2 英文参考
timolol maleate[湘雅医学专业词典]
3 马来酸噻吗洛尔药典标准
3.1 品名
3.1.1 中文名
3.1.2 汉语拼音
Malaisuan Saimaluo'er
3.1.3 英文名
T1molol Maleate
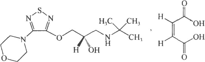
3.2 结构式

3.3 分子式与分子量
C13H24N4O3S·C4H4O4 432.49
3.4 来源(名称)、含量(效价)
本品为(一)-1-(叔丁氨基)-3-[(4-吗啉基-1,2,5-噻二唑-3-基)氧]-2-丙醇马来酸盐。按干燥品计算,含C13H24N4O3S·C4H4O4不得少于99.0%。
3.5 性状
本品为白色结晶性粉末;无臭,味苦。
本品在水或甲醇中溶解,在乙醇中略溶,在三氯甲烷中微溶,在环己烷或乙醚中几乎不溶。
3.5.1 熔点
本品的熔点(2010年版药典二部附录Ⅵ C)为199~203℃,熔融时同时分解。
3.5.2 比旋度
取本品,精密称定,加1mol/L盐酸溶液溶解并定量稀释制成每1ml中约含0.1g的溶液,依法测定(2010年版药典二部附录Ⅵ E),比旋度为-5.7°至-6.2°。
3.5.3 吸收系数
取本品,精密称定,加盐酸溶液(9→1000)溶解并定量稀释制成每1ml中约含20μg的溶液,照紫外-可见分光光度法(2010年版药典二部附录Ⅳ A),在295nm的波长处测定吸光度,吸收系数( )为199~211。
)为199~211。
3.6 鉴别
(1)取本品约5mg,加水1ml使溶解,加高锰酸钾试液3滴,紫色立即消失,加热,即生成红棕色沉淀。
(2)取本品约10mg,加水1ml溶解,加硫酸铜试液1滴、氨试液1ml与二硫化碳-苯(1:3)2滴,振摇,苯层显棕黄色至棕色。
(3)本品的红外光吸收图谱应与对照的图谱(《药品红外光谱集》33图)一致。
3.7 检查
3.7.1 酸度
取本品0.50g,加水25ml使溶解后,依法测定(2010年版药典二部附录Ⅵ H),pH值应为3.8~4.3。
3.7.2 有关物质
取本品,加甲醇制成每1ml中含25mg的溶液,照薄层色谱法(2010年版药典二部附录Ⅴ B)试验,吸取上述溶液5μl,点于硅胶G薄层板上,以二氯甲烷-甲醇-浓氨溶液(80:14:1)为展开剂,展开,晾干,置饱和的碘蒸气中显色,除主斑点外,不得显其他斑点。
3.7.3 干燥失重
取本品,在105℃干燥至恒重,减失重量不得过0.5%(2010年版药典二部附录Ⅷ L)。
3.7.4 炽灼残渣
取本品1.0g,依法检查(2010年版药典二部附录Ⅷ N),遗留残渣不得过0.1%。
3.7.5 重金属
取炽灼残渣项下遗留的残渣,依法检查(2010年版药典二部附录Ⅷ H第二法),含重金属不得过百万分之二十。
3.8 含量测定
取本品0.3g,精密称定,加冰醋酸10ml溶解后,加醋酐10ml与结晶紫指示液1滴,用高氯酸滴定液(0.1mol/L)滴定至溶液显蓝色,并将滴定的结果用空白试验校正。每1ml高氯酸滴定液(0.1mol/L)相当于43.25mg的C13H24N4O3S·C4H4O4。
3.9 类别
3.10 贮藏
3.11 制剂
(1)马来酸噻吗洛尔片 (2)马来酸噻吗洛尔滴眼液
3.12 版本
《中华人民共和国药典》2010年版