3 盐酸克林霉素棕榈酸酯药典标准
3.1 品名
3.1.1 中文名
3.1.2 汉语拼音
Yansuan kelinmeisu Zonglüsuanzhi
3.1.3 英文名
Clindamycin Palmitate Hydrochloride
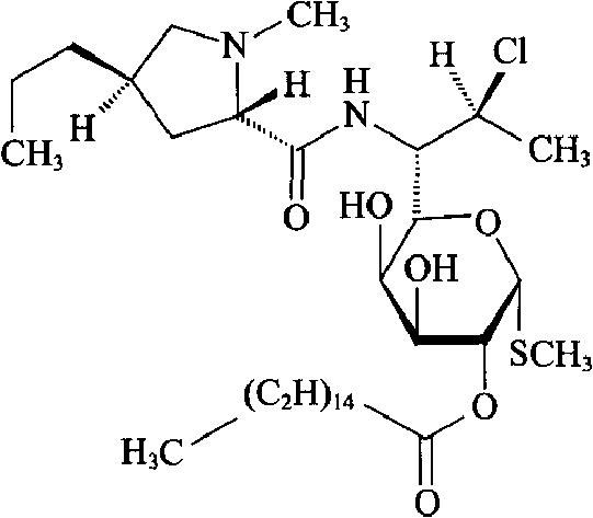
3.2 结构式

3.3 分子式与分子量
C34H63ClN2O6S·HCl 699.85
3.4 来源(名称)、含量(效价)
本品为甲基-7-氯-6,7,8-三脱氧-6-(1-甲基-反-4-丙基-L-2-吡咯烷甲酰氨基)-1-硫代-L-苏式-α-D-半乳辛吡喃糖甲苷-2-棕榈酸酯盐酸盐。按无水物计算,含克林霉素(C18H33ClN2O5S)不得少于55.0%。
3.5 性状
本品为白色或类白色粉末。
3.6 鉴别
(1)在含量测定项下记录的色谱图中,供试品溶液主峰的保留时间应与对照品溶液主峰的保留时间一致。
(2)本品的红外光吸收图谱应与对照品的图谱一致(2010年版药典二部附录Ⅳ C)。
(3)本品的水溶液显氯化物的鉴别反应(2010年版药典二部附录Ⅲ)。
3.7 检查
3.7.1 酸度
取本品,加水溶解并稀释制成每1ml中约含10mg的溶液,依法测定(2010年版药典二部附录Ⅵ H),pH值应为2.8~3.8。
3.7.2 有关物质
取本品适量,加甲醇溶解并稀释制成每1ml中约含10mg的溶液,作为供试品溶液;精密量取适量,用甲醇定量稀释制成每1ml中约含0.2mg的溶液,作为对照溶液。照高效液相色谱法(2010年版药典二部附录Ⅴ D)测定,用辛烷基硅烷键合硅胶为填充剂;流动相A为0.005mol/L醋酸铵溶液-乙腈(50:50),流动相B为乙腈,按下表进行线性梯度洗脱;检测波长为230nm。取克林霉素棕榈酸酯对照品适量,加甲醇溶解并稀释制成每1ml中约含20mg的溶液,取20μl注入液相色谱仪,记录色谱图,克林霉素棕榈酸酯峰的保留时间约为32分钟,克林霉素棕榈酸酯峰与克林霉素B棕榈酸酯峰(相对保留时间约为0.96)间的分离度应不小于3.0。取对照溶液20μl,注入液相色谱仪,调节检测灵敏度,使主成分色谱峰的峰高约为满量程的20%,再精密量取供试品溶液和对照溶液各20μl,分别注入液相色谱仪,记录色谱图。供试品溶液色谱图中如有杂质峰,单个杂质峰面积不得大于对照溶液主峰面积(2.0%),各杂质峰面积的和不得大于对照溶液主峰面积的3.5倍(7.0%)。供试品溶液色谱图中任何小于对照溶液主峰面积0.05倍的峰忽略不计。
| 时间(分钟) | 流动相A(%) | 流动相B(%) |
| 0 | 100 | 0 |
| 30 | 0 | 100 |
| 80 | 0 | 100 |
| 81 | 100 | 0 |
| 90 | 100 | 0 |
3.7.3 残留溶剂
3.7.3.1 乙醇、乙酸乙酯、丙酮、乙腈、二氯甲烷与三氯甲烷
取本品约0.4g,精密称定,置顶空瓶中,精密加入二甲基甲酰胺-水(1:4)5ml使溶解,密封,作为供试品溶液;另精密称取乙醇、乙酸乙酯、丙酮、乙腈、二氯甲烷与三氯甲烷各适量,用二甲基甲酰胺-水(1:4)定量稀释制成每1ml中分别含乙醇约0.2mg、乙酸乙酯约0.2mg、丙酮约0.2mg、乙腈约33μg、二氯甲烷约48μg和三氯甲烷约5μg的混合溶液,精密量取5ml,置顶空瓶中,密封,作为对照品溶液。照残留溶剂测定法(2010年版药典二部附录Ⅷ P 第二法)测定,以6%氰丙基苯基-94%二甲基聚硅氧烷为固定液(或极性相近)的毛细管柱为色谱柱,起始温度60℃,维持10分钟,再以每分钟20℃的速率升温至180℃,维持2分钟;进样口温度为200℃;检测器温度为250℃;顶空瓶平衡温度为90℃,平衡时间为30分钟。取对照品溶液顶空进样,各成分峰间的分离度均应符合要求。取供试品溶液与对照品溶液分别顶空进样,记录色谱图,按外标法以峰面积计算,均应符合规定。
3.7.3.2 甲苯、吡啶与二甲基甲酰胺
