二、直线回归方程的计算法

仍以表9.1资料为例,根据前面的相关分析以及医学上有关凝血的机理,可知凝血时间依凝血酶浓度而异,且有密切的关系。因此可进一步作由凝血酶浓度(X)推算凝血时间(Y)的回归方程。求直线回归方程的步骤如下:

1.列回归计算表(见表9.1),计算∑X、∑Y、∑X2、∑Y2、∑XY。

2.计算X、Y、∑(X-X)2、∑(X-X)(Y-Y)

X=∑X/n=15.1/15=1.01

Y=∑Y/n=222/15=14.80

∑(X-X)2=∑X2-(∑X)2/n=0.2093

∑(X-X)(Y-Y)=∑XY-∑X·∑Y/n=-1.7800

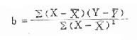
3.计算回归系数b和截距a。b和a两值计算公式均是根据最小二乘法的原理推算出来的,其公式如下:

(9.5)

a=Y-bX        (9.6)

本例b=-1.7800/0.2093=-8.5045

a=14.80-(-8.5045)(1.01)=23.3895

4.列出回归方程,绘制回归直线,将求得的b和a的值代入到式(9.4),即得所求的回归方程:

=23.3895-8.504X

在凝血酶浓度的实测范围内,即X=0.8到X=1.2之间,任选两个X值(一般选相距较远且直角坐标系上容易读出者),代入此回归方程,即得相应的两个值。例如:

取 X1=0.8,则1=23.3895-8.5045×0.8=16.59,

X2=1.2 则2=23.3895-8.5045×1.2=13.18。

连接(0.8、16.59)和(1.2、13.18)两点所得直线,即为由凝血酶浓度推算凝血时间的回归直线(见图9.9)。须注意回归直线必通过(χ,y )点,并穿过观察点群,直线上下各有一些点散布着,否则计算有误。