酯化反應

目錄

心氣虛,則脈細;肺氣虛,則皮寒;肝氣虛,則氣少;腎氣虛,則泄利前後;脾氣虛,則飲食不入。

1 拼音

zhǐ huà fǎn yìng

2 註解

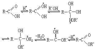
醇跟羧酸或含氧無機酸生成酯和水,這種反應酯化反應酯化反應是可逆的,它的逆反應是水解反應。在通常狀況下,該可逆反應需要很長時間才能達到平衡。爲了縮短達到平衡的時間,常用濃硫酸等作催化劑,工業上用陽離子交換樹脂作酯化的催化劑。在酯化反應中,通常由羧酸提供羥基羧酸跟有些叔醇酯化時,羥基由叔醇提供)。首先是羧酸羰基質子化,使羰基原子帶有更多的正電荷,醇就容易發生親核加成,然後質子轉移,消除水,再消除質子,就形成酯。廣義的酯化反應還包括醇跟酰氯或酸酐、滷代物跟羧酸鈉鹽以及酯交換反應等。

?xml:namespace prefix = o ns = "urn:schemas-microsoft-com:office:office" /

特別提示:本站內容僅供初步參考,難免存在疏漏、錯誤等情況,請您核實後再引用。對於用藥、診療等醫學專業內容,建議您直接咨詢醫生,以免錯誤用藥或延誤病情,本站內容不構成對您的任何建議、指導。