医用X射线诊断设备(第三类)产品注册技术审查指导原则

法规文件

心气虚,则脉细;肺气虚,则皮寒;肝气虚,则气少;肾气虚,则泄利前后;脾气虚,则饮食不入。

1 拼音

yī yòng Xshè xiàn zhěn duàn shè bèi (dì sān lèi )chǎn pǐn zhù cè jì shù shěn chá zhǐ dǎo yuán zé

医用X射线诊断设备(第三类)产品注册技术审查指导原则》由国家食品药品监督管理局于2010年7月1日发布。

医用X射线诊断设备(第三类)产品注册技术审查指导原则

2 一、前言

本指导原则是对医用X射线诊断设备的一般要求,申请人/制造商应依据具体产品的特性对注册申报资料的内容进行充实和细化。申请人/制造商还应依据具体产品的特性确定其中的具体内容是否适用,若不适用,需具体阐述其理由及相应的科学依据。

本指导原则是对申请人/制造商和审查人员的指导性文件,但不包括注册审批所涉及的行政事项,亦不作为法规强制执行,如果有能够满足相关法规要求的其它方法,也可以采用,但是需要提供详细的研究资料和验证资料。应在遵循相关法规的前提下使用本指导原则。

本指导原则是在现行法规和标准体系以及当前认知水平下制定的,随着法规和标准的不断完善,以及科学技术的不断发展,本指导原则相关内容也将进行适时的调整。

3 二、 适用范围

本指导原则适用于第三类胃肠X射线机及数字化医用X射线摄影系统。其他第三类医用X射线诊断设备及进口第二类医用X射线诊断设备可参照本指导原则的相关内容。

4 三、基本要求

4.1 (一)技术资料

制造商应当向审查人员提供对设备及其部件进行全面评价所需的基本信息产品的技术资料作为注册文件中一个单独的文件,应包含以下信息

1、外观构造

(1)整个系统的完整描述,包括系统设计以及各部件之间相互连接的图形化描述。

(2)设备硬件的完整描述,包括所有组成部分。应给出有标记的图示(如图表、照片和图纸),清楚地标识关键部件/组件,其中包括充分的解释来方便理解这些图示。

一台具有独立诊断功能面的医用X射线诊断设备由三部分组成:包括X射线发生装置、X射线成像装置、附属设备。X射线发生装置包括X射线源组件、高压发生器等;X射线成像装置包括X射线增强-电视系统(II-TV系统)、荧光屏、胶片暗盒、电影摄影系统、录像装置、DR平板、CR成像板或更多;附属设备(床、台、器、架支持系统)包括摄影平床、透视胃肠诊断床、立式摄影架、管球支架、天轨吊架或更多。未尽项目和内容,可以增加。

(3)产品组成

(4)产品工作原理的概述

(5)系统框图

(6)相对于市场上同类常规产品的创新性技术、设计和应用的介绍

2、与设备物理性能相关的设备属性的完整描述。描述应包含整个图像系统系统各部件的技术特性和规范,具体要求见附录I。附录I内容应列入注册产品标准中,并提供电子光盘。

3、预期用途

4、使用方法概述

5、使用时注意事项

6、软件开发周期的完整描述,包括:软件名称、版本。

(1)危险程度

轻微的危险;中等的危险;重大的危险

(2)软件描述

程序设计语言

硬件平台

操作系统(如适用)

现货供应软件的使用(如适用)

(3)危害分析

建议提交一份“软件危险分析”。该“软件危险分析”应该考虑与设备预期用途有关的设备危险,建议以表格的形式呈现这些信息,表格中的每个排列项代表一个确定的危险。此文件可以是从在一个全面风险管理文件中摘取的有关软件项目的摘要形式,例如,YY/T0316-2008中描述的“风险管理概要”。在风险分析格中,每个项目应该包括:

? 危险事件的识别

? 危险的严重性

? 危险的原因

控制方法(例如,警报、硬件设计)

? 采取的纠正措施,包括用来消除、降低或警告危险事件的设备设计/要求方面的说明;以及

控制方法被正确执行的确认

危险分析应该针对所有可预见的危险,包括那些有意的或无意的误用设备引起的危险。

(4)软件需求列表

硬件要求

程序设计语言要求

接口要求

软件性能功能要求

(5)用结构图对软件的描述

此文件通常是一个流程图,或者是软件设备中重要功能单元之间关系的类似描述,包括与硬件和与数据流(例如联网)的关系。通常,此文件中不必包含每个函数引用和模块,但应该包含足够的信息以便对有关软件设备功能性和预期用途方面的软件组织进行评审。为了清楚地描述软件功能单元之间的关系,详细的信息(例如,状态图)可能是非常有用的。

