2 英文參考
cloxacillin sodium[湘雅醫學專業詞典]
3 氯唑西林鈉藥典標準
3.1 品名
3.1.1 中文名
3.1.2 漢語拼音
Lüzuoxilinna
3.1.3 英文名
Cloxacillin Sodium
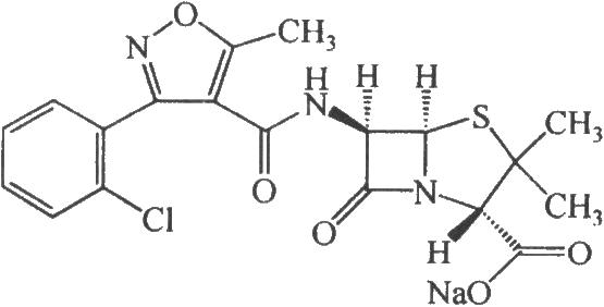
3.2 結構式

3.3 分子式與分子量
C19H17ClN3NaO5S 457.87
3.4 來源(名稱)、含量(效價)
本品爲(2S,5R,6R)-3,3-二甲基-6-[5-甲基-3-(2-氯苯基)-4-異噁唑甲酰氨基]-7-氧代-4-硫雜-1-氮雜雙環[3.2.0]庚烷-2-甲酸鈉鹽。按無水物計算,含氯唑西林(C19H18ClN3O5S)不得少於90.0%。
3.5 性狀
本品爲白色粉末或結晶性粉末;微臭,味苦;有引溼性。
3.5.1 比旋度
取本品,精密稱定,加水溶解並定量稀釋製成每1ml中約含10mg的溶液,依法測定(2010年版藥典二部附錄Ⅵ E),比旋度爲+163°至+172°。
3.6 鑑別
(1)在含量測定項下記錄的色譜圖中,供試品溶液主峯的保留時間應與對照品溶液主峯的保留時間一致。
(2)取本品約30mg,加甲醇0.1ml使溶解,滴入蒸發皿上,待甲醇自然揮發完後,真空乾燥,照紅外分光光度法(2010年版藥典二部附錄Ⅳ C)測定,本品的紅外光吸收圖譜應與同法處理的氯唑西林鈉對照品的圖譜一致。
(3)本品顯鈉鹽鑑別(1)的反應(2010年版藥典二部附錄Ⅲ)。
3.7 檢查
3.7.1 酸度
取本品1.0g,加水10ml溶解後,依法測定(2010年版藥典二部附錄Ⅵ H),pH值應爲5.0~7.0。
3.7.2 溶液的澄清度與顏色
取本品5份,各0.6g,分別加水5ml溶解後,溶液應澄清無色;如顯渾濁,與1號濁度標準液(2010年版藥典二部附錄Ⅸ B)比較,均不得更濃;如顯色,與黃色或黃綠色4號標準比色液(2010年版藥典二部附錄Ⅸ A第一法)比較,均不得更深(供注射用)。
3.7.3 有關物質
取本品適量,精密稱定,加流動相溶解並稀釋製成每1ml中約含1mg的溶液,作爲供試品溶液;精密量取適量,用流動相定量稀釋製成每1ml中約含10μg的溶液,作爲對照溶液。照含量測定項下的色譜條件,取對照溶液20μl注入液相色譜儀,調節檢測靈敏度,使主成分色譜峯的峯高約爲滿量程的20%。精密量取供試品溶液與對照溶液各20μl,分別注入液相色譜儀,記錄色譜圖至主成分峯保留時間的5倍,供試品溶液色譜圖中如有雜質峯,單個雜質峯面積不得大於對照溶液主峯面積(1.0%),各雜質峯面積的和不得大於對照溶液主峯面積的5倍(5.0%)。
3.7.4 氯唑西林聚合物
照分子排阻色譜法(2010年版藥典二部附錄Ⅴ H)測定。
3.7.4.1 色譜條件與系統適用性試驗
用葡聚糖凝膠G-10(40~120μm)爲填充劑,玻璃柱內徑1.0~1.4cm,柱長30~40cm。流動相A爲pH 7.0的0.01mol/L磷酸鹽緩衝液[0.01mol/L磷酸氫二鈉溶液-0.01mol/L磷酸二氫鈉溶液(61:39)],流動相B爲水,檢測波長爲254nm。取0.1mg/ml藍色葡聚糖2000溶液100~200μl,注入液相色譜儀,分別以流動相A、B進行測定,理論板數以藍色葡聚糖2000峯計算,均不低於400,拖尾因子均應小於2.0。在兩種流動相系統中,藍色葡聚糖2000峯保留時間的比值應在0.93~1.07之間,對照溶液主峯和供試品溶液中聚合物峯與相應色譜系統中藍色葡聚糖2000峯的保留時間的比值均應在0.93~1.07之間。取本品約0.2g,置10ml量瓶中,用0.05mg/ml的藍色葡聚糖2000溶液溶解並稀釋至刻度,搖勻。量取100~200μl注入液相色譜儀,用流動相A進行測定,記錄色譜圖,高聚體的峯高與單體與高聚體之間的谷高比應大於2.0。另以流動相B爲流動相,精密量取對照溶液100~200μl,連續進樣5次,峯面積的相對標準偏差應不大於5.0%。
