3 醋酸可的松药典标准
3.1 品名
3.1.1 中文名
3.1.2 汉语拼音
Cusuan Kedisong
3.1.3 英文名
Cortisone Acetate
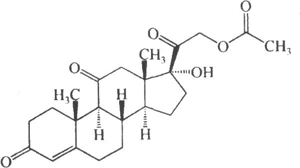
3.2 结构式

3.3 分子式与分子量
C23H30O6 402.49
3.4 来源(名称)、含量(效价)
本品为17α,21-二羟基孕箔-4-烯-3,11,20-三酮-21-醋酸酯。按干燥品计算,含C23H30O6应为97.0%~103.0%。
3.5 性状
本品为白色或类白色结晶性粉末;无臭,初无味,随后有持久的苦味。
本品在三氯甲烷中易溶,在丙酮或二氧六环中略溶,在乙醇或乙醚中微溶,在水中不溶。
3.5.1 比旋度
取本品,精密称定,加二氧六环溶解并定量稀释制成每1ml中约含10mg的溶液,依法测定(2010年版药典二部附录Ⅵ E),比旋度为+210°至+217°。
3.5.2 吸收系数
取本品,精密称定,加无水乙醇溶解并定量稀释制成每1ml中约含10μg的溶液,照紫外-可见分光光度法(2010年版药典二部附录Ⅳ A),在238nm的波长处测定吸光度,吸收系数(
)为375~405。
3.6 鉴别
(1)取本品约0.1mg,加甲醇1ml溶解后,加临用新制的硫酸苯肼试液8ml,在70℃水浴中加热15分钟,即显黄色。
(2)取本品约2mg,加硫酸2ml使溶解,放置5分钟,显黄色或微带橙色;加水10ml稀释后,颜色即消失,溶液应澄清。
(3)在含量测定项下记录的色谱图中,供试品溶液主峰的保留时间应与对照品溶液主峰的保留时间一致。
(4)本品的红外光吸收图谱应与对照的图谱(《药品红外光谱集》544图)一致。
3.7 检查
有关物质 取本品,加乙腈溶解并稀释制成每1ml中约含1mg的溶液,作为供试品溶液;精密量取1ml,置100ml量瓶中,用乙腈稀释至刻度,摇匀,作为对照溶液。照含量测定项下的色谱条件,取对照溶液20μl注入液相色谱仪,调节检测灵敏度,使主成分色谱峰的峰高约为满量程的50%。再精密量取供试品溶液与对照溶液各20μl,分别注入液相色谱仪,记录色谱图至主成分峰保留时间的2.5倍。供试品溶液色谱图中如有杂质峰,单个杂质峰面积不得大于对照溶液主峰面积的0.5倍(0.5%),各杂质峰面积的和不得大于对照溶液主峰面积的1.5倍(1.5%)。供试品溶液色谱图中任何小于对照溶液主峰面积0.01倍的峰可忽略不计。干燥失重 取本品,在105℃干燥至恒重,减失重量不得过0.5%(2010年版药典二部附录Ⅷ L)。
3.8 含量测定
照高效液相色谱法(2010年版药典二部附录Ⅴ D)测定。
3.8.1 色谱条件与系统适用性试验
用十八烷基硅烷键合硅胶为填充剂;以乙腈-水(36:64)为流动相;检测波长为254nm。取醋酸可的松与醋酸氢化可的松,加乙腈溶解并稀释制成每1ml中各约含10μg的溶液,取20μl注入液相色谱仪,记录色谱图,理论板数按醋酸可的松峰计算不低于3500,醋酸可的松峰与醋酸氢化可的松峰的分离度应大于4.0。
3.8.2 测定法
取本品,精密称定,加乙腈溶解并定量稀释制成每1ml中约含0.1mg的溶液,精密量取20μl注入液相色谱仪,记录色谱图;另取醋酸可的松对照品,同法测定。按外标法以峰面积计算,即得。
3.9 类别
肾上腺皮质激素药。
3.10 贮藏
3.11 制剂
(1)醋酸可的松片 (2)醋酸可的松注射液 (3)醋酸可的松眼膏
3.12 版本
《中华人民共和国药典》2010年版