(6)软件开发过程总结

(7)验证活动确认活动的总结

(8)验证结果和确认结果的总结

7、设计和生产过程相关信息。包含产品的设计过程和生产过程的资料,可采用流程图的形式,是设计过程和生产过程的概述,但不能替代质量管理体系所需的详细资料。

8、产品历史注册情况及产品变更情况记录

4.2 (二)风险管理资料

本要求的主要参考和依据是2009年6月实施的医药行业标准YY/T0316-2008idt ISO14971:2007《医疗器械 风险管理对医疗器械的应用》(下称医疗器械风险管理标准)。

申报方应提供注册产品风险管理报告。扼要说明在注册产品的研制阶段,已对产品的有关可能的危害及产生的风险进行了估计和评价,并有针对性地实施了降低风险的技术和管理方面的措施。在产品性能测试中部分验证了这些措施的有效性,达到了通用和相应专用标准的要求。对所有剩余风险进行了评价;全部达到可接受的水平。为制造商对注册产品安全性的承诺提供证实。

风险管理报告一般包括以下内容:1、注册产品风险管理组织;2、注册产品的组成;3、注册产品符合的安全标准;4、注册产品预期用途,与安全性有关的特征的判定;5、对注册产品的可能危害作出判定;6、对所判定的危害进行了哪些降低风险控制措施;7、对采取控制措施后的剩余风险进行估计和评价。具体要求见附录II。

4.3 (三)注册单元划分原则

注册单元划分应根据产品预期用途、性能指标、技术结构进行综合判定。

1、不同预期用途的X射线诊断设备,不能作为同一单元注册。如:用于血管造影X射线诊断设备不能和胃肠造影专用的X射线诊断设备作为同一注册单元。

预期用途相同,性能指标相近,但技术结构有较大差异的的X线诊断设备不能作为同一注册单元。

如:都是50kW的X射线发生装置;高压发生装置中的高压变压器结构不一致的(如:工频和非工频),不能划为同一注册单元。

如:同是透视胃肠诊断床,床上管的和床下管的不能划为同一注册单元。

因为上述技术结构的差异,涉及到产品风险程度和申报方的技术能力

2、设计和生产过程相同,预期用途相同,性能指标相近,技术结构基本相同的派生系列产品可以划为同一注册单元。

如:高频50KW医用X射线诊断机,一台高压发生装置可以有两种或三种配置:配一台透视胃肠诊断床;构成单床机组,同是这台主机(接口有些变动)也可以再配一台摄影平床,构成双床机组适应不同临床需要,这种情况也可以作为同一注册单元。

如:高压发生器:硬件结构相同,仅靠软件调节功率的,增加、减少或更换部分电路板的方式调节的,可以划为同一注册单元。

3、由于临床需求的多样性,医用X射线诊断机和系统经常需要有多种多样部件的灵活配置。在基本组成不变的情况下,不同选择的配置可以划为同一注册单元。

如:一台DR数字X射线摄影系统,主机和患者支持装置完全一样,只是悬吊系统不同(半自动和自动,实现自动跟踪),实现两种不同档次的配置,这种情况也可以作为同一注册单元。

4、决定主机、床台和成像装置能否组成一个合理的X射线诊断系统的注册单元,采取高压发生装置优先原则。即:一台高压发生装置,可以选配不同的床台和成像装置,形成一个整机系统作为一个注册单元;而任何床台或成像装置不能选配不同的高压发生装置构成一个注册单元。

如:一台胃肠诊断床不能选配不同的高压发生装置(自制、外购的)作为同一注册单元。

5、对采用的关键成像器件(如CCD与摄像管、平板探测器与影像增强器等)工作原理不同的,不能作为同一注册单元。

4.4 (四)检测单元划分原则

检测样机的选取应考虑产品功能性能预期用途、安全指标、主要部件、结构及其组合方式等,具体原则如下:

1、对功能性能预期用途、安全指标、主要部件、结构及其组合方式不同的设备应选取不同的检测样机;

2、对产品性能不同,结构及其组合方式相同的设备,应选取不同的检测样机;

3、对主要部件组合方式不同的设备应选取不同的检测样机;

4、对产品主要部件不同的设备应选取不同的检测样机,例如:高压发生器、影像系统、X射线管、患者支撑装置等;

5、对电源部分结构有较大区别的,应选取不同的检测样机;

6、对不同生产厂地,相同型号的产品应选取不同的检测样机;

7、容量不同的产品应选取最大容量的样机,多配置的产品应选择包括各种配置的典型产品进行检测

同一注册单元的产品应选择典型性配置进行全面检测,其他配置产品更换部件的检测可适用覆盖原则及进行差异试验,更换一种主要部件的,如持证人一致,部件已经通过检验,部件型号及设计未发生变化,检测标准未发生变化,可以适用覆盖原则。同时更换2个及以上主要部件的,覆盖原则不适用。

具体要求如下:

1、产品配置发生变化的情况

对于一个型号的产品具有多种配置的情况,以及一个注册单元产品具有多个型号的情况,原则上产品的每个不同部件都应经过检验。对于已经含有经过检验的部件的产品可以被部分覆盖,仅进行差异试验。如果一个型号的产品多种配置的一个配置的所有部件在该型号产品检验中全部经过检验,可考虑免检。

