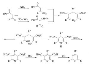
2 反應機理
反應過程可能是一分子b-羰基酸酯和醛反應,另一分子b-羰基酸酯和氨反應生成b-氨基烯酸酯,所生成的這兩個化合物再發生Micheal加成反應,然後失水關環生成二氫吡啶衍生物,它很溶液脫氫而芳構化,例如用亞硝酸或鐵氰化鉀氧化得到吡啶衍生物:

3 反應實例

4 參考文獻
[1] A. Hantzsch, Ann., 1882, 215, 1, 72; Ber., 1885, 14, 1744; Ber., 1886, 19, 289.
[2] F. W. Bergstrom, Chem. Rev., 1944, 35, 94.
[3] J. A. Berson E. Brown, J. Amer. Chem. Soc., 1955, 77, 444.
[4] L. E. Hinkel, et al., J. Chem. Soc., 1935, 816.
[5] L. Kuss, P. Karrer, Helv. Chim. Acta., 1957, 40, 740.
[6] A. P. Phillips, J. Amer. Chem. Soc., 1949, 71, 4003.
[7] R. C. Elderfield, Heterocyclic Compounds, 1950, 1, 462.
