2 英文參考
bleomycin A5 hydrochloride[湘雅醫學專業詞典]
3 鹽酸平陽黴素藥典標準
3.1 品名
3.1.1 中文名
3.1.2 漢語拼音
Yansuan Pingyangmeisu
3.1.3 英文名
Bleomycin A5 Hydrochloride
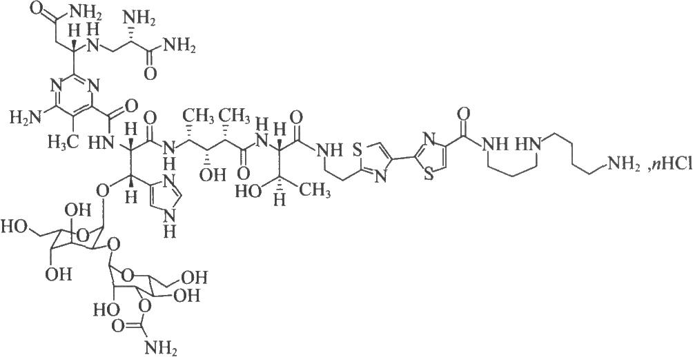
3.2 結構式

3.3 分子式與分子量
C57H89N19O21S2·nHCl
3.4 來源(名稱)、含量(效價)
本品爲N'[3-[(4-氨基丁基)氨基]丙基]博萊黴素酰胺鹽酸鹽。按乾燥品計算,含鹽酸平陽黴素(C57H89N19O21S·nHCl)不得少於85.0%。
3.5 性狀
本品爲白色或類白色疏鬆塊狀物或粉末;無臭或幾乎無臭;引溼性較強。
本品在水中或甲醇中易溶,在乙醇中微溶,在丙酮、三氯甲烷或乙醚中幾乎不溶。
3.6 鑑別
(1)在含量測定項下記錄的色譜圖中,供試品溶液主峯的保留時間應與對照品溶液主峯的保留時間一致。
(2)取本品適量,加水溶解並稀釋製成每1ml中含0.04mg的溶液,取10ml,加3%硫酸銅溶液0.05ml,照紫外-可見分光光度法(2010年版藥典二部附錄Ⅳ A)測定,在242nm與291nm的波長處有最大吸收。
(3)本品的水溶液顯氯化物的鑑別反應(2010年版藥典二部附錄Ⅲ)。
3.7 檢查
3.7.1 酸度
取本品,加水製成每1ml中含4mg的溶液,依法測定(2010年版藥典二部附錄Ⅵ H),pH值應爲4.5~6.0。
3.7.2 溶液的澄清度與顏色
取本品5份,各10mg,分別加水2ml使溶解,溶液應澄清無色;如顯渾濁,與1號濁度標準液(2010年版藥典二部附錄Ⅸ B)比較,均不得更濃;如顯色,與黃色或黃綠色2號標準比色液(2010年版藥典二部附錄Ⅸ A第一法)比較,均不得更深。
3.7.3 有關物質
取本品適量,加水溶解並稀釋製成每1ml中含2.0mg的溶液,作爲供試品溶液;精密量取2ml,置100ml量瓶中,用水稀釋至刻度,搖勻,作爲對照溶液。照含量測定項下色譜條件,取對照溶液20μl注入液相色譜儀,調節檢測靈敏度,使主成分色譜峯的峯高約爲滿量程的20%,精密量取供試品溶液與對照溶液各20μl,分別注入液相色譜儀,記錄色譜圖。供試品溶液色譜圖中如有雜質峯,最大雜質峯面積不得大於校正後對照溶液主峯面積的3.5倍(7.0%),其他單個雜質峯面積不得大於校正後對照溶液主峯面積的2.5倍(5.0%),各雜質峯面積的和不得大於校正後對照溶液主峯面積的7.5倍(15.0%),供試品溶液色譜圖中任何小於對照溶液主峯面積0.025倍的峯可忽略不計。(對照溶液主峯面積除以供試品的含量,即爲校正後的對照溶液主峯面積)。
3.7.4 乾燥失重
取本品,以五氧化二磷爲乾燥劑,在60℃減壓乾燥至恆重,減失重量不得過6.0%(2010年版藥典二部附錄Ⅷ L)。
3.7.5 銅鹽