2、部件本身发生变化的情况

(1)更换高压发生器:硬件结构相同,仅靠软件调节功率的,增加、减少或更换部分电路板的方式调节的,功率高的可覆盖功率低的。硬件结构不同的,不能相互覆盖。

(2)更换X射线管(组件):原则上不能覆盖,应进行差异试验。

(3)更换限束器:原则上不能覆盖,应进行差异试验。

(4)患者支撑装置:原则上不能覆盖,应进行差异试验。

3、其它说明

(1)整机检测合格,在原产品配置基础上,硬件结构无变化,只是减少了组成部件的产品,可以被覆盖。(如:双床双管X射线检测合格,企业又申请单床单管机,且使用的仍是原双床双管机的高压发生器及其它部件,可以被覆盖。)

(2)对于不能被覆盖的产品应进行差异检测检验时执行的标准应根据产品具体情况分析确定。(详见附录III)。

(3)新产品申请,由于性能不同,即使硬件结构相同或相近,也应进行检测

4.5 (五)临床资料

1.什么情况下可以免除临床试验

免除临床试验的要求应在注册管理办法框架下,配合注册管理办法的指导思想应用。

考虑国际上通行的监管手段,在有充分临床证据证明设备的安全性和有效性条件下免除部分设备的上市临床试验要求,对促进我国医疗设备产业的发展具有积极意义。

临床试验是在医院环境下进行的设备使用稳定性、便捷性、安全性测试及图像质量评估,临床试验的目的在于获得设备适合临床应用的临床证据,免除临床试验并不意味着设备可以免除临床证据,任何新设备上市都需要提供临床证据来证明其能够安全有效地应用于临床,为临床诊疗提供有价值的帮助,当然,临床证据的获取手段并不是单一的,除了进行临床试验外,厂家也可以采用其他科学的、可考证的前人或他人所做的临床试验结果来证明自己设备的安全性和有效性,前提是其之间是可以等同对比的。

如果厂家能够提供相关的证明材料,证明申请注册的设备在安全性和有效性方面与已在国内上市,并经过充分临床实践证明过的设备是实质性等同的,也就是在临床功能和技术性能方面是一致的,设备的安全性和临床有效性是有充分保证的,可以被认为其临床证据有效,无需进行重复的临床试验进行证明。

文献证明需要提供同类设备以往的临床实验报告或临床应用研究论文,以及相关文献综述,并要进行设备间的等同比对,如果申请设备与参比设备间的技术性能有差距,需提供有效证据证明这些性能差距对临床应用不会产生不良的影响。

要求所提供的资料具有真实性、可靠性、全面性及可查证性,如果提供的是外文文献,应附中文翻译,如果外文文献较多,可以只翻译能够全面反映问题的综述性文献。

企业在申请免除临床试验时,要选择一个与申请设备相同类的已在中国国内上市的设备作为参照设备,该参照设备的注册证应该(必须)仍然在有效期范围内,并且也不存在临床方面的法律纠纷。该机器可以是公司自己的设备,也可以是竞争对手的机器。对比从以下几个方面进行:

(1)有相同的临床用途(intended use)

(2)有相同的成像原理(imaging concepts)

(3)有相同的技术性能(technological characteristics)

(4)如果技术性能有差别,但满足以下条件:

a、有充分的证据(包括临床试验信息)证明这些不同的技术性能具有同样的安全性和有效性

b、这些技术性能在本质上不会增加潜在伤害、形成新的安全性问题、增加不正确诊断或无效治疗的可能性;

只要满足上述条件,就可以判断新设备与已经上市的参照设备是“实质等效”,可以上市。

具体操作时,实质性等同比对报告应包括的信息见附录IV。

2.什么情况下必须进行临床试验

如果采用对比无法充分证明设备的安全性和有效性,比如存在以下情况和问题,必须进行临床试验:

1

设备采用新的工作原理和结构设计,属于创造性的全新设备,国内市场上没有与之类似的上市设备

2

设备的临床适用范围增加了,在原有的基础上开发了新的临床应用领域。

3

设备采用了新的关键器件,该器件具有新的技术特性,其对设备的应用和操作产生了较大的影响,所获得的影像质量也有很大区别。并且这种器件没有充分的临床验证

4

采用了全新的操作方法,如果缺乏完整的可用性工程设计文件档案,有必要经过临床应用试验来验证其设计的可用性(usability);

5

试验室检测无法确认安全和有效的设备功能,如果这种功能是新的,没有以往的临床经验,则必须通过临床试验数据来说明。

6

过去没有生产过X射线影像设备,所申请注册设备是企业开发的首款新型设备,没有进行过任何临床试验,缺乏相关临床数据和试验经验,应通过临床试验来获得临床适用证据。

进行临床试验应考虑的问题:

