1 拼音
huà zhuāng pǐn zhōng 8zhǒng lín běn èr jiǎ suān zhǐ de jiǎn cè fāng fǎ
《化妆品中8种邻苯二甲酸酯的检测方法》由国家食品药品监督管理局于2012年1月18日国食药监保化[2012]13号发布。
2 1 范围
本方法规定了使用气相色谱–质谱法测定化妆品中邻苯二甲酸二正戊酯(DnPP)、邻苯二甲酸二异戊酯(DIPP)、邻苯二甲酸戊基异戊酯(DnIPP)、邻苯二甲酸二(2-甲氧乙基)酯(DMEP)、邻苯二甲酸丁苄酯(BBP)、邻苯二甲酸二丁酯(DBP)、邻苯二甲酸二(2-乙基己基)酯(DEHP)以及1,2-苯基二羧酸支链和直链二戊基酯的含量。其中,1,2-苯基二羧酸支链和直链二戊基酯有3种同分异构体,分别为DnIPP、DnPP、DIPP,文中涉及该组分含量时,是指DnIPP、DnPP、DIPP3种同分异构体含量的总和,可以使用本方法对3种同分异构体进行测定,3种组分之和即为其含量。
本方法适用于粉、霜、露、膏、乳、油、液类化妆品中邻苯二甲酸二正戊酯、邻苯二甲酸二异戊酯、邻苯二甲酸戊基异戊酯、邻苯二甲酸二(2-甲氧乙基)酯、邻苯二甲酸丁苄酯、邻苯二甲酸二丁酯、邻苯二甲酸二(2-乙基己基)酯以及1,2-苯基二羧酸支链和直链二戊基酯含量的测定。
本标准的浓度适用范围以及方法的检出限、定量检出下限如表1所示。
DIPP | DMEP | DnIPP | DnPP | BBP | DBP | DEHP | |
浓度适用范围(mg/Kg) | 1.0–20 | 5.0–20 | |||||
检出限(3s, mg/Kg) | 1.0 | 1.0 | 1.0 | 1.0 | 1.0 | 5.0 | 5.0 |
定量检出下限(10s, mg/Kg) | 3.5 | 3.5 | 3.5 | 3.5 | 3.5 | 17.0 | 17.0 |
3 2 原理
试样经二氯甲烷超声提取后,使用硅胶–中性氧化铝混合填充的固相萃取小柱进行净化,正己烷–乙酸乙酯(1:1,v:v)为淋洗液,浓缩后经气相色谱分离、质谱检测器测定,使用保留时间、待测组分特征离子丰度比双重模式进行定性,外标法对各组分定量离子峰面积进行定量。
4 3 试剂及材料
除特别说明外,所有试剂均为分析纯;水为符合GB/T 6682规定的一级水。
3.1 邻苯二甲酸酯类标准物质:纯度高于97.0%。各待测物质的信息如表2。
表2 邻苯二甲酸酯的种类列表
序号 | 邻苯二甲酸酯类名称 | 英文名称及缩写 | CAS NO. | 化学分子式 |
1 | 邻苯二甲酸戊基异戊酯 | Di-n-iso-pentyl phthalate, DnIPP | C18H26O4 | |
2 | 邻苯二甲酸二正戊酯 | Di-n-pentyl phthalate, DnPP | 131-18-0 | C18H26O4 |
3 | 邻苯二甲酸二异戊酯 | Di-iso-pentyl phthalate, DIPP | 605-50-5 | C18H26O4 |
4 | 邻苯二甲酸丁苄酯 | Butyl benzyl phthalate, BBP | 85-68-7 | C19H20O4 |
5 | 邻苯二甲酸二(2-乙基己基)酯 | Di(2-ethylhexyl) phthalate, DEHP | 117-81-7 | C24H38O4 |
6 | 邻苯二甲酸二(2-甲氧乙基)酯 | Di(2-methoxyethyl) phthalate, DMEP | 117-82-8 | C14H18O6 |
7 | 邻苯二甲酸二丁酯 | Dibutyl phthalate, DBP | 84-74-2 | C16H22O4 |
3.2 正己烷:色谱纯。
3.3 乙酸乙酯:色谱纯。
3.4 二氯甲烷:色谱纯。
3.5 硅胶:100~200目,使用前于160 ℃下烘12 h。
3.6 中性氧化铝:100~200目,使用前于180 ℃下烘12 h。
3.7.1 单标标准储备溶液:准确称10.0 mg各邻苯二甲酸酯标准品于10 mL容量瓶中,分别加入少量正己烷溶解,定容至刻度,溶液浓度为1000 mg/L。分别将各标准溶液转移到安瓿瓶中于4℃保存。单标标准储备液保存时间为12个月。
3.7.2 混合标准中间溶液:取一定量各标准储备液用正己烷稀释成混合标准中间溶液,混合标准溶液浓度为100 mg/L。将混合标准中间溶液转移到安瓿瓶中于4℃保存。混合标准中间溶液保存时间为6个月。
3.7.3 混合标准工作液:用正己烷将一定量的混合标准中间溶液配制成系列不同浓度的混合标准工作液。将混合标准工作液转移至安瓿瓶中于4℃保存。混合标准工作液保存时间为3个月。
5 4 仪器和设备
4.1 气相色谱-质谱仪。
4.2 分析天平:感量0.0001 g。
4.3 超声波振荡器。
4.4 离心机。
4.5 氮气吹扫装置。
4.8 滤膜:0.45 μm有机相滤膜。