取本品約15mg,精密稱定,置10ml量瓶中,加0.1mol/L鹽酸溶液3ml使溶解,精密量取銅對照溶液[精密稱取硫酸銅(CuSO4·5H2O)1.965g,置1000ml量瓶中,加0.1mol/L鹽酸溶液溶解並稀釋至刻度,搖勻,精密量取5ml,置500ml量瓶中,用0.1mol/L鹽酸溶液稀釋至刻度。每1ml中含銅0.005mg]3ml,置另一10ml量瓶中,在上述兩個量瓶中,分別加入3%阿拉伯膠溶液0.4ml,搖勻,再加二乙基二硫代氨基甲酸鈉試液2ml,用0.1mol/L鹽酸溶液稀釋至刻度,搖勻,分別作爲供試品溶液及銅對照稀釋溶液;另以0.1mol/L鹽酸溶液同法操作,作爲空白;照紫外-可見分光光度法(2010年版藥典二部附錄Ⅳ A),在450nm的波長處分別測定吸光度,含銅量不得過0.1%。
3.7.6 異常毒性
取本品,加氯化鈉注射液製成每1ml中含2mg的溶液,依法檢查(2010年版藥典二部附錄Ⅺ C),按靜脈注射法給藥,觀察7天,應符合規定。
3.7.7 細菌內毒素
取本品,依法檢查(2010年版藥典二部附錄Ⅺ E),每1mg鹽酸平陽黴素中含內毒素的量應小於5.0EU。
3.7.8 降壓物質
取本品適量,依法檢查(2010年版藥典二部附錄Ⅺ G),劑量按貓體重每1kg注射鹽酸平陽黴素0.3mg,應符合規定。
3.8 含量測定
照高效液相色譜法(2010年版藥典二部附錄Ⅴ D)測定。
3.8.1 色譜條件與系統適用性試驗
用十八烷基硅烷鍵合硅膠爲填充劑;以己烷磺酸鈉溶液(取己烷磺酸鈉7.53g與乙二胺四醋酸二鈉3.72g,加0.08mol/L醋酸溶液使溶解並稀釋至1000ml,用氨溶液調節pH值至4.3)爲流動相A;以甲醇-乙腈(7:3)爲流動相B,按下表進行線性梯度洗脫,檢測波長爲254nm。取本品兩份,每份約8mg,一份加1mol/L鹽酸溶液1.0ml,另一份加30%過氧化氫溶液1.0ml,搖勻,放置1小時後,混合,加水2ml,搖勻,得每1ml中約含鹽酸平陽黴素2.0mg及其酸降解物(約含10%)與氧化降解物(約含15%)的混合溶液,取20μl注入液相色譜儀,記錄色譜圖,出峯順序爲酸降解物峯、平陽黴素峯、氧化降解物峯(相對保留時間分別約爲0.94,1.0,1.1),平陽黴素峯的保留時間約爲20分鐘。酸降解物峯與平陽黴素峯分離度應大於1.0,平陽黴素峯與氧化降解物峯分離度應大於1.5。
時間(分鐘) | 流動相A(%) | 流動相B(%) |
0 | 70 | 30 |
15 | 68 | 32 |
35 | 60 | 40 |
36 | 70 | 30 |
40 | 70 | 30 |
3.8.2 測定法
取本品適量,精密稱定,加水溶解並定量稀釋製成每1ml中約含鹽酸平陽黴素0.4mg的溶液,精密量取20μl注入液相色譜儀,記錄色譜圖;另取鹽酸平陽黴素對照品,同法測定。按外標法以峯面積計算,即得。
3.9 類別
抗腫瘤抗生素類藥。
3.10 貯藏
3.11 製劑
3.12 版本
《中華人民共和國藥典》2010年版