(1)临床试验的目的在于评价该医疗器械在正常使用条件下是否符合预期安全性设想和预期医疗效果(价值)。

(2)临床试验应有专门设计的临床试验方案(包括:试验目的,试验方法,受试者的选择,疗效/安全性评价指标及评价方法、危险性控制,潜在的伤害风险分析,试验起止时间、数据管理及统计分析方法等)。临床试验方案的设计应由厂家、临床专家和统计学家共同完成。统计分析人员应全程参与临床试验(包括:方案设计、数据管理、统计分析及统计分析报告)。

(3)临床评价指标

主要评价指标:影像质量的临床诊断要求符合率;次要评价指标:机器使用便捷性、整机功能稳定性满意度。

(4)临床评价标准

见附录V

(5)每一部位的临床试验例数

临床试验可采用目标值法的单组试验。

根据临床要求,影像质量的临床诊断要求符合率不得低于85%(目标值), 假设试验组影像质量的临床诊断要求符合率为95%,则当双侧显著性水平取0.05、检验效能为80%时,试验最少需要的受试者数为80例。

胸部80例,其中至少有10例含正侧位投照。

骨与软组织部位包含三个位置(头、腰椎、骨盆/髋关节),头任何投照体位计1例;腰椎必须进行正侧位投照且计为1例、骨盆/髋关节正位计1例,合计80例;每位置最少病例数10例。

胃肠造影包含四个位置:食道、胃、小肠、钡灌肠(全消化道造影可计3例),合计80例;每位置最少病例数10例。

DSA包含四个位置:腹主动脉、肝动脉、肾动脉、髂总动脉,合计80例;每位置最少病例数10例。

每一部位的临床试验例数均需符合统计学原则(在符合伦理学的原则下,同一个受试者可以用于多个部位的验证)。

(6)临床试验效果评价

a、图像清晰度评价采用双人盲态评价的方式(即:双人背靠背评价临床影像的质量),有条件时建议采用由不参与临床试验的第三方进行评价的方法。要求:

l  受试者的影像质量达到“临床诊断要求符合率”至少为95%(即:100个人中,至少有95个人的影像质量评估为符合要求);

l  受试者影像质量为“不可见”的比例不得超过2%(即:100个人中,最多有2个人的影像质量评估为“不可见”);

b、机器使用便捷性、整机功能稳定性满意度达到85%,满意及一般达到95%

(7)临床试验报告及统计分析报告

由组长单位根据统计分析报告,出具某一适应症的临床试验报告。统计分析报告应将所有中心的同一适应症(部位)的数据合并在一起进行统计分析,并对每一部位出具总的统计分析报告。

应对所有入选的受试者进行数据管理,遇有不清楚的问题时,应与原始记录核对。统计分析应至少包括如下四部分:a、临床试验完成情况描述:包括临床试验概况(筛选人数、入选人数、完成人数、失访/退出/剔除人数等);b、基线描述:应对所有入选受试者(ITT分析集)的基线人口统计学指标及其他相关病史指标等进行描述;c、疗效/效果评价:应对所有入选的受试者(ITT分析集)和最终完成试验的受试者(PP分析集)分别进行统计分析。疗效分析时,除点估计外,还应给出点估计的95%的可信区间;d、安全性评价时,应对所有入选的受试者进行分析(SS分析集),不能遗漏所有发生的任何不良事件(包括实验室指标:试验前正常、试验后异常并有临床意义的事件),对所有发生的不良事件应评价其是否与所研究产品有关。

(8)临床试验的整个过程要有严格的监督和质量控制,所有试验记录均要完整、真实、清晰、客观。应在试验期间内连续入选受试者。

4.6 (六)介绍、标签和包装标识

产品使用说明书应符合《医疗器械介绍、标签和包装标识管理规定》和相关的国家标准、行业标准的要求。应特别注意

1、使用指示

所有介绍中公布信息的一个基本属性就是要包含设备相关的准确数据,还要包含设备能够提供的诊断信息预期面向的患者群体

2、禁忌症(如有)

这部分内容应列出:在哪些情况下,绝对不能使用设备。

3、警告/注意

基于可得到的信息,什么情况下风险会上升,效果会下降,或者,在研究设计中,哪些没有被充分考虑(例如,包含/排除准则),这些因素在本节中都应列出来。

4、使用指导

应当提供详细的指导,以反映在临床前及临床研究中获得的经验

4.7 (七)设备有效使用期限

目前,X射线设备没有设置产品有效期限规定,但是各制造商应当制定适当的维修保养和设备停产后对市场已装机设备提供维修年限的方案。

制造商应当根据质量体系的要求对停产和淘汰产品作出相应的规定:

1.客户沟通: 对于计划停产或淘汰产品应向用户承诺提供技术支持服务及配件的时间。

2.备件库存期限:通知客户最后购置备件期限,  并报废相关备件库存。

3.模糊文件和记录保存:根据产品记录保持政策和法规的要求,报废相关文件和记录。

5 四、名词解释

X射线影像增强器电视系统: 由X射线影像增强器\光学系统\摄像机信号处理系统影像显示装置组成的将X射线图形转换成相应的可见光影像系统.

