3 硫酸普拉睾酮钠药典标准
3.1 品名
3.1.1 中文名
3.1.2 汉语拼音
Liusuan Pulagaotongna
3.1.3 英文名
Sodium Prasterone Sulfate
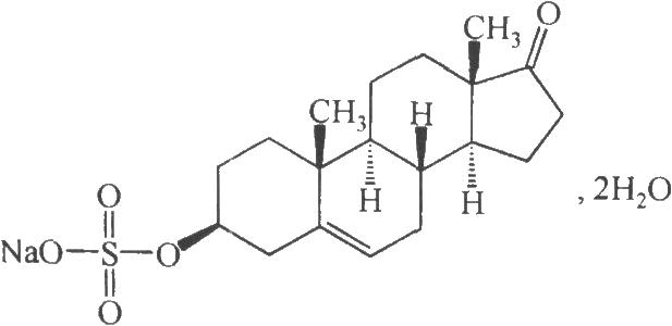
3.2 结构式

3.3 分子式与分子量
C19H27NaO5S·2H2O 426.51
3.4 来源(名称)、含量(效价)
本品为3β-羟基-5-雄甾烯-17-酮硫酸钠二水合物。按干燥品计算,含C19H27NaO5S应为98.0%~102.0%。
3.5 性状
本品在甲醇中溶解,在水中略溶,在无水乙醇中微溶,在丙酮、三氯甲烷或乙醚中几乎不溶。
3.5.1 比旋度
取本品,精密称定,加甲醇溶解并定量稀释制成每1ml中约含40mg的溶液,依法测定(2010年版药典二部附录Ⅵ E),比旋度为+10.7°至+12.1°。
3.6 鉴别
(1)取本品约10mg,加乙醇1ml溶解后,加间二硝基苯约10mg使溶解,加氢氧化钠试液数滴,即显紫红色。
(2)取本品,加水溶解并稀释制成每1ml中含5mg的溶液,照紫外-可见分光光度法(2010年版药典二部附录Ⅳ A)测定,在289nm的波长处有最大吸收,在241nm的波长处有最小吸收。
(3)本品的红外光吸收图谱应与对照的图谱(《药品红外光谱集》874图)一致。
(4)取本品约50mg,加水5ml溶解后,加2mol/L盐酸溶液2ml,置水浴中加热10分钟,放冷,滤过,滤液分成两份:一份显硫酸盐的鉴别反应(2010年版药典二部附录Ⅲ),另一份中加浓氨溶液中和,再加醋酸酸化后,显钠盐的鉴别反应(2010年版药典二部附录Ⅲ)。
3.7 检查
3.7.1 酸度
取本品0.10g,加水10ml溶解后,依法测定(2010年版药典二部附录Ⅵ H),pH值应为5.0~7.0。
3.7.2 溶液的澄清度与颜色
取本品0.10g,加水10ml,充分振摇使溶解,溶液应澄清无色。
3.7.3 氯化物
取本品0.3g,置50ml纳氏比色管中,加丙酮-水(1:1)40ml溶解后,加稀硝酸2ml,摇匀,加水稀释至刻度,依法检查(2010年版药典二部附录Ⅷ A),与标准氯化钠溶液3ml同法制成的对照液比较,不得更浓(0.01%)。
3.7.4 硫酸盐
取本品0.50g,置50ml纳氏比色管中,加丙酮-水(1:1)40ml溶解后,加稀盐酸2ml,摇匀,加25%氯化钡溶液5ml,用水稀释至刻度,摇匀,置30~40℃水浴中放置10分钟,依法检查(2010年版药典二部附录Ⅷ B),与标准硫酸钾溶液1.5ml制成的对照液比较,不得更浓(0.03%)。
3.7.5 有关物质
取本品50mg,置10ml量瓶中,加流动相溶解并稀释至刻度,摇匀,作为供试品溶液;精密量取1ml,置100ml量瓶中,用流动相稀释至刻度,摇匀,作为对照溶液。照含量测定项下的色谱条件,取对照溶液10μl注入液相色谱仪,调节检测灵敏度,使主成分色谱峰的峰高约为满量程的10%。再精密量取供试品溶液与对照溶液各10μl,分别注入液相色谱仪,记录色谱图至主峰保留时间的2倍。供试品溶液色谱图中如有杂质峰,各杂质峰面积的和不得大于对照溶液主峰面积的0.5倍(0.5%)。
3.7.6 干燥失重
取本品约0.50g,以五氧化二磷为干燥剂,在60℃减压干燥至恒重,减失重量应为8.0%~9.3%(2010年版药典二部附录Ⅷ L)。
3.7.7 重金属
取本品2.0g,依法检查(2010年版药典二部附录Ⅷ H第二法),含重金属不得过百万分之十。
3.7.8 细菌内毒素
取本品,依法检查(2010年版药典二部附录Ⅺ E),每1mg硫酸普拉睾酮钠中含内毒素的量应小于1.5EU。
3.7.9 无菌
取本品,加0.1%无菌蛋白胨水溶液制成每1ml中含供试品20mg的供试液,经薄膜过滤法处理,用0.1%无菌蛋白胨水溶液分次冲洗(每膜不少于300ml),以金黄色葡萄球菌为阳性对照菌,依法检查(2010年版药典二部附录Ⅺ H),应符合规定(供直接无菌分装用)。
3.8 含量测定
照高效液相色谱法(2010年版药典二部附录Ⅴ D)测定。
3.8.1 色谱条件与系统适用性试验
用十八烷基硅烷键合硅胶为填充剂;以甲醇-水-三乙胺-4mol/L硫酸溶液(650:350:50:40)(用4mol/L硫酸溶液调节pH值至5.3±0.1)为流动相;检测波长为210nm。取硫酸普拉睾酮钠对照品约25mg,加浓过氧化氢溶液(30%)1ml,在25~30℃放置24小时,加流动相50ml,摇匀,作为系统适用性试验溶液,取10μl注入液相色谱仪,记录色谱图,硫酸普拉睾酮钠峰前应检出2个相对保留时间分别为0.4~0.6和0.7~0.9的降解产物峰,降解产物峰与主成分峰的分离度应符合要求。理论板数按硫酸普拉睾酮钠峰计算不低于2000。
3.8.2 测定法
取本品约50mg,精密称定,置100ml量瓶中,加流动相溶解并稀释至刻度,摇匀,精密量取10μl注入液相色谱仪,记录色谱图;另取硫酸普拉睾酮钠对照品,同法测定。按外标法以峰面积计算,即得。
3.9 类别
3.10 贮藏
3.11 制剂
3.12 版本
《中华人民共和国药典》2010年版