2 英文参考
metacyclini chloridum,metacycline hydrochloride[湘雅医学专业词典]
3 盐酸美他环素药典标准
3.1 品名
3.1.1 中文名
3.1.2 汉语拼音
Yansuan Meitahuansu
3.1.3 英文名
Metacycline Hydrochloride
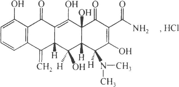
3.2 结构式

3.3 分子式与分子量
C22H22N2O8·HCl 478.89
3.4 来源(名称)、含量(效价)
本品为6-亚甲基-4-(二甲氨基)-3,5,10,12,12a-五羟基-1,11-二氧代-1,4,4a,5,5a,6,11,12a-八氢-并四苯甲酰胺盐酸盐。按干燥品计算,含C22H22N2O8不得少于87.0%。
3.5 性状
本品为黄色结晶性粉末;无臭,味苦。
3.6 鉴别
(1)在含量测定项下记录的色谱图中,供试品溶液主峰的保留时间应与对照品溶液主峰的保留时间一致。
(2)取本品,加水溶解并稀释制成每1ml中约含10μg的溶液,照紫外-可见分光光度法(2010年版药典二部附录Ⅳ A)测定,在345nm、282nm和241nm的波长处有最大吸收,在264nm和222nm的波长处有最小吸收。
(3)本品的红外光吸收图谱应与对照的图谱(《药品红外光谱集》1026图)一致。
(4)本品的水溶液显氯化物的鉴别反应(2010年版药典二部附录Ⅲ)。
3.7 检查
3.7.1 酸度
取本品0.1g,加水10ml超声使溶解后,依法测定(2010年版药典二部附录Ⅵ H),pH值应为2.0~3.0。
3.7.2 有关物质
取本品,加0.01mol/L盐酸溶液溶解并稀释制成每1ml中约含0.2mg的溶液,作为供试品溶液;精密量取适量,用0.01mol/L盐酸溶液定量稀释制成每1ml中约含2μg的溶液,作为对照溶液。照含量测定项下的色谱条件,取对照溶液20μl注入液相色谱仪,调节检测灵敏度,使主成分色谱峰的峰高约为满量程的25%;再精密量取供试品溶液和对照溶液各20μl,分别注入液相色谱仪,记录色谱图至主成分峰保留时间的2倍。供试品溶液色谱图中如有杂质峰,单个杂质峰面积不得大于对照溶液主峰面积的1.2倍(1.2%),各杂质峰面积的和不得大于对照溶液主峰面积的3倍(3.0%)。
3.7.3 杂质吸光度
取本品,加1mol/L盐酸甲醇溶液(1→100)溶解并定量稀释制成每1ml中含10mg的溶液,照紫外-可见分光光度法(2010年版药典二部附录Ⅳ A),在490nm的波长处测定,吸光度不得过0.20。
3.7.4 干燥失重
取本品0.2~0.3g,在105℃干燥至恒重,减失重量不得过1.5%(2010年版药典二部附录Ⅷ L)。
3.7.5 炽灼残渣
不得过0.2%(2010年版药典二部附录Ⅷ N)。
3.8 含量测定
照高效液相色谱法(2010年版药典二部附录Ⅴ D)测定。
3.8.1 色谱条件与系统适用性试验
用十八烷基硅烷键合硅胶为填充剂;以醋酸盐缓冲液[0.25mol/L醋酸铵-0.1mol/L乙二胺四醋酸二钠-三乙胺(100:10:1),用冰醋酸调节pH值至8.3]-乙腈(85:15)为流动相;柱温35℃;检测波长为280nm。取土霉素对照品、美他环素对照品适量,用0.01mol/L盐酸溶液溶解并稀释制成每1ml中各含0.1mg的混合溶液,取20μl注入液相色谱仪,记录色谱图,土霉素峰与美他环素峰的分离度应大于6.0。
3.8.2 测定法
取本品适量,精密称定,用0.01mol/L盐酸溶液溶解并定量稀释制成每1ml中约含0.1mg的溶液,精密量取20μl注入液相色谱仪,记录色谱图;另取美他环素对照品适量,同法测定。按外标法以峰面积计算供试品中C22H22N2O8的含量。
3.9 类别
3.10 贮藏
3.11 制剂
3.12 版本
《中华人民共和国药典》2010年版