1 拼音
jí xìng yà xiāo suān yán zhòng dú shì jiàn wèi shēng yìng jí chù zhì jì shù fāng àn
《急性亚硝酸盐中毒事件卫生应急处置技术方案》由卫生部于2011年7月6日卫办应急发〔2011〕94号印发。
2 1 概述
亚硝酸盐(常见有亚硝酸钠和亚硝酸钾)为白色或微黄色结晶或颗粒状粉末,无臭味,易溶于水。亚硝酸盐成人口服的最低中毒剂量约为 0.1g,口服最低致死剂量约为 1.0g~5.0g。急性亚硝酸盐中毒途径为经口摄入,主要接触机会有:食堂或餐饮业误将其作为食盐使用;进食苦井水、放置过久的腌制食品或添加剂超标的熟食肉类;大量食用富含硝酸盐和亚硝酸盐的蔬菜等。
3 2 中毒事件的调查和现场处理
2.1 现场处置人员的个体防护
现场处置人员调查和处理亚硝酸盐中毒事件时,一般不必穿戴个体防护装备;现场采样人员采集食品样品时,需要戴一次性乳胶手套;现场救护人员在现场救治点救治中毒病人时,一般不必穿戴个体防护装备。
调查人员到达中毒现场后,应先了解中毒事件的概况,然后进行中毒事件相关场所、人员等调查工作,并及时向中毒事件指挥部提出收集并封存所有可疑中毒食品、其他可能导致本次中毒事件物品以及中毒病人呕吐物的建议。2.2.1 中毒事件相关场所的调查调查对象包括中毒事件涉及的食品生产、储存、加工至食用整个过程的各个场所,调查内容包括食品加工过程(包括使用的原料和配料、调料、食品容器、使用的工具)、环境状况,食品的分装、储存的条件,人员接触情况等。
调查对象包括中毒病人、目击证人以及其他相关人员(如饭店负责人、厨师、服务员、食品采购员、同工作场所工人等)。调查内容包括接触时间、接触物质、接触人数、中毒人数、中毒的主要症状、中毒事故的进展情况、已经采取的紧急措施、饮食的加工方法、食品的来源等。同时,还应向临床救治单位进一步了解相关资料(如抢救过程、临床治疗资料、实验室检查结果等)。对现场调查的资料作好记录,进行现场拍照、录音等。取证材料要有被调查人的签字。
中毒事件现场采集的可疑中毒食物及中毒病人的呕吐物、胃内容物、以及血液等样品可在现场进行快速定性检测。可使用固体格氏试剂法定性测定食品的亚硝酸盐(附件 1)或盐酸萘乙二胺法半定量、定量测定食品中亚硝酸盐(附件 2)。可使用氰化高铁血红蛋白测定法现场定量测定中毒病人血中高铁血红蛋白(附件3)。有条件可选用便携式血氧分析仪测定高铁血红蛋白。
与其他原因引起的高铁血红蛋白血症的群体事件鉴别(如急性苯的氨基和硝基化合物、杀虫脒等中毒事件)。
2.5 现场医疗救援
对于所有意识清晰的中毒病人立即予以催吐。当出现大批中毒病人,应首先进行现场检伤分类,优先处理红标病人。
2.5.1 现场检伤分类
b) 绿标,具有下列指标者:出现胸闷、心悸、乏力、口唇、指端发绀、恶心、呕吐等症状。
c) 黑标,同时具备下列指标者:意识丧失,瞳孔散大、无自主呼吸、大动脉搏动消失。
2.5.2 现场医疗救援
红标病人要建立静脉通道,吸氧,并立即以 1%亚甲蓝溶液按1mg/kg~2mg/kg 剂量稀释后缓慢静脉注射,20min~30min 后可根据病情重复给药 1 次。心跳呼吸骤停者,立即予以心肺复苏等对症支持治疗。绿标病人暂不予特殊处理,及时采取对症治疗措施。