4.9 K-D浓缩瓶:30 mL。
6 5 分析步骤
5.1 提取及净化
称取0.5 g试样(精确到0.001 g),置于50 mL圆底螺口玻璃离心管(4.7)中,加入10.0 mL二氯甲烷,密封,于40~50℃范围内超声萃取15 min,2000 r/min离心5min后,移取有机相;重复上述操作,合并两次萃取液于30 mL K-D浓缩瓶(4.9)中。以下按照化妆品类型进行不同的操作:
1)对于液态的化妆品,如爽肤水、啫喱水、香水等,将萃取液用氮吹浓缩至近干,并用8 mL正己烷分三次淋洗K-D浓缩瓶内壁,最后用正己烷定容至1.0 mL,过0.45 μm滤膜,供GC-MS测定。
2)对于粉、露、霜、膏、油等的化妆品,如洗发水、沐浴露、染发剂、指甲油、胭脂、粉饼等,将萃取液用氮吹浓缩至近干,并用8 mL正己烷分三次淋洗K-D浓缩瓶内壁,加入0.5 mL正己烷,使用以下步骤对样品进行净化:
称取0.8 g硅胶和1.2 g中性氧化铝(2:3,m/m),充分混匀后用干法装入玻璃固相萃取小柱,轻敲至实。使用前对小柱进行预淋洗,预淋洗液为正己烷和乙酸乙酯的混合液(1:1,v/v),预淋洗体积为5 mL,弃去淋洗液。将上述浓缩后的萃取液转移至硅胶–中性氧化铝混装的固相萃取小柱,并用1 mL正己烷分两次洗涤器皿,洗涤液转移至固相萃取小柱。待样液过柱后,用20.0 mL正己烷-乙酸乙酯混合液(1:1,v/v)将目标物洗脱,流速为2.0 mL/min,用30 mL K-D浓缩瓶(4.9)收集洗脱液,氮气吹扫、浓缩至近干,浓缩过程中用8 mL正己烷分三次淋洗K-D浓缩瓶内壁,最后用正己烷定容至1.0 mL,供GC-MS测定。
5.2 空白实验
除不称取试样外,均按上述步骤进行。
5.3 测定
5.3.1 气相色谱-质谱条件
由于测试条件取决于所使用仪器,因此不能给出色谱分析的通用参数。设定的参数应保证色谱测定时被测组分与其他组分能够得到有效的分离,以下参数可供参考:
进样口温度300℃。载气为氦气(纯度≥99.999%),恒流方式,流速1.0 mL/min。色谱柱为DB-35 MS柱,30 m × 0.25 mm(i.d.)× 0.25 μm,或相当者;柱升温程序为:初始温100 ℃,保持0.5 min后以30 ℃/min升至300 ℃,保持2.0 min至待测组分全部流出。进样量1.0 μL。
离子源为EI源,电离能量70eV。色谱–质谱接口温度280℃,离子源温度230℃,四级杆温度150℃。溶剂延迟时间6.0 min。测量方式为全扫描/选择离子监测(Scan/SIM)同时采集模式。各待测组分的定性、定量离子如表3所示。
序号 | 名称 | 保留时间(min) | 选择离子(m/z) | 丰度比 |
1 | DBP | 6.81 | *149,150,223 | 100 : 10 : 6 |
2 | DIPP | 7.10 | *149,237,207 | 100 : 11 : 4 |
3 | DMEP | 7.16 | *59,58,149,207 | 100 : 69 : 25 : 16 |
4 | DnIPP | 7.25 | *149,237,207 | 100 : 10 : 7 |
5 | DnPP | 7.40 | *149,237,207 | 100 : 7 : 3 |
6 | BBP | 8.52 | *149,206,238 | 100 : 26 : 4 |
7 | DEHP | 8.65 | *149,167,279 | 100 : 33 : 3 |
5.3.2 气相色谱-质谱分析及结果确证
根据试样中被测物质含量,选定适宜浓度标准工作液,使待测样液中每种邻苯二甲酸酯的响应值均在仪器检测的线性范围内。如果样液的检测响应值超出仪器检测的线性范围,可适当稀释后再进行测定。
在5.3.1气相色谱–质谱条件下,邻苯二甲酸酯标准物质的参考保留时间和气相色谱–质谱选择离子色谱图见图1。如果在试样、标准工作溶液的选择离子色谱图中,在相同保留时间出现色谱峰,则根据表3、表4中邻苯二甲酸酯特征选择离子丰度指标进行确证。

图1 邻苯二甲酸酯标准物质气相色谱-质谱选择离子色谱图(0.5 ?g/mL)
名称 | 允许相对偏差 | |
DBP | 150 | ±5% |
223 | ±10% | |
DIPP | 237 | ±5% |
207 | ±20% | |
DMEP | 58 | ±20% |
149 | ±10% | |
207 | ±20% | |
DnIPP | 237 | ±5% |
207 | ±20% | |
DnPP | 237 | ±5% |
207 | ±20% | |
BBP | 206 | ±5% |
238 | ±10% | |
DEHP | 167 | ±10% |
279 | ±10% |
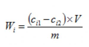
(1)