1 拼音
tǐ wài zhěn duàn shì jì fēn xī xìng néng píng gū (zhǔn què dù -fāng fǎ xué bǐ duì )jì shù shěn chá zhǐ dǎo yuán zé
《体外诊断试剂分析性能评估(准确度-方法学比对)技术审查指导原则》由国家食品药品监督管理局于2011年3月24日食药监办械函[2011]116号印发。
2 一、前言
准确度评估资料是评价拟上市产品有效性的重要依据,也是产品注册所需的重要申报资料之一。定量检测方法的方法学比对试验是评估准确度的方法之一,可以与参考方法或临床公认质量较好的已上市产品进行比对。
本指导原则基于国家食品药品监督管理局《体外诊断试剂注册管理办法(试行)》的有关要求,参考CLSI有关标准,对采用方法学比对进行准确度评估的实验方法和数据处理方法进行了原则性要求。其目的是为生产企业采用方法学比对进行准确度评估并准备准确度评估资料提供原则性指导,也为注册管理部门审核该部分分析性能评估资料提供技术参考。
由于体外诊断试剂产品发展速度快、专业跨度大,国家食品药品监督管理局将根据体外诊断试剂发展的需要,适时对本指导原则进行修订。
3 二、适用范围
本指导原则适用于首次申请注册、申请许可事项变更的用于定量检测的体外诊断产品。因体外诊断产品评价是将仪器、试剂、质控品、校准品等作为一个系统进行评价,因此方法学比对的评价采用系统的概念进行描述。如特殊产品不适用于本指导原则,可进行详细说明并采用适当的方法进行准确度评价。
4 三、基本要求
4.1 (一)方法学比对实验的基本要求
2.编写系统标准操作规程,其中包括校准程序和室内质控程序,采用合适的校准品、质控品并保持仪器处于正常状态。
比对系统应该选择正确性经过验证的系统,根据实际条件,选择的顺序如下:参考方法、原装系统、配套系统、经过验证的非配套系统。
4.待评价系统的处理
进行方法学对比实验前,应该对待评价系统进行初步评价,并且对待评价系统进行精密度及线性的评价(参考相关标准),只有在以上评价完成并且符合相关标准要求后,才可进行方法学对比实验。
4.2 (二)方法学比对实验的评估及数据处理方法
1.实验样本的基本要求
(1)按照实验对样本的要求收集处理病人样本,样本贮存时间及条件由被测组分的稳定性而定,尽可能避免使用贮存的样本。
(2)样本应来自于不同患者,并且此患者所患疾病对于被测组分的影响应该是已知的,样本不应含有干扰此方法的组分。
(3)样本浓度应在方法的线性范围内,并覆盖医学决定水平。通常基本从线性范围的低限到线性范围的高限(应至少有50%的样本在参考范围以外,但在线性范围内)。分析样本的浓度应尽可能在线性范围内均匀分布。商品质控物或者校准物可能存在基质效应,应避免使用。
2.实验过程
(1)每天选择8个临床患者样本,按1到8的顺序编号。用两种方法同时进行实验,按照1,2,3,4,5,6,7,8,8,7,6,5,4,3,2,1的样本顺序进行测定。
(2)以上实验至少重复5天,即至少分析40个不同的临床患者样本。每天实验必须进行校准和室内质控,只有在室内质控合格的情况下,当天的实验室数据才有效。
3.数据处理及结果报告
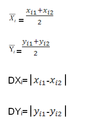
(1)记录测定结果(Xij和Yij),
i为测定样本的序号(1、2、3…40)
j为同一样本同一天测定的次序(1、2)
(2)计算每个样本测定的均值(),样本重复测定间差值的绝对值(DXi和DYi)及两种方法测定结果间的均值差值(
)。相关实验记录见表1。
表1
注:i=1、2┄40。
(3)以作散点图。
(4)以做偏倚图。
(5)以做偏倚图。
(6)检查批内离群点:计算样本重复测定间差值(DXi 和DYi)的平均数,


样本重复测定间差值超出该平均数4倍时,则判断为离群点,如离群点超过1个时,整组数据应舍弃,寻找原因后重新进行评价。如离群点为1个,可以补充数据后重新进行统计。
(7)检查批间离群点:计算两种方法测定结果间均值差值(│ - │)的平均数,如两种方法测定结果间均值差值超出该平均数4倍时,则判断该样本为离群点,如离群点超过1个时,整组数据应舍弃,寻找原因后重新进行评价。如离群点为1个,可以补充数据后重新进行统计。
(8)相关系数计算:利用所有样本双份测定值进行相关系数计算,如果 ≥0.975(或2≥0.95),则认为选择的数据范围适合,数据满足要求。该分析的误差可以由数据范围给以适当补偿,并且可以采用简单的线性回归来评价斜率和截距。
如果r2<0.95,那么必须通过分析另外一些样品以扩大数据范围,然后再检查全部数据系列,如仍然r2<0.95,则应寻找待评价方法存在的缺陷,纠正后重新进行试验。
对于某些免疫项目,可适当放宽标准,原则上r2≥0.90,则认为数据范围适合,数据满足要求。
(9)回归计算:利用所有样本双份测定的有效数据,计算两个方法间的线性回归方程:Y= bX+a。