2 英文參考
chloramphenicol palmitate[湘雅醫學專業詞典]
3 棕櫚氯黴素藥典標準
3.1 品名
3.1.1 中文名
3.1.2 漢語拼音
Zonglü Lümeisu
3.1.3 英文名
Chloramphenicol Palmitate
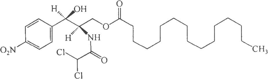
3.2 結構式

3.3 分子式與分子量
C27H42Cl2N2O6 561.55
3.4 來源(名稱)、含量(效價)
本品爲A晶型或B晶型的D-蘇-(-)-N-[α-(羥基甲基)-β-羥基-對硝基苯乙基]-2,2-二氯乙酰胺-α-棕櫚酸酯。按乾燥品計算,含氯黴素( C11H12Cl2N2O5)應爲56.5%~59.0%。
3.5 性狀
本品爲白色或類白色粉末;幾乎無臭,無味。
3.5.1 熔點
本品經60℃乾燥2小時,依法測定(2010年版藥典二部附錄Ⅵ C),A晶型的熔點爲89~95℃;B晶型的熔點爲86~91℃。
3.5.2 比旋度
取本品,精密稱定,加無水乙醇溶解並定量稀釋製成每1ml中約含50mg的溶液,依法測定(2010年版藥典二部附錄Ⅵ E),比旋度爲+22°至+25°。
3.6 鑑別
(1)取本品,加無水乙醇溶解並定量稀釋製成每1ml中含20μg的溶液,照紫外-可見分光光度法(2010年版藥典二部附錄Ⅳ A)測定,在271nm波長處有最大吸收,其吸光度約爲0.35。
(2)取本品(A晶型或B晶型),用糊法測定,其紅外光吸收圖譜應與同晶型對照的圖譜(《藥品紅外光譜集》37圖或38圖)一致。
(3)取本品約0.1g,加乙醇制氫氧化鉀試液2ml使溶解,注意防止乙醇揮散,置水浴中加熱15分鐘,溶液顯氯化物的鑑別反應(2010年版藥典二部附錄Ⅲ)。
3.7 檢查
3.7.1 遊離棕櫚酸
取本品1g,加對麝香草酚藍呈中性的乙醇30ml,溶解後,用氫氧化鈉滴定液(0.02mol/L)滴定至溶液顯綠色。每1ml氫氧化鈉滴定液(0.02mol/L)相當於5.128mg的C16H32O2,含遊離棕櫚酸(C16H32O2)不得過2.0%。
3.7.2 遊離氯黴素
取本品約1g,精密稱定,置100ml錐形瓶中,加二甲苯80ml,置熱水浴中加熱使溶解,放冷,移入分液漏斗中,用水提取3次,每次15ml,合併提取液,用四氯化碳10ml洗滌,提取液置50ml量瓶中,加水稀釋至刻度,搖勻,離心,取上清液,照紫外-可見分光光度法(2010年版藥典二部附錄Ⅳ A),在278nm的波長處測定吸光度;另取不含供試品的二甲苯80ml,照上法同樣操作,作爲空白校正,其吸光度應小於0.05。按C11H12Cl2N2O5的吸收係數(
)爲298計算,含氯黴素不得過0.045%。
3.7.3 乾燥失重
取本品,以五氧化二磷爲乾燥劑,在60℃減壓乾燥至恆重,減失重量不得過1.0%(2010年版藥典二部附錄Ⅷ L)。
3.7.4 熾灼殘渣
不得過0.1%(2010年版藥典二部附錄Ⅷ N)。
3.8 含量測定
取本品適量,精密稱定,加無水乙醇溶解並定量稀釋製成每1ml中約含25μg的溶液,照紫外-可見分光光度法(2010年版藥典二部附錄Ⅳ A),在271nm的波長處測定吸光度,按C27H42Cl2N2O6的吸收係數(
)爲178計算,再乘以0.5754,即得相當於氯黴素的量。
3.9 類別
酰胺醇類抗生素。
3.10 貯藏
3.11 製劑
(1)棕櫚氯黴素混懸液 (2)棕櫚氯黴素(B型)片 (3)棕櫚氯黴素(B型)顆粒
3.12 版本
《中華人民共和國藥典》2010年版