一、相关系数的意义
相关分析是用相关系数(r)来表示两个变量间相互的直线关系,并判断其密切程度的统计方法。相关系数r没有单位。在-1~+1范围内变动,其绝对值愈接近1,两个变量间的直线相关愈密切,愈接近0,相关愈不密切。相关系数若为正,说明一变量随另一变量增减而增减,方向相同;若为负,表示一变量增加、另一变量减少,即方向相反,但它不能表达直线以外(如各种曲线)的关系。
为判断两事物数量间有无相关,可先将两组变量中一对对数值在普通方格纸上作散点图,如图9.1~9.8所示。图中点子的分布可出现以下几种情况:
正相关——见图9.1,各点分布呈椭圆形,Y随X的增加而增加,X亦随Y的增加而增加,此时1>r>0。椭圆范围内各点的排列愈接近其长轴,相关愈密切,当所有点子都在长轴上时,r=1(见图9.2),称为完全正相关。
负相关——见图9.3,各点分布亦呈椭圆形,Y随X的增加而减少,X也随Y的增加而减少,此时0>r>-1。各点排列愈接近其长轴,相关愈密切,当所有点子都在长轴上时,r=1(见图9.4),称为完全负相关。
在生物现象中,完全正相关或完全负相关甚为少见。
无相关——见图9.5、图9.6和图9.7,X不论增加或减少,Y的大小不受其影响;反之亦然。此时r=0。另外,须注意有时虽然各点密集于一条直线,但该直线与X轴或Y轴平行,即X与Y的消长互不影响,这种情况仍为无相关。
非线性相关——见图9.8,图中各点的排列不呈直线趋势,却呈某种曲线形状,此时r≈0,类似这种情况称为非线性相关。

图9.1—9.8 不同相关系数的散点示意图
二、相关系数的计算及假设检验
(一)相关系数计算法
计算相关系数的基本公式为:
(9.1)
式(9.1)中r为相关系数,∑(X-X)2为X的离均差平方和,∑(Y-Y)2为Y的离均差平方和,∑(X-X)(Y-Y)为X与Y的离均差乘积之和,简称离均差积之和,此值可正可负。以此式为基础计算相关系数的方法称积差法,在实际应用时式(9.1)中各离均差平方和(简称差方和)与积之和可化为

(9.2)
现举例说明计算相关系数的一般步骤:
例9.1 测定15名健康成人血液的一般凝血酶浓度(单位/毫升)及血液的凝固时间(秒),测定结果记录于表9.1第(2)、(3)栏,问血凝时间与凝血酶浓度间有无相关?
1.绘图,将表9.1第(2)、(3)栏各对数据绘成散点图,见图9.9。
2.求出∑X、∑Y、∑X2、∑Y2、∑XY,见表9.1下方。
3,代入公式,求出r值。

图9.9 凝血时间与凝血酶浓度散点图及回归直线
表9.1 相关系数计算表
| 受试者号 (1) |
凝血酶浓度(单位/毫升)X(2) | 凝血时间(秒)Y(3) |
| 1 | 1.1 | 14 |
| 2 | 1.2 | 13 |
| 3 | 1.0 | 15 |
| 4 | 0.9 | 15 |
| 5 | 1.2 | 13 |
| 6 | 1.1 | 14 |
| 7 | 0.9 | 16 |
| 8 | 0.9 | 15 |
| 9 | 1.0 | 14 |
| 10 | 0.9 | 16 |
| 11 | 1.1 | 15 |
| 12 | 0.9 | 16 |
| 13 | 1.1 | 14 |
| 14 | 1.0 | 15 |
| 15 | 0.8 | 17 |
| 合计 | 15.1 | 222 |
∑X=15.1 ∑Y=222
∑XY=221.7
∑X2=15.41∑Y2=3304
本例的相关系数r=-0.9070,负值表示血凝时间随凝血酶浓度的增高而缩短;绝对值∣-0.9070∣表示这一关系的密切程度。至于此相关系数是否显著,则要经过下面的分析。
(二)相关系数的假设检验
虽然样本相关系数r可作为总体相关系数ρ的估计值,但从相关系数ρ=0的总体中抽出的样本,计算其相关系数r,因为有抽样误差,故不一定是0,要判断不等于0的r值是来自ρ=0的总体还是来自ρ≠0的总体,必须进行显著性检验。检验假设是ρ=0,r与0的差别是否显著要按该样本来自ρ=0的总体概率而定。如果从相关系数ρ=0的总体中取得某r值的概率P>0.05,我们就接受假设,认为此r值的很可能是从此总体中取得的。因此判断两变量间无显著关系;如果取得r值的概率P≤0.05或P≤0.01,我们就在α=0.05或α=0.01水准上拒绝检验假设,认为该r值不是来自ρ=0的总体,而是来自ρ≠0的另一个总体,因此就判断两变量间有显著关系。
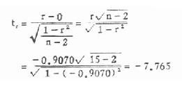
由于来自ρ-0的总体的所有样本相关系数呈对称分布,故r的显著性可用t检验来进行。本例r=-0.9070,进行t检验的步骤为:
1.建立检验假设,H:ρ=0,H1:ρ≠0,α=0.01
2.计算相关系数的r的t值:
(9.3)
3.查t值表作结论
ν=n-2=15-2=13
根据专业知识知道凝血酶浓度与凝血时间之间不会呈正相关,故宜用单侧界限,查t值表得
t0.01,13=2.650
今∣tr∣>t0.01,13,P<0.01,在α=0.01水准上拒绝H,接受H1,故可认为凝血时间的长短与血液中酶浓度有负相关。
为简化tr检验的计算过程,数理统计工作者根据t分配表,已把不同自由度时r的临界值求出,并列成相关系数界值表(见附表11)。故求相关系数后,只需查表就可知道该r值是否显著,而不必再计算tr值。
r的显著性界限为
|r|
r0.05,,≤|r|<r0.01,,0.05≥P>0.01
在α=0.05水准上相关显著
|r|≥r0.01,,P≤0.01 在α=0.01水准上相关显著
例9.1的ν =15-2=13,查附表11中P(1)的界值,得:
r0.05,13=0.441r0.01,13=0.592
现r=-0.9070,∣r∣>r0.01,13,P<0.01,按α=0.01水准,拒绝HO,接受H1。认为ρ≠0,说明凝血时间的长短与血液中凝血酶浓度有负相关。结论与计算所得一致。
相关系数的显著性与自由度的大小有关,如n=3,ν=1时,虽r=-0.9070,却为不显著;若ν=400时,即使r=0.1000,亦为显著。因此不能只看r的值,不考虑ν就下结论。