取本品适量,精密称定,加二氯甲烷制成每1ml中约含50mg的溶液,作为供试品溶液;另精密称取甲苯、吡啶与二甲基甲酰胺各适量,加二氯甲烷溶解并定量稀释制成每1ml中分别含甲苯约45μg、吡啶约10μg与二甲基甲酰胺约44μg的溶液,作为对照品溶液。照残留溶剂测定法(2010年版药典二部附录Ⅷ P 第三法)测定,以6%氰丙基苯基-94%二甲基聚硅氧烷为固定液(或极性相近)的毛细管柱为色谱柱,温度为90℃,进样口温度为200℃,检测器温度为250℃。取对照品溶液适量注入气相色谱仪,记录色谱图,各成分峰间的分离度均应符合要求。精密量取供试品溶液与对照品溶液各适量,分别注入气相色谱仪,记录色谱图。按外标法以峰面积计算,均应符合规定。
3.7.4 水分
取本品,照水分测定法(2010年版药典二部附录Ⅷ M 第一法 A)测定,含水分不得过3.0%。
3.7.5 炽灼残渣
取本品1.0g,依法检查(2010年版药典二部附录Ⅷ N),遗留残渣不得过0.5%。
3.8 含量测定
照高效液相色谱法(2010年版药典二部附录Ⅴ D)测定。
3.8.1 色谱条件与系统适用性试验
用十八烷基硅烷键合硅胶为填充剂;以醋酸铵溶液(取醋酸铵3.85g,加5%醋酸溶液溶解并稀释至100ml)-0.21%丁二酸二辛酯磺酸钠甲醇溶液(4:96)为流动相;检测器为示差折光检测器。取克林霉素棕榈酸酯对照品溶液20μl,注入液相色谱仪,记录色谱图,克林霉素棕榈酸酯峰的保留时间约为15分钟,克林霉素棕榈酸酯峰与克林霉素B棕榈酸酯峰(相对保留时间约为0.90)间的分离度应不小于2.0。
3.8.2 测定法
取本品适量,精密称定,加流动相溶解并定量稀释制成每1ml中约含18mg的溶液,精密量取20μl注入液相色谱仪,记录色谱图;另取克林霉素棕榈酸酯对照品适量,同法测定。按外标法以峰面积计算供试品中C18H33ClN2O5S的含量。
3.9 类别
抗生素类药。
3.10 贮藏
3.11 制剂
(1)盐酸克林霉素棕榈酸酯干混悬剂 (2)盐酸克林霉素棕榈酸酯分散片 (3)盐酸克林霉素棕榈酸酯颗粒
3.12 版本
《中华人民共和国药典》2010年版 第二增补本
4 盐酸克林霉素棕榈酸酯介绍
4.1 成分
4.2 盐酸克林霉素棕榈酸酯的适应症
敏感的革兰氏阳性菌引起的扁桃体炎、化脓性中耳炎、鼻窦炎;急性支气管炎、慢性支气管炎急性发作、肺炎、肺脓肿和支气管扩张合并感染;皮肤和软组织感染:疖、痈、脓肿、蜂窝组织炎、创伤、烧伤和手术后感染;泌尿系统感染:急性尿道炎、急性肾盂肾炎、前列腺炎;骨髓炎、败血症、腹膜炎和口腔感染。厌氧菌引起的脓胸、肺脓肿、厌氧菌必肺炎;皮肤和软组织感染、败血症;腹内感染:腹膜炎、腹腔内脓肿;女性盆腔及生殖器感染;子宫内膜炎、非淋球菌性输卵管及卵巢脓肿、盆腔蜂窝组织炎及妇科手术后感染。
4.3 盐酸克林霉素棕榈酸酯的用量用法
成人150-300mg qid。重症感染 450 mg qid,儿童8-16 mg/kg体重/日,分3-4次服用。重症感染17-25mg/kg体重/日,分3-4次服用。
4.4 盐酸克林霉素棕榈酸酯的禁忌
对林可霉素类过敏者。
4.5 盐酸克林霉素棕榈酸酯的不良反应
偶见恶心、呕吐、腹痛及腹泻。少数病人可出现药物性皮疹。偶可引起一过性中性粒细胞减少、嗜酸性粒细胞增多、血小板减少。少数病人可发生一过性碱性磷酸酶、血清转氨酶轻度升高及黄疸。极少数病人可发生伪膜性结膜炎。
4.6 注意事项
肝功能损害、严重肾功能损害患者、孕妇及哺乳期妇女、未足月婴儿慎用。有胃肠疾病史,特别是溃疡性结肠炎、局限性肠炎或抗生素伴随性肠炎的患者应慎用。
4.7 药物相互作用
与神经肌肉阻断剂、中枢性麻醉剂、阿片类具呼吸抑制作用的镇痛药合用,可使神经肌肉阻断现象和呼吸抑制现象加强;与抗肌松药合用可使抗肌松作用减弱。勿与氯毒素和红霉素合用。与庆大霉素、粘菌素合用可能使本药的抗菌作用增强。
4.8 规格
颗粒剂 37.5mgx 12袋。900 mg x 1瓶。