3 磷酸氯喹药典标准
3.1 品名
3.1.1 中文名
3.1.2 汉语拼音
Linsuan Lükui
3.1.3 英文名
Chloroquine Phosphate
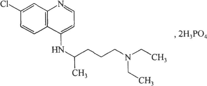
3.2 结构式

3.3 分子式与分子量
C18H26ClN3·2H3PO4 515.87
3.4 来源(名称)、含量(效价)
本品为N',N'-二乙基-N4-(7-氯-4-喹啉基)-1,4-戊二胺二磷酸盐。按干燥品计算,含C18H26ClN3·2H3PO4不得少于98.0%。
3.5 性状
本品为白色结晶性粉末;无臭,味苦;遇光渐变色;水溶液显酸性反应。
3.5.1 熔点
本品的熔点(2010年版药典二部附录Ⅵ C)为193~196℃,熔融时同时分解。
3.6 鉴别
(1)取本品,加0.01mol/L盐酸溶液制成每1ml中约含10μg的溶液,照紫外-可见分光光度法(2010年版药典二部附录Ⅳ A)测定,在222nm、257nm、329nm与343nm的波长处有最大吸收。
(2)取本品约0.5g,置分液漏斗中,加水25ml溶解后,加氢氧化钠试液5ml、乙醚50ml振摇提取,醚层用水洗涤后通过置有无水硫酸钠的漏斗滤过,滤液置水浴上蒸干,残渣用五氧化二磷为干燥剂减压干燥至析出结晶,其红外光吸收图谱应与氯喹的对照图谱(《药品红外光谱集》672图)一致。
(3)本品的水溶液显磷酸盐的鉴别反应(2010年版药典二部附录Ⅲ)。
3.7 检查
3.7.1 酸度
取本品1.0g,加水10ml溶解后,依法测定(2010年版药典二部附录Ⅵ H),pH值应为3.5~4.5。
3.7.2 溶液的澄清度
取本品1.0g,加水10ml,溶解后,溶液应澄清;如显浑浊,与2号浊度标准液(2010年版药典二部附录Ⅸ B)比较,不得更浓。
3.7.3 有关物质
取本品,用水制成每1ml中含50mg的溶液,作为供试品溶液;精密量取适量,用水分别稀释制成每1ml中含0.5mg、0.25mg和0.125mg的溶液作为对照溶液(1)、(2)和(3)。照薄层色谱法(2010年版药典二部附录Ⅴ B)试验,吸取上述四种溶液各2μl,分别点于同一硅胶GF254薄层板上,以三氯甲烷-环己烷-二乙胺(5:4:1)为展开剂,展开,晾干,置紫外灯(254nm)下检视。对照溶液(3)应显一个明显斑点,供试品溶液如显杂质斑点,深于对照溶液(2)所显主斑点颜色且浅于对照溶液(1)所显主斑点颜色的杂质斑点不得多于1个,其他杂质斑点不得深于对照溶液(2)所显主斑点的颜色。
3.7.4 干燥失重
取本品,在120℃干燥至恒重,减失重量不得过3.0%(2010年版药典二部附录Ⅷ L)。
3.7.5 重金属
取本品1.0g,置石英坩埚中,加硫酸1ml使湿润,缓缓炽灼至硫酸蒸气除尽后,加硝酸0.5ml,继续炽灼至氧化氮蒸气除尽后,在500~600℃炽灼使完全灰化,放冷,依法检查(2010年版药典二部附录Ⅷ H第二法),含重金属不得过百万分之二十。
3.7.6 砷盐
取本品0.40g,加氢氧化钙1.0g,混合,加水少量,搅拌均匀,干燥后,先用小火烧灼使炭化,再在500~600℃炽灼使完全灰化,放冷,加盐酸5ml与水23ml使溶解,依法检查(2010年版药典二部附录Ⅷ J第一法),应符合规定(0.0005%)。
3.8 含量测定
取本品约0.2g,精密称定,加冰醋酸20ml溶解后,加结晶紫指示液1滴,用高氯酸滴定液(0.1mol/L)滴定至溶液显绿色,并将滴定的结果用空白试验校正。每1ml高氯酸滴定液(0.1mol/L)相当于25.79mg的C18H26ClN3·2H3PO4。
3.9 类别
3.10 贮藏
3.11 制剂
3.12 版本
《中华人民共和国药典》2010年版
4 磷酸氯喹介绍
4.1 别名
4.2 磷酸氯喹的适应症
磷酸氯喹对红细胞内期裂殖体具有强大的杀灭作用,能迅速控制临床症状。对红细胞外期无效,必须合用伯氨奎琳以根治良性疟(良性疟有红细胞外期)。恶性疟无红细胞外期,故可根治恶性疟,但其配子体可生长较长时间,故恶性疟也需加用伯氨喹琳,以消灭配子体,杜绝传播。磷酸氯喹对红细胞前期无效,故不宜作病因性预防。此外,磷酸氯喹尚有抗阿米巴病、抗肺吸虫病及华支睾吸虫病、抗利什曼病和驱除条虫、囊虫以及奎尼丁样作用等。据报道,磷酸氯喹对光敏性疾病也有良效。磷酸氯喹尚有免疫抑制作用,能抑制淋巴细胞转化,降低血循环中T细胞数,使免疫复合物形成受阻,并能稳定溶酶体膜和阻止前列腺素的合成,可用于类风湿性关节炎、红斑性狼疮、结节性动脉周围炎、皮肌炎、硬皮病、慢性肾炎等,但显效慢,需服用数月始见效。磷酸氯喹也用于慢性支气管炎的抗复发治疗。无堕胎作用,可用于孕妇。
4.3 磷酸氯喹的用量用法
1.控制疟疾临床症状:每日服1g,第2、3日各服0.5g。肌注或静滴:129~258mg/次,1次/日。静滴时用5%葡萄糖液稀释后缓滴。
2.预防疟疾:0.5g/次,1次/周。
4.治疗阿米巴肝炎或肝脓肿:第1、2日0.5g/次,2次/日,以后每日0.5g,连用2~3周。
5.治疗肺吸虫病和华支睾吸虫病:0.25g/次,3次/日,连服2~3个月。
6.治疗心律不齐:开始每日服1g,维持量为0.25~1g/日,分1~2次服用。
7.治疗胶原病:开始服0.25g/次,1~2次/日,症状控制后,0.125g/次,2~3次/日,长期维持。
8.治疗慢性支气管炎:口服0.25g/次,1~2次/日,连服2个月后改为隔日2次,再连服半年。
9.治疗脂溢性皮炎:0.25g/次,2次/日,待皮损恢复后减半量维持,10~15日痊愈率达100%。
4.4 注意事项
口服常有恶心、呕吐等,偶有头痛、头晕、瘙痒、皮疹、剥脱性皮炎、脱发、耳鸣、烦躁等;大剂量可有肝功能异常、视力模糊、复视、视野缩小等;可引起白细胞减少、心肌损害、窦房结抑制、心律失常等,严重者可引起阿斯综合征,可使心跳停搏、血压骤降而导致死亡。故目前临床上多不主张氯奎肌注或静推,以免发生事故,禁与心肌抑制药如奎宁、奎尼丁等并用,可引起中毒性肝炎。严重肝病患者可用氨酚奎琳。心动过缓、传导阻滞患者忌用。