预期用途:按照制造商提供的规范、介绍和信息,对产品、过程或服务的预期使用。

6 五、参考文献

[1] GHTF/SG1/N43:2005 《Labelling for Medical Devices》

[2] FDA :Code of Federal Regulations , Title 21, Volume 8 ,Revised as of April 1, 2007  ,CITE: 21CFR801,Subpart A--General Labeling Provisions

[3] GHTF/SG5/N2R7《Clinical Evaluation》

[4] MEDDEV. 2.7.1 April 2003 GUIDELINES ON MEDICAL DEVICES——EVALUATION OFCLINICAL DATA : A GUIDE FOR MANUFACTURERS AND NOTIFIED BODIES

[5] PremarketApplications for Digital Mammography Systems;Final Guidance for Industry andFDA

[6] EUROPEANGUIDELINES ON QUALITY CRITERIA FOR DIAGNOSTIC RADIOGRAPHIC IMAGES

[7] General Principles ofSoftware Validation; Final Guidance for Industry and FDA Staff,Document issued on: January 11, 2002;

7 六、起草单位

起草单位:国家食品药品监督管理局医疗器械技术审评中心

8 附录Ⅰ 系统各部件的技术特性和规范

(文字表述,可按照下表分类填写,表格未尽项目和内容,可以增加)

描述

名称

部件

名称

型号

Model

规格参数

Specification

制造

Manufacturer

备注

Remark

高压发生

装置

管电压范围:

管电流范围:

加载时间范围:

电流时间积范围:

输出标称电功率:

输入电源电压:

输入电源频率

高压变压器结构:非工频/工频

X射线

组件

X射线

管组件

X射线管型号

管套型号

标称管电压

焦点

靶角:

管组件热容量:

限束器

等效总滤过

控制装置

成像系统

数字探测器平板或CR用IP板

材料

尺寸

采集矩阵

影像增强器

视野尺寸

X射线专用摄像机

像素

图像处理系统

软件名称、版本

监视器

最低性能

屏幕尺寸

类型(诊断型/预览型;CRT/液晶,彩色/黑白)

分辨率 (象素矩阵)

亮度最大值

用具有CCC证书或符合信息安全标准,满足最低性能要求的同类型预览型监视器替换原有监视器的,无需公布型号及制造

患者支撑装置

诊断床

焦点影像接收面的距离

上管/床下管

旋转角度

摄影

焦点影像接受面的距离

摄影胸片架(若有)

承装数字平板探测器或胶片IP板的尺寸

其它支撑装置(若有)

9 附录Ⅱ 风险管理报告的内容

一、注册产品风险管理组织

由申报方成立申报产品风险管理组。列出组长、组员姓名;职务及责任范围。管理组成员应具有与管理任务相适应的知识和经验

风险管理组负责风险管理报告的编写,接受有关方面的查询并对报告的内容负责。

二、注册产品的组成

注册的医用X射线诊断设备是由哪些单元组成。

例如:由50kW/125kV/800mA的X射线发生装置、一台摄影浮动平床、一台立式摄影架、一台床下管胃肠诊断床、X射线增强-电视系统、天轨悬吊装置组成。

三、注册产品符合的安全标准,包括但不限于:

GB9706.1 《医用电气设备 第一部分:安全通用要求》

GB9706.3 《医用电气设备 第2部分:诊断X射线发生装置的高压发生器安全专用要求》

GB9706.11  《医用电气设备  第二部分:医用诊断X射线源组件和X射线管组件安全专用要求》

GB9706.12  《医用电气设备  第一部分:安全通用要求 三.并列标准  诊断X射线设备辐射防护通用要求》

GB9706.14  《医用电气设备  第2部分:X射线设备附属设备安全专用要求》

GB9706.15  《医用电气设备  第一部分:安全通用要求 1. 并列标准:医用电气系统安全要求》

注册申报方应声明注册产品符合上述哪些安全标准;并注明标准的有效版本号。

四、注册产品预期用途和与安全性有关特征的判定

申报方应按“医疗器械风险管理标准”附录C的34条提示,对照注册产品的实际情况作针对性的简明描述。

如:对C.2.1:可阐明注册产品预期用途为:用于医疗机构对患者进行透视、普通摄影、点片摄影胃肠检查。设备的安装、使用和维护必须由经过培训、具有相应资格的人员进行。

