2 英文参考
doxycycline hydrochloride[湘雅医学专业词典]
3 盐酸多西环素药典标准
3.1 品名
3.1.1 中文名
3.1.2 汉语拼音
Yansuan Duoxihuansu
3.1.3 英文名
Doxycycline Hyclate
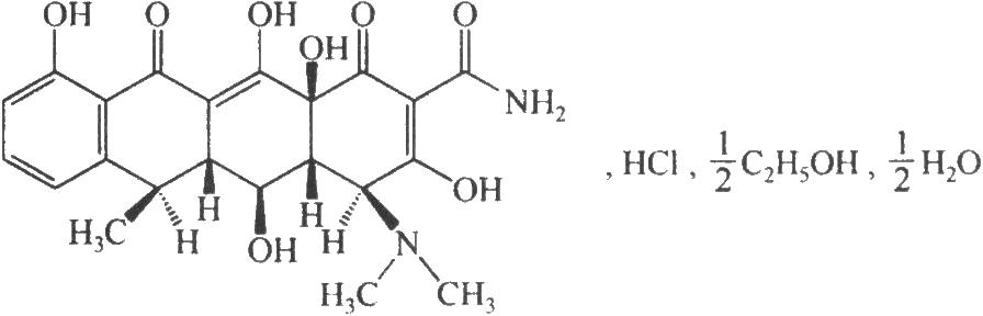
3.2 结构式

3.3 分子式与分子量
C22H24N2O8·HCl·0.5C2H5OH·0.5H2O 512.93
3.4 来源(名称)、含量(效价)
本品为6-甲基-4-(二甲氨基)-3,5,10,12,12a-五羟基,1,11-二氧代-1,4,4a,5,5a,6,11,12a-八氢-2-并四苯甲酰胺盐酸盐半乙醇半水合物。按无水与无乙醇物计算,含多西环素(C22H24N2O8)应为88.0%~94.0%。
3.5 性状
本品为淡黄色至黄色结晶性粉末;无臭,味苦。
本品在水或甲醇中易溶,在乙醇或丙酮中微溶,在三氯甲烷中几乎不溶。
3.5.1 比旋度
取本品,精密称定,加盐酸溶液(9→100)的甲醇溶液(1→100)溶解并定量稀释制成每1ml中约含10mg的溶液,在25℃时,依法测定(2010年版药典二部附录Ⅵ E),按无水与无醇物计算,比旋度为-105°至-120°。
3.6 鉴别
(1)在含量测定项下记录的色谱图中,供试品溶液主峰的保留时间应与对照品溶液主峰的保留时间一致。
(2)取本品适量,加甲醇溶解并稀释制成每1ml中含20μg的溶液,照紫外-可见分光光度法(2010年版药典二部附录Ⅳ A)测定,在269nm和354nm的波长处有最大吸收,在234nm和296nm的波长处有最小吸收。
(3)本品的红外光吸收图谱应与对照的图谱(《药品红外光谱集》386图)一致。
(4)本品的水溶液显氯化物的鉴别反应(2010年版药典二部附录Ⅲ)。
3.7 检查
3.7.1 酸度
取本品,加水制成每1ml中含10mg的溶液,依法测定(2010年版药典二部附录Ⅵ H),pH值应为2.0~3.0。
3.7.2 有关物质
取本品,加0.01mol/L盐酸溶液溶解并稀释制成每1ml中含多西环素0.2mg的溶液,作为供试品溶液;精密量取适量,用0.01mol/L盐酸溶液定量稀释制成每1ml中含多西环素4μg的溶液,作为对照溶液。照含量测定项下的色谱条件,取对照溶液20μl注入液相色谱仪,调节检测灵敏度,使主成分色谱峰的峰高约为满量程的20%,精密量取供试品溶液与对照溶液各20μl,分别注入液相色谱仪,记录色谱图至主成分峰保留时间的2倍。供试品溶液色谱图中如有杂质峰,美他环素与β-多西环素峰面积分别不得大于对照溶液主峰面积(2.0%),其他单个杂质峰面积不得大于对照溶液主峰面积的0.5倍(1.0%),各杂质峰面积之和不得大于对照溶液主峰面积的2倍(4.0%)。
3.7.3 杂质吸光度
取本品,精密称定,加盐酸溶液(9→100)的甲醇溶液(1→100)溶解并定量稀释制成每1ml中含10mg的溶液,照紫外-可见分光光度法(2010年版药典二部附录Ⅳ A),在490nm波长处测定,吸光度不得过0.12。
3.7.4 乙醇
取本品约1.0g,精密称定,置10ml量瓶中,加内标溶液(0.5%正丙醇溶液)溶解并稀释至刻度,摇匀,作为供试品溶液;精密称取无水乙醇约0.5g,置100ml量瓶中,加上述内标溶液稀释至刻度,摇匀,作为对照品溶液。照气相色谱法(2010年版药典二部附录Ⅴ E),用二乙烯基-乙基乙烯苯型高分子多孔小球作为固定相,柱温为135℃;进样口温度与检测器温度均为150℃。乙醇峰与内标物质正丙醇峰的分离度应符合要求。精密量取供试品溶液与对照品溶液各2μl,分别注入气相色谱仪,记录色谱图,按内标法以峰面积比值计算,含乙醇的量应为4.3%~6.0%。
