3 乳糖酸红霉素药典标准
3.1 品名
3.1.1 中文名
3.1.2 汉语拼音
Rutangsuan Hongmeisu
3.1.3 英文名
Erythromycin Lactobionate
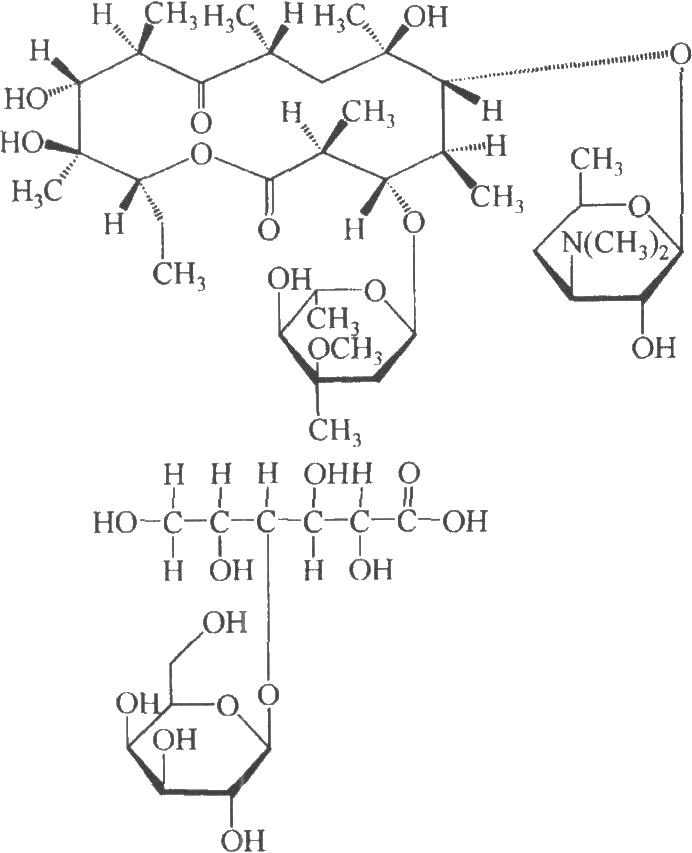
3.2 结构式

3.3 分子式与分子量
C37H67NO13·C12H22O12 1092.24
3.4 来源(名称)、含量(效价)
本品为红霉素的乳糖醛酸盐。按无水物计算,每1mg的效价不得少于610红霉素单位。
3.5 性状
本品为白色或类白色的结晶或粉末;无臭,味苦。
本品在水或乙醇中易溶,在丙酮或三氯甲烷中微溶,在乙醚中不溶。
3.6 鉴别
(1)在红霉素A组分项下记录的色谱图中,供试品溶液主峰的保留时间应与标准品溶液主峰的保留时间一致。
(2)本品的红外光吸收图谱应与对照的图谱(《药品红外光谱集》257图)一致。如发现在1750~1680cm-1处的吸收峰与对照的图谱不一致时,可取本品适量,溶于无水乙醇中,在水浴上蒸干,置减压干燥器中减压干燥后测定。
3.7 检查
3.7.1 酸碱度
取本品0.85g,加水10ml溶解后,依法测定(2010年版药典二部附录Ⅵ H),pH值应为6.0~7.5。
3.7.2 溶液的澄清度与颜色
取本品5份,各0.85g,分别加水10ml溶解后,溶液应澄清无色;如显浑浊,与1号浊度标准液(2010年版药典二部附录Ⅸ B)比较,均不得更浓;如显色,与黄色1号标准比色液(2010年版药典二部附录Ⅸ A第一法)比较,均不得更深。
3.7.3 红霉素B、C组分及有关物质
取本品,加甲醇适量(10mg加甲醇1ml)溶解后,用磷酸盐缓冲液(pH 7.0)-甲醇(15:1)定量稀释制成每1ml中约含红霉素4mg的溶液,作为供试品溶液;精密量取供试品溶液5ml,置100ml量瓶中,用磷酸盐缓冲液(pH 7.0)-甲醇(15:1)稀释到刻度,摇匀,作为对照溶液。照红霉素A组分项下的色谱条件,取对照溶液20μl.注入液相色谱仪,调节检测灵敏度,使主成分色谱峰的峰高约为满量程的50%,精密量取供试品溶液与对照溶液各20μl,分别注入液相色谱仪,记录色谱图至主峰保留时间的5倍。红霉素B按校正后的峰面积计算(乘以校正因子0.7)和红霉素C峰面积均不得大于对照溶液主峰面积(5.0%)。供试品溶液色谱图中如有杂质峰,除乳糖酸外(约为2分钟),红霉素烯醇醚和杂质1按校正后的峰面积计算(分别乘以校正因子0.09、0.15)和其他单个杂质峰面积均不得大于对照溶液主峰面积的0.6倍(3.0%):其他各杂质峰面积的和不得大于对照溶液主峰面积(5.0%),(供试品溶液应临用前新配,)供试品溶液色谱图中任何小于对照溶液主峰面积0.01倍的峰可忽略不计。
3.7.4 水分
