一、两均数的比较
例7.6 某工业区卫生防疫站为掌握学龄儿童免疫球蛋白水平,对一批无结核及肾炎病史,一月内无急性感染,又未进行预防接种的学生作了血清IgM(mg/dl)测定,其中12岁男孩73人的X±S为125±54,12岁女孩68人的为153±75,试比较12岁男、女孩的IgM水平有无显着差别。
这里令男生为第1组,女生为第2组。
(1)检验假设H:μ1=μ2;H1:μ1≠μ2。
(2)定α=0.05则对应于P为0.05时的u0.05值为1.96。
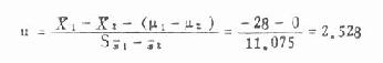
(3)求两均数的相差数X1-X2、两均数相差的标准误Sχ1-χ2及u值。此外,计算Sχ1-χ2的公式为
(7.5)
将有关数字代入得
X1-X2=125-153=-28

然后求u

(4)结论 因│u┃>u0.05=1.96,P<0.05。在α=0.05水准处拒绝H而接受H1,即μ1≠μ2,故认为12岁女孩的血清免疫球蛋白IgM高于同龄男孩。
二、两个率的比较
关于计数资料,求出特征数百分率后,率与率的比较一般采用第三章介绍的X2检验法,在大样本时,根据样本率分布呈正态分布的特点,也可用u检验。
例7.7 某地曾流行一种原因不明的皮炎,有关部门进行调查时,以宅旁有桑毛虫寄生树的人群为观察组(第1组),以宅旁无该树者为对照组(第2组),两组患病率如下,经显着性检验可得什么结论?
表7.4 两组皮炎患病率
| 组 别 | 观察例数 | 患者 | 患病率(%) |
| 观察组 | 144 | 105 | 72.92 |
| 对照组 | 139 | 66 | 47.48 |
| 合 计 | 283 | 171 | 60.42 |
(1)检验假设 HO:两组相应的总体率相等即π1=π2,H1:π1≠π2。
(2)显著性水准 为使结论更加可靠,定α=0.01,则1%界u0.01=2.58。
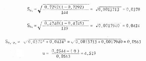
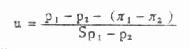
(3)求两样百分率的相差、两百分率相差的标准误Sp1—p2及u值。
![]()
式内π为两组合计百分率,此例为0.6042,见表7.4合计栏。
(7.6)
将有关数字代入得

(4)结论 │u│=4.379>u0.01=2.58,P<0.01,也即在α=0.01水准处拒绝H,接受H1,即μ1≠μ2,宅旁有桑毛虫寄生树的人群皮炎患病率较高。
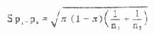
此外,两百率相差的标准误Sp1-p2还有近似计算公式如下;
(7.7)
式中S2P1、S5P2分别为第1、2两组百分比的标准误的平方,标准误计算公式即式(6.4)
![]()
用上例数据代入可算得

这里,标准误与u值尽管和前面算得的稍有出入,但还是│u│>u0.01=2.58,P<0.01,结论相同。