对C.2.3:是否与患者和其他人员接触?应阐明注册产品患者和操作人员接触的工作部件,接触性质为短时间的皮肤接触。

对C.2.4及以下30项提示,应根据注册产品的实际情况逐条回答,本文不再赘述。注意:注册产品如存在34条提示以外的可能影响安全性的特征,也应做出说明。

五、对注册产品的可能危害作出判定

申报方应根据“医疗器械风险管理标准”附录E的举例,对产品的可能危害进行判定并列出清单。

(一)能量危害和形成因素

患者和使用者的电击危害如:

—应用部分与带电部分没有充分隔离

—接地不良,对地阻抗大;

—高低压系统电介质绝缘强度不够;

患者漏电流、外壳漏电流超标;

—设备外壳封闭不良;

—插头剩余电压过高;

热能造成灼伤或飞溅如:

—长时间透视X线管组件外壁过热;

—容量保护控制失灵,X线管爆裂,组件热油飞溅;

机械力及机械损害如:

—压迫带、压迫器用力过大;

—机械部件的尖角、锐边、毛刺刮伤患者

—运动部件间的空间和隙缝伤人;

—运动部件极限位置限位保护装置失灵;

电离辐射如:

焦点皮肤距离过小;

X射线线质差;软线过多;半价层低;

固有滤过不够;

—漏射线、散射量过大;防护屏蔽遮拦不充分;

—限束器准直效果不良,照射野过大;

—设备和房间防护不足,造成对医生和环境的曝射;

悬挂物下坠如:

—悬挂部件紧固不牢,绳索、链条折断;

—防坠装置失效;

—诊断床立位时,患者脚踏板突然下滑;

(二) 生物和化学危害:支持患者的床台可能造成交叉感染

(三) 运作中的危害:如:

—设备功能的丧失或变坏;

—使用错误造成的危害

—维护不良和老化引起的危害

(四) 信息危害:如:

—标记不足或不正确;

—操作介绍有缺失;或过于复杂;

—警告不恰当;

—服务和维护规范不充分;

(对以上各项,根据注册产品实际情况判定列出)

六、对所判定的危害进行了哪些降低风险控制措施

为对所有危害,使其风险达到可接受的水平,一般依次采取如下的一种或多种方法

1、 通过设计取得固有安全性

2、 医疗器械本身或在生产过程中的防护措施;

3、 告知安全信息

申报方应根据所列出的危害,为风险降低到可接受的水平所采取的方法逐一列出。举例如下:

对“固有滤过不够”的辐照危害,采用:

1、医疗器械本身或在生产过程中的防护措施;

2、告知安全信息

两种方法使“固有滤过”达到安全标准要求。

七、对采取控制措施后的剩余风险进行估计和评价

申报方应将每个剩余风险进行估计,确认均达到可接受水平。评价方法至少采用YY/T0316-2008标准附录D给出的半定量分析法。即将每个风险危害的严重度、发生概率定性和半定量分级,如下表所示:

严重度定性分5级的示例表

通用术语

可能描述

灾难性的

导致患者死亡

危重的

导致永久性损伤或危及生命伤害

严重

导致要求专业医疗介入的伤害损伤

轻度

导致不要求专业医疗介入的暂时伤害损伤

可忽略

不便或暂时不适

半定量概率分级示例表

通用术语

概率范围示例

经常

≥10-3

有时

﹤10-3≥ 10-4

偶然

﹤10-4≥ 10-5

很少

﹤10-5≥ 10-6

非常少

﹤10-6

上表分5级(根据情况也可分别分为3或4级)。

制造商应对上述概率给出适宜的定义:如:“每次应用的损害概率”、

“每次曝光的损害概率”或“每使用小时的损害概率”。

为每个风险在二维风险图绘制风险位置点。

定性的严重度水平

可忽略

较小的

严重

危重的

灾难的

经常

N

N

N

N

N

有时

N

N

N

N

N

偶然

N

N

N

很少

N

N

非常少

应确保每个剩余风险均在可接受的区域内(上图空白格内)。

10 附录Ⅲ 变更部件检测标准一览表

X射线设备变更主要部件应检测的标准:

序号

更改部件

现判定结论应检测

1.

操作台

GB9706.1

2.

限束器

GB9706.1、GB9706.11、GB9706.12

3.

患者支撑装置(包括床、座椅、各种支架)

GB9706.1、GB9706.12、GB9706.14

4.

图像处理系统(包括主机)

GB9706.1

5.

电源柜

GB9706.1

6.

立柱(球管支撑、影像接收装置的支撑)

GB9706.1、GB9706.14

7.

探测器(包括平板探测器分辨率、芯片)

GB9706.1、GB9706.12

8.

主要部件结构变化

GB9706.1

9.

X射线管组件(包括管芯、管套)

GB9706.1、GB9706.11、GB9706.12

10.

增加配置(如:近台控制面板、无线遥控接收器)

GB9706.1

11.

监视器

GB9706.1

12.