取本品约0.2g,加10%的咪唑无水甲醇溶液使溶解,照水分测定法(2010年版药典二部附录Ⅷ M第一法 A)测定,含水分不得过4.0%。
3.7.5 红霉素A组分
照高效液相色谱法(2010年版药典二部附录Ⅴ D)测定。
3.7.5.1 色谱条件与系统适用性试验
用十八烷基硅烷键合硅胶为填充剂:以磷酸盐溶液(取磷酸氢二钾8.7g,加水1000ml,用20%磷酸调节pH值至8.2)-乙腈(40:60)为流动相;柱温35℃;波长为215nm。取红霉素标准品适量,130℃加热破坏4小时加甲醇适量(红霉素10mg加甲醇1ml)溶解后,用磷酸盐缓冲液(pH 7.0)-甲醇(15:1)稀释制成每1ml中约含4mg的溶液,取20μl注入液相色谱仪。记录色谱图至红霉素A保留时间的5倍。按红霉素C、红霉素A、杂质l、红霉素B、红霉素烯醇醚峰的顺序出峰(必要时,用红霉素C、红霉素B、红霉索烯醇醚对照品进行峰定位)。红霉素A峰与红霉素烯醇醚峰的分离度应大于14.0,红霉素A峰的拖尾因子应小于2.0。
3.7.5.2 测定法
取本品约0.17g和红霉索的标准品约0.1g,精密称定,分别加甲醇适量(10mg加甲醇1ml)溶解后,用磷酸盐缓冲盐(pH 7.0)-甲醇(15:1)定量稀释制成每1ml中约含红霉素4mg的溶液,分别作为供试品溶液和标准品溶液;精密量取供试品溶液与标准品溶液各20μl,分别注入液相色谱仪,记录色谱图,按外标法以峰面积计算供试品中红霉素A的含量。按无水物计,不得少于59.1%[1]。
3.7.6 可见异物
取本品5份,每份为制剂最大规格量,分别加微粒检查用水溶解,依法检查(2010年版药典二部附录Ⅸ H),应符合规定。
3.7.7 不溶性微粒
取本品3份,分别加微粒检查用水溶解,依法检查(2010年版药典二部附录Ⅸ C),每1g样品中,含10μm以上的微粒不得过6000粒,含25μm以上的微粒不得过600粒。
3.7.8 细菌内毒素
取本品,依法检查(2010年版药典二部附录Ⅺ E),每1mg红霉素中含内毒素的量应小于1.0EU。
3.7.9 无菌
取本品,用适宜溶剂溶解后,转移至不少于500ml的0.9%无菌氯化钠溶液中,用薄膜过滤法处理后,依法检查(2010年版药典二部附录Ⅺ H),应符合规定。
3.8 含量测定
取本品适量,精密称定,加灭菌水定量制成每1ml中约含1000单位的溶液,照抗生素微生物检定法红霉素项下的方法(2010年版药典二部附录Ⅺ A)测定。1000红霉素单位相当于1mg的C37H67NO13。可信限率不得大于7%。
3.9 类别
大环内酯类抗生素。
3.10 贮藏
3.11 制剂
3.12 版本
《中华人民共和国药典》2010年版
4 参考资料
- ^ [1] 国家药典委员会.中华人民共和国药典:2010年版:第二增补本[M].北京:中国医药科技出版社,2010.