1 拼音
huà zhuāng pǐn zhōng 4-ān jī lián běn jí qí yán de jiǎn cè fāng fǎ
《化妆品中4-氨基联苯及其盐的检测方法》由国家食品药品监督管理局于2012年1月18日国食药监保化[2012]13号发布。
4 3 试剂与材料
3.1 甲醇:色谱纯。
3.2 乙腈:色谱纯。
3.3 甲酸:色谱纯。
3.7 HLB固相萃取小柱或相当者:500mg/6mL。
3.8 30% 甲醇水溶液:甲醇(3.1)+水=30+70。
3.9 氨水:NH3含量25% ~28%。
3.10 5% 氨水甲醇溶液:氨水(3.9)+甲醇= 5+95,现配现用。
3.11 4-氨基联苯:CAS 92-67-1,纯度>99%。
3.12 4-氨基联苯-D9:CAS 344298-96-0,纯度>99%。
3.13 4-氨基联苯标准贮备液(1000μg/mL):准确称取标准物质10.0mg,用甲醇溶解,稀释,定容至10mL,于-18℃下保存。
3.14 4-氨基联苯标准工作溶液:分别取(3.13)标准贮备液,用甲醇稀释定容,制成浓度为1000ng/mL的标准溶液,于-18℃下保存。临用时用50%甲醇水溶液稀释成500ng/mL、250ng/mL、125ng/mL、50ng/mL、25ng/mL、5ng/mL。
3.15 4-氨基联苯-D9 内标标准溶液:用50%甲醇稀释内标标准品溶液,得到100 ng/mL 4-氨基联苯-D9内标溶液。
3.16 分别从4-氨基联苯标准工作溶液(3.14)中分别吸取0.5mL溶液与0.5mL100 ng/mL内标溶液(3.15)混合,制得内标4-氨基联苯-D9浓度为50ng/mL,4-氨基联苯分别为250 ng/mL、125 ng/mL、62.5ng/mL、25 ng/mL、12.5 ng/mL、2.5 ng/mL的标准溶液。并根据需要配制成相应浓度的空白基质加标标准溶液。
6 5 分析步骤
5.1 化妆水、面霜、粉底类化妆品
称取样品0.2g(精确到0.001g),置于10mL具塞塑料离心管中,加入1mL浓度为100ng/mL氘同位素标记的4-氨基联苯(3.15),再加入3mL氯化钠饱和溶液(3.6),于涡旋混合器上使样品分散,加入3mL乙腈(3.2),充分涡旋,并超声提取30min,10000r/min 离心10min,吸出上层清液于另一10mL 具塞塑料离心管中,下层氯化钠饱和溶液用3mL乙腈(3.2)重复提取步骤一次,合并两次乙腈提取液,往提取液中加入正己烷(3.4)2 mL,涡旋离心,静置分层,弃去上层正己烷溶液,再在乙腈层加入正己烷(3.4)2 mL,涡旋离心,静置分层,弃去上层正己烷溶液,转移下层乙腈溶液至另一10mL玻璃刻度试管中,40℃水浴下用氮气吹至近干,并用30%甲醇水溶液(3.8)重新溶解、定容至2mL,并经0.2 μm滤膜过滤后作为测定液上机测定。
称取样品0.2g(精确到0.001g),置于10mL具塞塑料离心管中,加入1mL浓度为100ng/mL氘同位素标记的4-氨基联苯(3.15),再加入3mL氯化钠饱和溶液(3.6),于涡旋混合器上使样品分散,加入3mL乙醚(3.5),充分涡旋,并超声提取30min,10000r/min 离心10min,吸出上层清液于另一10mL 具塞塑料离心管中,下层氯化钠饱和溶液用3 mL乙醚(3.5)重复提取步骤一次,合并两次乙醚提取液,用氮气吹至近干,并用30%甲醇水溶液(3.8)2mL重新溶解,再加入8mL纯水稀释。
HLB 固相萃取小柱(3.7),接上固相萃取装置,小柱预先用10mL 甲醇、10mL水进行活化、平衡。将待净化的样品溶液倾倒入固相萃取小柱,待样品溶液自然流尽后,依次用10mL纯水、5mL 10%甲醇溶液淋洗小柱;待淋洗液自然流尽后,用吸球吹出小柱中的残留液,用10mL 5%氨水甲醇溶液(3.10)洗脱固相萃取小柱,收集洗脱液,40℃水浴下经氮气吹至近干,用30%甲醇水溶液(3.8)重新溶解、定容至2mL,并经0.2 μm滤膜过滤后作为测定液上机测定。
称取样品0.2g(精确到0.001g),置于10mL具塞塑料离心管中,加入1mL浓度为100ng/mL氘同位素标记的4-氨基联苯(3.15),再加入3mL乙腈(3.2),于涡旋混合器上使样品分散溶解,充分涡旋,并超声提取30min,10000r/min 离心10min,取上层清液于另一10mL 具塞塑料离心管中,下层样品残渣再用3 mL乙腈(3.2)重复提取步骤一次,合并两次乙腈提取液,往提取液中加入正己烷(3.4)2 mL,涡旋离心,静置分层,弃去上层正己烷溶液,再在乙腈层加入正己烷2 mL,涡旋离心,静置分层,弃去上层正己烷溶液,转移下层乙腈溶液至另一10mL玻璃刻度试管中,40℃水浴下用氮气吹至近干,并用30%甲醇水溶液重新溶解、定容至2mL,并经0.2 μm滤膜过滤后作为测定液上机测定。
7 6 测定
6.1 液相色谱参考条件
以下为液相色谱参考条件:
a) 色谱柱:C18,1.7μm,100mmí2.1 mm(内径),或相当者
b) 柱温:40℃;
e) 流速:0.5mL/ min;
f) 进样量:2μL;
6.2 质谱参考条件
以下为质谱参考条件:
c) 雾化气:氮气;
d) 雾化气压力:45psi;
e) 毛细管电压:3500V;
f) 干燥气温度:325℃;
g) 干燥气流速:5L/min;
h) 鞘气温度:400℃;
i) 鞘气流速:12 L/min;
k) 分辨率:Q1(unit)Q3(unit);
质谱测定参数见表1;质谱鉴定的允差见表2。
表1 4-氨基联苯及其内标物的保留时间、监测离子对、源内裂解电压、碰撞气能量
注1:*定量离子
相对离子丰度/% | >50 | >20~50 | >10~20 | ≤10 |
允许的相对偏差/% | ±20 | ±25 | ±30 | ±50 |
6.3 标准曲线的绘制
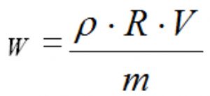
………….………………………….(1)

