2 英文参考
clomiphene citrate[湘雅医学专业词典]
3 枸橼酸氯米芬药典标准
3.1 品名
3.1.1 中文名
3.1.2 汉语拼音
Juyuansuan Lümifen
3.1.3 英文名
Clomifene Citrate
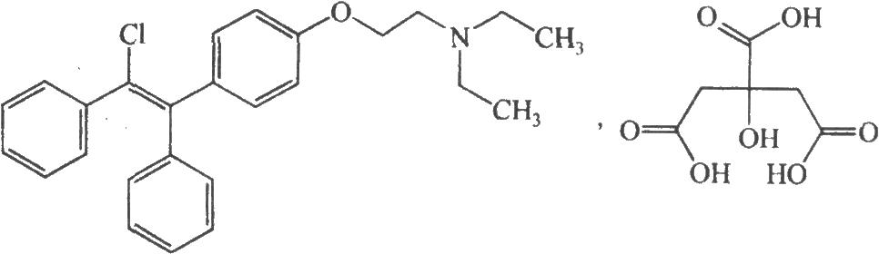
3.2 结构式

3.3 分子式与分子量
C26H28ClNO·C6H8O7 598.09
3.4 来源(名称)、含量(效价)
本品为N,N-二乙基-2-[4-(1,2-二苯基-2-氯乙烯基)苯氧基]乙胺顺反异构体混合物的枸橼酸盐。按无水物计算,含C26H28ClNO·C6H8O7不得少于98.0%。
3.5 性状
本品为白色或类白色粉末;无臭。
3.6 鉴别
(1)取本品适量,精密称定,加0.1mol/L盐酸溶液溶解并定量稀释制成每1ml中约含25μg的溶液,照紫外-可见分光光度法(2010年版药典二部附录Ⅳ A)测定,在233nm与290nm的波长处有最大吸收,吸光度分别为0.76~0.82与0.42~0.46。
(2)本品的红外光吸收图谱应与对照的图谱(《药品红外光谱集》268图)一致。
(3)本品显枸橼酸盐的鉴别反应(2010年版药典二部附录Ⅲ)。
3.7 检查
3.7.1 甲醇溶液的澄清度与颜色
取本品1.0g,加甲醇30ml溶解后,溶液应澄清无色;如显色,与黄色1号标准比色液比较(2010年版药典二部附录Ⅸ A第一法),不得更深。
3.7.2 有关物质
取本品,加流动相溶解并稀释制成每1ml中约含0.1mg的溶液,作为供试品溶液。照高效液相色谱法(2010年版药典二部附录Ⅴ D)测定,用硅胶为填充剂,以正己烷-三氯甲烷-三乙胺(80:20:1)为流动相(三乙胺用量可适当改变;必要时,三氯甲烷可用水分次洗涤,经无水硫酸钠干燥,临用新鲜蒸馏),检测波长为302nm,理论板数按顺式异构体峰计算不低于3000,顺、反式异构体峰的分离度应大于1.3。取供试品溶液20μl注入液相色谱仪,记录色谱图,出峰顺序依次为顺式异构体(E)与反式异构体(Z)。按峰面积归一化法计算,供试品含反式异构体应为30%~50%。
3.7.3 水分
取本品,照水分测定法(2010年版药典二部附录Ⅷ M第一法 A)测定,含水分不得过1.0%。
3.7.4 重金属
取本品1.0g,依法检查(2010年版药典二部附录Ⅷ H第二法),含重金属不得过百万分之十。
3.8 含量测定
取本品约0.5g,精密称定,加冰醋酸20ml使溶解,加结晶紫指示液1滴,用高氯酸滴定液(0.1mol/L)滴定,并将滴定的结果用空白试验校正。每1ml高氯酸滴定液(0.1mol/L)相当于59.81mg的C26H28ClNO·C6H8O7。
3.9 类别
促排卵药。
3.10 贮藏
3.11 制剂
3.12 版本
《中华人民共和国药典》2010年版
4 枸橼酸氯米芬介绍
4.1 别名
4.2 外文名
Clomiphene
4.3 枸橼酸氯米芬的适应症
主要用于治疗避孕药引起的闭经;对黄体功能不全、多囊卵巢、无排卵型出血、功能性闭经、月经紊乱、不孕症、乳腺囊性增大、泌乳综合症等也有一定的疗效。由于少精症或因精索静脉曲张引起的精液质量改变而发生的男性不育症也有效,在精索静脉手术1年后仍不生育者,则可用本品。服用后能增加血清卵泡刺激素、黄体生成素和睾丸酮的水平,增加精子数和增强精子活力。可用于治疗乳腺癌,利用其较强的抗雌激素作用,抑制乳癌的发展。
4.4 枸橼酸氯米芬的用量用法
口服:自月经周期第5日开始(无月经者任何一日开始),0.05g/(次·日),连服5日,3个月为1疗程,每日剂量不宜超过0.1g。治疗中有宫颈粘液不正常者,于排卵前补充小剂量雌激素,闭经者可在撤退性出血之第4、5日加用黄体酮。治疗男性不育症:每日25mg,连服25日,停5日为1疗程,连用数疗程直至精子数正常为止(注意:大剂量抑制精子生成)。
4.5 注意事项
可有面部潮红、恶心、头晕、失眠、乏力、乳房胀痛、腹胀、皮疹、肝功能障碍、神经过敏、脱发、卵巢肿大等。肝病、肾病、卵巢囊肿及其它妇科肿瘤患者忌用;子宫不正常者慎用。
4.6 规格
片剂:0.05g;
胶囊剂:0.05g。