2.5.3 病人转送
4 3 中毒样品的采集与检测
3.1 采集样品的选择
可能导致中毒的食物、中毒病人的呕吐物、胃内容物是首选样品。血中高铁血红蛋白浓度可供急性亚硝酸盐中毒病人的诊治参考。另外,可根据中毒事件的现场调查结果,确定应采集的其它样品种类。
呕吐物、胃内容物、固体食品和半流质食品使用具塞玻璃瓶或聚乙烯瓶密闭盛放,采样量 50g~100g;液体样品(血液除外) 使用具塞玻璃瓶或聚乙烯瓶盛放,采样量 300ml~500ml;血液样品必须立即采样,若现场不能分析,可带回实验室测定,采样量约10ml,抗凝剂以肝素为佳,禁用草酸盐。
所有样品(血样除外)采集后最好在 4℃条件下冷藏保存和运输,如无条件冷藏保存运输,样品应在采集后 24h 内进行实验室检测。所有实验室检测完毕的样品,应在冷冻条件下保存一周,以备实验室复核。
5 4 医院内救治
4.1 病人交接
中毒病人送到医院后,由接诊医护人员与转送人员对中毒病人的相关信息进行交接,并签字确认。
4.2 诊断和诊断分级
救治医生对中毒病人或陪护人员进行病史询问,对中毒病人进行体格检查和实验室检查,确认中毒病人的诊断,并进行诊断分级。
诊断分级
a)轻度中毒:口唇、耳廓、舌及指(趾)甲等发绀,可伴有头晕、头痛、乏力、恶心、呕吐,血液高铁血红蛋白含量在 10%~30%。
b)中度中毒:皮肤、黏膜明显发绀,可出现心悸、胸闷、呼吸困难、视物模糊等症状,血液高铁血红蛋白含量在 30%~50%。
c)重度中毒:皮肤、黏膜重度发绀,并可出现嗜睡、血压下降、心律失常,甚至休克、昏迷、抽搐、呼吸衰竭,血液高铁血红蛋白含量高于 50%。
4.3 治疗
接收医院对所接收的中毒病人确认诊断和进行诊断分级后,根据病情的严重程度将病人送往不同科室进行进一步救治。轻度中毒病人留观,中、重度中毒病人可住院治疗,必要时送至危重症监护病房抢救。
4.3.1 清除毒物 中、重度中毒病人入院后进行洗胃,必要时给予导泻。
4.3.2 解毒药物
a)亚甲蓝(美蓝):为高铁血红蛋白血症的特效解毒剂。根据病情给予 1%亚甲蓝溶液 1mg/kg~2mg/kg 稀释后缓慢静脉注射,注射 0.5h~1h 后血液中高铁血红蛋白含量无明显下降或发绀不见缓解,可重复用药一次全量或半量,直至高铁血红蛋白血症消失。
b)维生素 C:可给予维生素 C 5.0g 加入葡萄糖溶液中静脉滴注。
4.3.3 氧疗
可采用鼻导管或面罩给氧。
4.3.4 对症支持治疗
7 附件1.固体格氏试剂快速测定食品的亚硝酸盐
1 适用范围
适用于食品中亚硝酸盐的定性测定。测定结果可作为初步判断事件性质的重要参考,不能作为确定事件性质的依据。重大突发事件性质的判定,建议采用分光光度法加以确认。
2 原理
亚硝酸盐在酸性介质中与对氨基苯磺酸起重氮化反应,所生成的重氮化合物再与α-萘胺耦合,生成红色偶氮染料,颜色深浅与亚硝酸盐氮含量成正比。
3 方法重要参数
4 仪器
10ml 具塞比色管;小试管;滤纸;50μl 微量注射器。
5 试剂
5.1 固体格氏试剂:称取0.1gα-萘胺,1.0g对氨基苯磺酸及8.9g酒石酸于乳钵中研成细末,贮于棕色瓶中备用。
5.2 亚硝酸钠标准溶液(制备纸片用):每毫升含600μg亚硝酸钠。