3.7.5 水分
取本品,照水分测定法(2010年版药典二部附录Ⅷ M第一法 A)测定,含水分应为1.5%~3.0%。
3.7.6 炽灼残渣
取本品1g,依法检查(2010年版药典二部附录Ⅷ N),遗留残渣不得过0.2%。
3.7.7 重金属
取炽灼残渣项下遗留的残渣,依法检查(2010年版药典二部附录Ⅷ H第二法),含重金属不得过百万分之二十。
3.8 含量测定
照高效液相色谱法(2010年版药典二部附录Ⅴ D)测定。
3.8.1 色谱条件与系统适用性试验
用十八烷基硅烷键合硅胶为填充剂(pH值适用范围应大于9);以醋酸盐缓冲液(0.25mol/L醋酸铵-0.1mol/L乙二胺四醋酸二钠-三乙胺(100:10:1),用冰醋酸或氨水调节pH值至8.8]-乙腈(85:15)为流动相;柱温为35℃;检测波长为280nm。称取土霉素对照品、美他环素对照品、β-多西环素对照品及多西环索对照品适量,加0.01mol/L盐酸溶液溶解并稀释制成每1ml中分别约含土霉素、美他环索、β-多西环素0.1mg与多西环素0.2mg的混合溶液,取20μl注入液相色谱仪,记录色谱图,多西环素峰与β-多西环素峰的分离度应大于4.0,多西环素峰与后相邻峰的分离度应符合要求。
3.8.2 测定法
取本品适量,精密称定,加0.01mol/L盐酸溶液溶解并定量稀释制成每1ml中含多西环素0.1mg的溶液,精密量取20μl注入液相色谱仪,记录色谱图;另取多西环素对照品适量,同法测定。按外标法以峰面积计算供试品中C22H24N2O8的含量。
3.9 类别
3.10 贮藏
3.11 制剂
3.12 版本
《中华人民共和国药典》2010年版
4 盐酸多西环素介绍
4.1 别名
长效土霉素;多西环素;强力霉素;去氧土霉素;伟霸霉素薄膜片;盐酸多西霉素 ,盐酸多西环素
4.2 外文名
Doxycycline ,Doxitard, Gibidox, Liomycin
4.3 盐酸多西环素的药理作用
抗菌谱与四环素、土霉素基本相同,体内、外抗菌力均较四环素为强。微生物对盐酸多西环素与四环素、土霉素等有密切的交叉耐药性。口服吸收良好。主要用于敏感的革兰阳性菌和革兰阴性杆菌所致的上呼吸道感染、扁条体炎、胆道感染、淋巴结炎、蜂窝组炎、老年慢性支气管炎等,也用于治疗斑疹伤寒、羌虫病、支原体肺炎等。尚可用于治疗霍乱,也可用于预防恶性疟疾和钩端螺旋体感染。
4.4 盐酸多西环素的适应症
主要用于敏感的革兰阳性球菌和革兰阴性桿菌所致的上呼吸道感染、扁桃体炎、胆道感染、淋巴结炎、蜂窝组织炎、老年慢性支气管炎等,也用于斑疹伤寒、恙虫病、支原体肺炎等。尚可用于治疗霍乱,也可用于预防恶性疟疾和勾端螺旋体感染。
4.5 盐酸多西环素的用量用法
口服:1次0.1g,1日2次。必要时首剂可加倍。8岁以上儿童:首剂每千克体重4mg;以后,每次每千克体重2mg,1日2次。一般疗程为3~7日。预防恶性疟:每周0.1g;预防勾端螺旋体病:每周2次,每次0.1g。
4.6 注意事项
1.胃肠道反应多见(约20%),如恶心、呕吐、腹泻等,饭后服药可减轻。
3.用法应为1日2次,如每日应用0.1g1次,不足以维持有效血药浓度。
4.在肝、肾功能轻度不全者,本药的半衰期与在正常者无显著区别,但对肝、肾功能重度不全者则应注意慎用。
5.对8岁以下小儿及孕妇、哺乳妇女一般应禁用。
4.7 规格
片剂:每片0.1g。