3.7.4.2 對照溶液的製備
取氯唑西林對照品約25mg,精密稱定,加水溶解並定量稀釋製成每1ml中約含50μg的溶液。
3.7.4.3 測定法
取本品約0.2g,精密稱定,置10ml量瓶中,加水溶解並稀釋至刻度,搖勻,立即精密量取100~200μl注入液相色譜儀,以流動相A爲流動相進行測定,記錄色譜圖。另精密量取對照溶液100~200μl,注入液相色譜儀,以流動相B爲流動相,同法測定,按外標法以峯面積計算,含氯唑西林聚合物以氯唑西林計,不得過0.8%。
3.7.5 殘留溶劑
3.7.5.1 丙酮、乙酸乙酯與乙酸丁酯
取本品約1g,精密稱定,置10ml量瓶中,加水溶解並稀釋至刻度,搖勻,作爲供試品貯備液,精密量取1ml置頂空瓶中,再精密加水1ml,搖勻,密封,作爲供試品溶液;另精密稱取丙酮、乙酸乙酯與乙酸丁酯各約0.25g,置50ml量瓶中,加水溶解並稀釋至刻度,搖勻,精密量取10ml,置100ml量瓶中,加水稀釋至刻度,搖勻,作爲對照品貯備液;量取對照品貯備液1ml置頂空瓶中,加水1ml,搖勻,密封,作爲系統適用性試驗溶液;精密量取對照品貯備液1ml置頂空瓶中,再精密加入供試品貯備液1ml,搖勻,密封,作爲對照溶液。照殘留溶劑測定法(2010年版藥典二部附錄Ⅷ P第二法)測定,以100%的二甲基聚硅氧烷(或極性相近)爲固定液的毛細管柱爲色譜柱;柱溫爲40℃,維持8分鐘,再以每分鐘30℃的速率升至100℃,維持5分鐘。進樣口溫度爲200℃;檢測器溫度爲250℃;頂空瓶平衡溫度爲70℃,平衡時間爲30分鐘;取系統適用性試驗溶液頂空進樣,出峯順序依次爲:丙酮、乙酸乙酯與乙酸丁酯,各色譜峯之間的分離度均應符合要求。精密量取對照品溶液頂空進樣,計算數次進樣結果,其相對標準偏差不得過5.0%。取供試品溶液與對照品溶液分別頂空進樣,記錄色譜圖,用標準加入法以峯面積計算,均應符合規定。
3.7.6 2-乙基己酸
取本品,依法測定(2010年版藥典二部附錄Ⅶ L),不得過0.8%。
3.7.7 水分
取本品,照水分測定法(2010年版藥典二部附錄Ⅷ M第一法 A)測定,含水分不得過4.5%。
3.7.8 可見異物
取本品5份,每份各1g,加微粒檢查用水溶解,依法檢查(2010年版藥典二部附錄Ⅸ H),應符合規定(供注射用)。
3.7.9 不溶性微粒
取本品3份,加微粒檢查用水製成每1ml中含50mg的溶液,依法檢查(2010年版藥典二部附錄Ⅸ C),每1g樣品中,含10μm以上的微粒不得過6000粒,含25μm以上的微粒不得過600粒(供注射用)。
3.7.10 細菌內毒素
取本品,依法檢查(2010年版藥典二部附錄Ⅺ E),每1mg氯唑西林中含內毒素的量應小於0.10EU(供注射用)。
3.7.11 無菌
取本品,用適宜溶劑溶解後,轉移至不少於500ml的0.9%無菌氯化鈉溶液中,用薄膜過濾法處理後,依法檢查(2010年版藥典二部附錄Ⅺ H),應符合規定(供注射用)。
3.8 含量測定
照高效液相色譜法(2010年版藥典二部附錄Ⅴ D)測定。
3.8.1 色譜條件與系統適用性試驗
用十八烷基硅烷鍵合硅膠爲填充劑;以0.02mol/L磷酸二氫鉀溶液(用氫氧化鈉試液調節pH值爲5.0)-乙腈(75:25)爲流動相;檢測波長爲225nm。取氯唑西林對照品與氟氯西林對照品適量,加流動相溶解並稀釋製成每1ml中各約含0.1mg的溶液,取20μl注入液相色譜儀,記錄色譜圖,氯唑西林峯與氟氯西林峯之間的分離度應大於2.5,理論板數按氯唑西林峯計算不低於1000,拖尾因子不得過1.5。
3.8.2 測定法
取本品適量,精密稱定,加流動相溶解並定量稀釋製成每1ml中約含0.1mg的溶液,精密量取20μl注入液相色譜儀,記錄色譜圖;另取氯唑西林對照品適量,同法測定。按外標法以峯面積計算供試品中C19H18ClN3O5S含量。
3.9 類別
3.10 貯藏
3.11 製劑
(1)氯唑西林鈉膠囊 (2)氯唑西林鈉顆粒 (3)注射用氯唑西林鈉
3.12 版本
《中華人民共和國藥典》2010年版