5.3 亚硝酸钠标准溶液(测试纸片用):每毫升含10μg亚硝酸钠
5.3 亚硝酸钠纸片制备:取滤纸剪成1cm的小片,用50μl微量注射器于每张滤纸上滴加5μl的亚硝酸钠标准溶液。使每张纸片上含有3μg亚硝酸钠。自然晾干后,置棕色试剂瓶中保存备用。保存期为一个月。
5.4 纸片含量试验:取制备好的纸片10张,置于10支10ml的比色管中,分别取每毫升含10μg亚硝酸钠的标准溶液0.0ml、0.1ml、0.3ml、0.5ml分别置于10ml比色管中,以上各管均加水至5ml,各加格氏试剂0.2g,混匀,放置5min后,目视比色。若纸片有半数未达到2.5μg~3.0μg,该批纸片则需重做。
6 操作
取均匀切碎的试样1g左右(水样取1ml左右)于烧杯中,加水100ml,浸泡5min过滤。取三支小试管,一管加样品滤液2.5ml,一管加亚硝酸钠标准纸片一张,另一管则为空白。三管分别加水至5ml,各加格氏试剂0.2g左右,混匀,放置5min左右。目视比色,若样品管颜色与标准管颜色相近(桃红色)或深于标准管,则有亚硝酸盐中毒的可能性。若浅于标准管,则亚硝酸盐引起中毒的可能性不大。
7 说明和注意事项
7.1 纸片亚硝酸钠剂量设计:设定成人摄入1kg含亚硝酸盐的白菜发生中毒,按亚硝酸盐中毒0.1g计算,取样品1g,加水至100ml,则每2.5ml样液中含相当于2.5μg亚硝酸盐。
7.2 显色后颜色很深且有沉淀产生,或者很快退色变成浅黄色,说明样品中亚硝酸盐含量很高,需稀释后重新测试,否则会得出错误结论。
8 附件2.盐酸萘乙二胺半定量、定量测定食品中亚硝酸盐
1 适用范围
2 原理
样品由沉淀剂沉淀蛋白,在酸性条件下(pH 2.5~3.5),亚硝酸盐与氨基苯磺酰胺重氮化后,再与盐酸萘乙二胺偶合,呈现偶氮色素的红紫色, 与标准色阶进行目视半定量或使用分光光度计比色定量。
3 主要参数
3.1 测定范围:(0.0~100.0)mg/kg。
3.2 检出限:1.0mg/kg(目视法)和 0.2mg/kg(分光光度法)。
3.3 回收率:75%~105%。
3.4 相对标准偏差:≤10%。
3.5 全程测定时间:30min。
3.6 干扰:5mg/L亚硝酸钠的溶液中,0.5g/L的Na+、Ca2+、Mg2+、Zn2+、Cr3+、Cl-、SO42-、F-等共存离子对测定无明显干扰。
4 试剂
4.1 亚硝酸钠(优级纯)、氢氧化钠、硫酸锌、活性碳、酒石酸、对氨基苯磺酸、N-1-萘乙二胺
4.2 亚硝酸钠标准贮备液:准确称取 0.1g 干燥恒重的亚硝酸钠,加水溶解,移入 1000ml 容量瓶中,并稀释至刻度。此溶液浓度为100mg/L。
4.3 亚硝酸钠标准使用液:准确吸取 5.0ml 亚硝酸钠标准贮备液,于 100ml 容量瓶中,加水稀释至刻度。此溶液浓度为 5mg/L。
4.4 格氏试剂:取 80℃~100℃干燥后的酒石酸 60g,研细,与 N-1-萘乙二胺 1g、对氨基苯磺酸 10g 混合,混匀后密封保存。
5 器材:
100ml 锥形瓶、100ml 量筒、5ml 比色管、小漏斗、滤纸、分光光度计。
6 操作步骤
6.1 样品前处理
