此法由Wilcoxon氏首次提出,故又称Wilcoxon氏法。
处理时可用查表法或计算法,今以例10.3分别说明如下。
查表法步骤:
1.排队,将差数按绝对值从小至大排列并标明原来的正负号,见表10.3第(5)栏,排队后与原豚鼠号已无对应关系。
2.编秩号,成对资料编秩号时较为复杂,要注意三点:
(1)按差数的绝对值自小至大排秩号,但排好后秩号要保持原差数的正负号;
(2)差数绝对值相等时,要以平均秩号表示,如表10.3中差数绝对值为4者共三人,其秩号依次应为2、3、4,现皆取平均秩号3;
(3)差数为0时,其秩号要分为正、负各半,若有一个0,因其绝对值最小,故秩号为1,分为0.5与-0.5,若有两个0,则第二个0的秩号为2,分为1与-1等等。
3.求秩号之和即将正、负秩号分别相加,本例得正秩号之和为68,负秩号之和为10,正负秩号绝对值之和应等于1/2n(n+1),可用以核对,如本例68+10=12/1(12+1)=78,证明秩号计算正确。
4.以较小一个秩号之和(R),查附表12进行判断,该表左侧为对子数,表身内部是较小秩号和,与上端纵标目之概率0.05,0.01相对应,其判断标准是
R>R0.05时P>0.05
R0.05≥R>R0.01时0.05≥P>0.01
P≤R0.01时 P≤0.01
例10.3 请以表10.1资料用秩和检验处理之。
表10.3 豚鼠给药前后灌流滴数及其秩号
| 豚鼠号 (1) |
每分钟灌流滴数 | 按差数绝对值排队(5) | 秩号 | |||
| 用药前(2) | 用药后(3) | 差数(4) | 正(6) | 负(7) | ||
| 1 | 30 | 46 | 16 | -2 | 1 | |
| 2 | 38 | 50 | 12 | -4 | 3 | |
| 3 | 48 | 52 | 4 | 4 | 3 | |
| 4 | 48 | 52 | 4 | 4 | 3 | |
| 5 | 60 | 58 | -2 | -8 | 6 | |
| 6 | 46 | 64 | 18 | 8 | 6 | |
| 7 | 26 | 56 | 30 | 8 | 6 | |
| 8 | 58 | 54 | -4 | 10 | 8 | |
| 9 | 46 | 54 | 8 | 12 | 9 | |
| 10 | 48 | 58 | 10 | 16 | 10 | |
| 11 | 44 | 36 | -8 | 18 | 11 | |
| 12 | 46 | 54 | 8 | 30 | 12 | |
68 R=10
将表中10.1中用药前后的数据求出差数,并按差数绝对值排队,结果见表10.3第(5)栏。再编秩号,为计算方便,正、负秩号分列两栏,见表10.3第(6)、(7)栏。
上例,n=12,∣R∣=10,查附表12得
R0.05=14R0.01=7
今R0.05>R>R0.01,故0.05>P>0.01,在概率0.05水平上拒绝H,接受H1,即用药前后的相差是显著的,给药后每分钟灌流滴数比用药前增多了。
附表12中只列有n≤25时的临界值。当n值较大时亦可采用计算法。
计算法步骤:
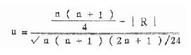
在计算法时,对差数的排队,编秩号及求秩号之和同查表法,不同的是求得秩号之和以后的算,所用公式是:

u0.05=1.96u0.01=2.58 (10.5)
式中n为原始资料中数据的对子数,R为正秩号之和或负秩号之和,为计算方便,通常取绝对值较小的秩号之和为r 。
本例,n=12,R=-10,代入得:

U0.050.01,故0.05>P>0.01,在α=0.05水准上拒绝H,接受H1,结论与查表法相同。
据研究,当n大于10时,上式算得的u近似正态分布,故计算法只用于n值较大时。
因本例资料接近正态分布,故曾用t检验的个别比较方法处理过,结果是:t=2.653 0.05>P>0.01,与秩和检验结论相同,但与符号检验结论不同(χ2=2.083,P>0.05),说明符号检验的检验效率比秩和与t检验都要低,比较粗糙,而秩和检验的效率与t检验较接近。