影像增强器

GB9706.1

备注:

1、性能应重新检测

2、如果涉及系统,应增加GB9706.15的检测

11 附录Ⅳ  实质性等同比对报告包含的信息

具体操作时,实质性等同比对报告应包括以下信息:如不适用,应说明其原因:

一、 参照设备信息

1、设备名称/型号

2、生产厂家

3、上市时间

4、如果所选择的参照设备没有可进行测量试验的实物,可以采用其公开发布的技术参数,以及研究文献和临床应用文献中的数据和评价。

二、比对参数和功能列表

1、参数(功能)的定义

2、比对参数(或功能)临床意义

3、对比参数(或功能)选择的充分性

所选择的比对参数(或功能)能否满足临床应用的所有需求

三、设备实质性比

1、结构对比

l  整机结构对比

l  关键组件结构和原理对比

2、应用功能对比

3、操作方法对比

4、影像处理方法和管理功能对比

5、整机参数性能对比

投照覆盖特性,SID范围,成像野大小,照射野与成像野配准精度…

患者支撑系统体位变化等等

6、关键组件性能对比

X线发生器的最大功率、最高kV、最大mA、最短曝光时间……

球管参数如焦点、功率、等效滤过……

影像采集系统参数等

7、测试方法描述和说明

8、测试结果列表

测试结果可以采用药监局下属专业检测部门对该注册设备的检测报告中的数据

四、影像质量对比

1、成像方法

·  静态影像

·  动态影像透视及电影)

·  断层成像

2、成像对象

·  体模成像

·  真实人体成像(临床影像

3、影像显示载体

·  屏幕显示影像(数据载体

·  胶片显示影像

4、影像质量评价参数

·  成像条件(曝光参数-kV/mAs等,投照参数-SID/FOV等)

·  辐射剂量皮肤剂量和探测器入射剂量

·  可视动态范围

·  噪声/最小可分辨灰阶

·  空间分辨率(或MTF曲线)

·  余辉/拖尾(针对动态成像)

·  几何失真

·  成像均匀性等,

5、测量方法

请说明各参数的测量方法、使用模体、测试工具、和测量过程以及测量数据处理方法

可参照《数字化医用X射线摄影系统摄影影像质量要求及试验方法》进行。

6、影像质量评价方法

·  与参照设备影像进行对比评估

·  无参照设备影像,由资深影像专家对申请注册设备的影像进行评估

7、对于临床影像比对,请注明影像来源、采集参数、和放射科诊断医生对影像质量的评价。

8、采用数字影像分析方法进行评估,请注明所使用的影像分析软件软件名称、功能、开发者、版本)

9、采用主观目测评估,如对临床影像和体模影像主观评价,请注明试验方法和过程(如双盲试验,ROC曲线分析法等)。

五、性能差距说明

通过比对实验,对于注册设备与参照设备的性能区别与差距,请分别说明其对临床应用的影响,和对安全性的影响(可以采用文献证据进行说明)。

比如9寸视野数字影像设备与12寸或15寸视野设备在临床应用中存在差别和影响,包括影像质量、工作方式和工作效率、患者辐射剂量等方面的影响因素。

六、不同工作原理的关键器件说明

如果与参照设备所采用的关键元器件工作原理不同,如CCD与摄像管,平板探测器与影像增强器等,应就其技术性能和参数对临床应用的影响做专门的说明,可以采用国内外专业文献做证据。

七、对比设备的整机应用性能评价

1、参加比对实验者(应包括第三方临床使用人员)对设备功能性能主观评价,与参照设备的使用性能比较(最好为个人独立观点,分别描述,要有签字)

2、比对试验的参与者资料(姓名,工作单位,专业经历,负责的任务等)

12 附录Ⅴ  临床评价标准

一、临床影像评估:应采用临床诊断型显示器,并注明显示器型号与参数。

(一)影像质量评估等级分为

¨      清晰可见    解剖学结构的细节清晰可辨。

¨      可见    解剖学结构的细节可见,但不能清晰辨认。

¨      不可见      解剖学结构可大致显示,但细节未显示。

(二)临床试验部位应包括:

胸部、腹部、骨与软组织、胃肠道造影(适用于胃肠造影机)、腹部血管成像(适用于预期有DSA功能的设备、要求从严)

(三)各部位影像具体评估标准(可根据设备的预期用途选择)

¨      胸部

清晰可见

可见

不可见

肺野外带肺纹理

纵隔心脏后方肺纹理

心影后方脊柱

评价标准:肺野外带肺纹理必须清晰可见,纵隔心脏后方肺纹理应可见;心影后方脊柱应可见;即认为该部位符合临床诊断要求。

¨      腹部

清晰可见

可见

不可见

腰大肌

腹壁脂肪线

脊柱骨结构(显示范围内)