a) 肉类、粮食(米、面)、奶粉:称取 5.0g 捣碎、研细的样品于 100ml 锥形瓶中,加水 50ml,摇匀,加约 0.05g 氢氧化钠摇匀,调节 pH 为 8.0,然后再加 1.2g 硫酸锌,混匀,置 60℃水浴 10min,取出后用滤纸过滤,弃去初滤液 20ml,收集滤液备用。
b) 果、菜类样品:称取 5.0g 剪碎、研细的样品于 100ml 锥形瓶中,加水 50ml,振摇 20min,加少量活性炭,摇匀后,过滤,滤液备用。
6.2 测定
6.2.1 标准工作曲线配制
吸取亚硝酸钠标准使用液 0.00ml、0.50ml、1.00ml、1.50ml、
2.00ml、2.50ml 分别加水至 5ml 刻度,加格氏试剂 60mg,混匀,加热促溶,静置 2min 后,取出冷至室温。 6.2.2 样品测定取样品前处理液 2.5ml, 加格氏试剂 60mg,混匀,加热促溶,静置 2min 后,取出冷至室温。
6.2.3 目视比色法
将样品管与标准系列进行目视比色。
6.2.4 分光光度法
用零管调零,于分光光度计(550nm)处测定吸光度值同时制作标准系列,并计算其亚硝酸盐的含量。
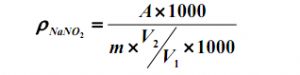
6.3 计算

ρNaNO─亚硝酸盐含量,mg/kg
A─测定用样液中亚硝酸盐的质量,μg
m─取样质量,g
V2─测定用样液体积,ml
9 附件3.高铁血红蛋白定量测定——氰化高铁血红蛋白测定法
1 适用范围
2 原理
高铁血红蛋白在波长 630nm 处有一特有的吸收光带,当加入氰化物后,高铁血红蛋白即转化为氰化血红蛋白,此吸收光带亦随即消失。因此加入氰化物前后用分光光度计(或光电比色计)测定其吸光度之差,按标准计算高铁血红蛋白的含量。
3 试剂
3.1 磷酸氢二钠溶液:准确称取Na2HPO4·12H2O 23.87g,用蒸馏水溶解稀释至 1L。
3.2 磷酸二氢钾溶液:准确称取KH2PO4 9.07g,用蒸馏水溶解稀释至 1L。
3.3 磷酸盐缓冲液:量取磷酸氢二钠溶液 3.75ml,磷酸二氢钾溶液 6.25ml,蒸馏水 30ml,混合后即可使用(此液临用现配)。
3.6 1% Triton X-100(辛烷基酚聚氧乙烯醚)溶液。
4 操作步骤
4.1 取 2 支小试管,以“A”、“B”编号,各加磷酸盐缓冲液 4.5ml,末梢血 40μl,0.5ml 1%Triton X-100。“A”管于 630nm波长,
以磷酸盐缓冲液或蒸馏水调零测得吸光度为D1后,加入 5%氰化钾(钠)溶液 50μl,混匀,放置 2min,以同样波长测得吸光度为D2。
4.2 “B”管加入 5%高铁氰化钾溶液 50μl,在 2min~5min后,在 630nm波长处测得吸光度为D3,然后加入 5%氰化钾(钠)液 50μl,混匀,放置 2min,以同样波长测得吸光度为D4。
5 计算方法

6 方法说明
6.1 高铁血红蛋白形成后,由于红细胞中还原酶的存在,可使高铁血红蛋白逐渐还原消退,因此必须立即采样测定。
6.2 本法必须使用分辨能力强的分光光度计,而且在使用前必须校验分光器的波长是否准确。
6.3 全血在加入试剂后,血细胞破坏。由于少量碎片的存在,使溶液发生混浊,影响吸光度(尤其是正常人会出现负值),使用非离子表面活性剂 Triton X-100 稀释液,或经过离心步骤可克服血红蛋白的混浊。