2 英文参考
bricalin[湘雅医学专业词典]
3 硫酸特布他林药典标准
3.1 品名
3.1.1 中文名
3.1.2 汉语拼音
Liusuan Tebutalin
3.1.3 英文名
Terbutaline Sulfate
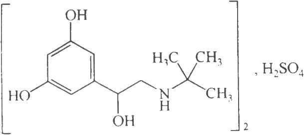
3.2 结构式

3.3 分子式与分子量
(C12H19NO3)2·H2SO4 548.66
3.4 来源(名称)、含量(效价)
本品为(±)-α-[(叔丁氨基)甲基]-3,5-二羟基苯甲醇硫酸盐(2;1)。按干燥品计算,含(C12H19NO3)2·H2SO4不得少于98.0%。
3.5 性状
本品为白色或类白色的结晶性粉末;无臭,或微有醋酸味;遇光后渐变色。
3.6 鉴别
(1)取本品约1mg,置试管中,加水1ml溶解,加缓冲液(pH 9.5)(取三羟甲基氨基甲烷36.3g,加水溶解并稀释至1000ml,用1mol/L盐酸溶液调节pH值至9.5)5ml,加新鲜制备的2% 4-氨基安替比林溶液0.5ml及新鲜制备的铁氰化钾溶液(2→25)2滴,混合,置水浴中加热,溶液显紫红色。
(2)取本品,用0.1mol/L盐酸溶液制成每1ml中含0.1mg的溶液,照紫外-可见分光光度法(2010年版药典二部附录Ⅳ A)测定,在276nm的波长处有最大吸收。
(3)本品的红外光吸收图谱应与对照的图谱(《药品红外光谱集》668图)一致,如不一致时,再取本品适量,加无醛甲醇使溶解,置水浴蒸干后测定。
(4)本品的水溶液显硫酸盐的鉴别反应(2010年版药典二部附录Ⅲ)。
3.7 检查
3.7.1 酸度
取本品0.20g,加水10ml溶解后,照电位滴定法(2010年版药典二部附录Ⅶ A)测定,用氢氧化钠滴定液(0.02mol/L)滴定至pH 6,消耗氢氧化钠滴定液(0.02mol/L)不得过0.50ml。
3.7.2 溶液的澄清度与颜色
取本品0.20g,加水10ml溶解后,溶液应澄清无色;如显色,依法检查(2010年版药典二部附录Ⅸ A第二法),在400nm的波长处测定吸光度,不得大于0.055。
3.7.3 3,5-二羟基-ω-叔丁氨基苯乙酮硫酸盐
取本品,加0.01mol/L盐酸溶液制成每1ml中约含20mg的溶液,照紫外-可见分光光度法(2010年版药典二部附录Ⅳ A),在330nm的波长处测定吸光度,不得大于0.47。
3.7.4 有关物质
取本品,加流动相溶解并稀释制成每1ml中约含1mg的溶液,作为供试品溶液;精密量取1ml,置100ml量瓶中,用流动相稀释至刻度,摇匀,作为对照溶液;取硫酸沙丁胺醇对照品和硫酸特布他林对照品适量,加流动相溶解并稀释制成每1ml中各含10μg的溶液,作为系统适用性试验溶液。照高效液相色谱法(2010年版药典二部附录Ⅴ D)试验,用十八烷基硅烷键合硅胶为填充剂,以缓冲液(取己烷磺酸钠4.23g与甲酸铵3.15g,加水溶解并稀释至900ml,用10%磷酸溶液调节pH值至3.0,加水稀释至1000ml)-甲醇(77:23)为流动相,检测波长为276nm。取系统适用性试验溶液20μl,注入液相色谱仪,记录色谱图,特布他林峰与沙丁胺醇峰的分离度应大于2.0;理论板数按特布他林峰计算不低于3500。取对照溶液20μl,注入液相色谱仪,调节检测灵敏度,使主成分色谱峰的峰高为满量程的25%;再精密量取供试品溶液与对照溶液各20μl,分别注入液相色谱仪,记录色谱图至主成分峰保留时间的4倍。供试品溶液的色谱图中如有杂质峰,各杂质峰面积的和不得大于对照溶液主峰面积的0.5倍(0.5%)。
3.7.5 干燥失重
取本品,在105℃干燥至恒重,减失重量不得过0.5%(2010年版药典二部附录Ⅷ L)。
3.7.6 炽灼残渣
取本品1.0g,依法检查(2010年版药典二部附录Ⅷ N),遗留残渣不得过0.2%。
3.7.7 重金属
取炽灼残渣项下遗留的残渣,依法检查(2010年版药典二部附录Ⅷ H),含重金属不得过百万分之二十。
3.8 含量测定
取本品约0.3g,精密称定,加冰醋酸30ml,加热使溶解,放冷,加乙腈30ml,照电位滴定法(2010年版药典二部附录Ⅶ A),用高氯酸滴定液(0.1mol/L)滴定,并将滴定的结果用空白试验校正。每1ml高氯酸滴定液(0.1mol/L)相当于54.87mg的(C12H19NO3)2·H2SO4。
3.9 类别
3.10 贮藏
3.11 制剂
3.12 版本
《中华人民共和国药典》2010年版