评价标准:上述3项均应达到可见;即认为该部位符合临床诊断要求。

¨      骨与软组织

清晰可见

可见

不可见

头正侧位(包括眼眶、岩骨、副鼻窦、茎突等):颅骨穹窿内、外板血管

腰椎:椎弓根;椎间关节

棘突和横突

腰椎:腰5下方终板,

骶1上方终板

腰椎:腰大肌

骨盆:骶髂关节

髋关节正位:股皮质、髓质分界;骨小梁结构

臀大中小肌间隙

评价标准:上述各项应达到清晰可见(臀大中小肌间隙允许可见);即认为该部位符合临床诊断要求。

¨      胃肠造影(如适用)

影像評估

清晰可见

可见

不可见

透视 (参照平片标准)

摄片

食道

小肠

钡灌肠

¨       DSA

清晰程度

减影效果

伪影

腹主动脉

动脉

动脉

髂总动脉

清晰

模糊

很模糊

透视

清晰程度:最大视野时5级以下分支⑴清晰可见、⑵模糊可见、⑶不可见

减影效果:⑴配准良好、⑵配准较差,不影响诊断、⑶配准差,影响诊断

伪影(图像不均匀性,曝光条件变化,投照变化,运动等产生伪影的):⑴无、⑵少量,不影响诊断、⑶较多,影响诊断

透视:⑴清晰,可分辨导丝、腰椎骨小梁,⑵模糊,可分辨导丝,但不能分辨腰椎骨小梁,⑶很模糊,不能分辨导丝

评价标准:上述条件均达到第一级或其中一项达到第二级为符合临床要求

(四)机器功能评估

满意

一般

不满意

功能评估

手动(自动)曝光功能

束线器、压迫组件

床体移动、负倾功能

图像后处理(包括测量功能

话筒语音交流功能

控制手柄、脚闸

图像存储、传输、管理

注:如带有DSA功能的,还应增加:影像增强器尺寸影像增强器视野、采集速率、脉冲透视速率、管球位置、有无C形臂等

如果进行血管造影检查,还应提供设备的长时间透视和序列曝光能力,除了kV和mA外,最大透视功率,球管散热能力,最大连续脉冲曝光时间,阳极热容量等,并提供这些参数对保障介入检查安全性证据。

二、机器使用便捷性评估

(一)患者常见投照体位摆放难易程度评估:满意、一般、不满意

(二)后处理软件临床使用评估

界面友好性

测量准确性

操作便捷性

满意

一般

不满意

三、整机功能稳定评估

(一)整机系统稳定,实验过程中无不可恢复的(不影响受试者检查)错误发生;球管透视照相曝光正常,可24小时正常开机。

(二)可实现放射诊断各常见解剖部位X线摄片检查;胃肠机需能完成全消化道各不同体位造影检查

(三)整机设备便于安装,并对病人与医务人员不存在不可接受的风险

稳定

功能

无安全隐患

满意

一般

不满意

13 医用X射线诊断设备(第三类)产品注册技术审查指导原则编制说明

13.1 一、指导原则编写的目的和依据

本指导原则意图针对目前医疗器械注册申报数量大、问题多的医用X射线诊断设备的注册申报进行规范,为申请人/制造商申请医用X射线诊断设备上市许可提供建议的详细信息

本指导原则以现行的SFDA相关法规、国家标准/行业标准为基础,参考了相关的国际标准、国外法规以及技术指导文件。

13.2 二、指导原则有关内容的说明

本指导原则列出的问题是那些我们认为在准备注册资料时需要说明的问题。

(一)产品的技术资料部分,意图对申报资料中应提供的产品信息提出要求。

(二)本指导原则对软件提出了要求。对于选择配置增强功能软件,如软件功能在试验室无法验证制造商应提供相关证据作为申报支持材料。

(三)结合医用X射线诊断设备的产品特点,考虑了要符合注册检测要求可能给制造商造成的负担,本指导原则引入了差异检测的内容。

(四)免除临床试验的情形,制造商应形成临床评价报告文件,作为支持器械上市的临床证据,同时应满足注册管理办法中对临床的相应要求。

(五)本指导原则中包含了临床试验方法的实例,技术审评中心认为通过这些方法可以为上市申请提供科学有效的支持性证据,但不应看作是硬性要求。制造商可建立自己的假设,计算样本量,并应当说明其合理性。

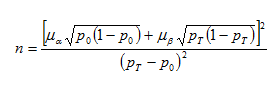
本文使用的样本量计算公式为:

   ,其中:

pT预期影像质量的临床诊断要求符合率,p0影像质量的临床诊断要求符合率至少要达到的临床标准,μαμβ分别为统计检验显著性水平和把握度对应的正态分布分位数。

13.3 三、指导原则编写单位

本指导原则的编写成员由医疗器械注册技术审评人员、医疗器械质量监督检验所专家、临床放射科专家、临床统计学专家、工程专家共同组成。

编辑:banlang 审核:sun
特别提示:本站内容仅供初步参考,难免存在疏漏、错误等情况,请您核实后再引用。对于用药、诊疗等医学专业内容,建议您直接咨询医生,以免错误用药或延误病情,本站内容不构成对您的任何建议、指导。