0%。
3.5 性状
本品在水中溶解,在乙醇中略溶,在三氯甲烷或乙醚中几乎不溶;在稀碱溶液中溶解。
3.5.1 比旋度
取本品,精密称定,加甲醇溶解并定量稀释制成每1ml中约含10mg的溶液,依法测定(2010年版药典二部附录Ⅵ E),比旋度为-100°至-105°。
3.6 鉴别
(1)取本品约0.1g,加水5ml溶解后,加氨试液1滴,即生成白色沉淀;能在氢氧化钠试液中溶解。
(2)取本品约0.1g,加水5ml溶解后,加三氯化铁试液1滴,即显蓝色。
(3)取本品约50mg,加四氯化碳2ml溶解后,加溴试液约1ml,四氯化碳层不显色,水层显红棕色。
(4)本品的水溶液显溴化物的鉴别反应(2010年版药典二部附录Ⅲ)。
3.7 检查
3.7.1 酸度
取本品0.20g,加水10ml溶解后,依法测定(2010年版药典二部附录Ⅵ H),pH值应为4.0~5.5。
3.7.2 溶液的澄清度与颜色
取本品0.20g,加新沸并放冷的水10ml溶解后,溶液应澄清无色。如显浑浊,与1号浊度标准液(2010年版药典二部附录Ⅸ B)比较,不得更浓;如显色,与黄色2号标准比色液(2010年版药典二部附录Ⅸ A第一法)比较,不得更深。
3.7.3 有关物质
取本品,加甲醇制成每1ml中含20mg的溶液,作为供试品溶液。另取吗啡对照品,精密称定,加甲醇溶解并定量制成每1ml中含0.2mg的溶液,作为对照品溶液。照薄层色谱法(2010年版药典二部附录Ⅴ B)试验,吸取供试品溶液与对照品溶液各10μl,分别点于同一硅胶G薄层板上,以乙酸乙酯-甲醇-浓氨溶液(8.6:1:0.4)为展开剂,展开,晾干,喷以浓碘铂酸钾试液显色。供试品溶液如显杂质斑点,与对照品溶液的主斑点比较,不得更深。
3.7.4 干燥失重
取本品0.5g,在105℃干燥至恒重,减失重量不得过1.0%(2010年版药典二部附录Ⅶ L)。
3.7.5 炽灼残渣
不得过0.1%(2010年版药典二部附录Ⅷ N)。
3.8 含量测定
取本品约0.3g,精密称定,加冰醋酸30ml与醋酸汞试液10ml溶解后,加结晶紫指示液1滴,用高氯酸滴定液(0.1mol/L)滴定至溶液显纯蓝色,并将滴定的结果用空白试验校正。每1ml高氯酸滴定液(0.1mol/L)相当于39.23mg的C19H21NO3·HBr。
3.9 类别
吗啡拮抗药。
3.10 贮藏
3.11 制剂
3.12 版本
《中华人民共和国药典》2010年版