3 磷酸伯氨喹药典标准
3.1 品名
3.1.1 中文名
3.1.2 汉语拼音
Linsuan Bo'ankui
3.1.3 英文名
Primaquine Phosphate
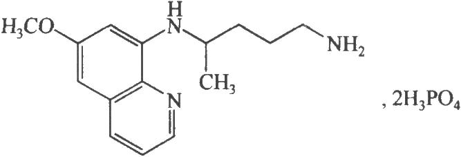
3.2 结构式

3.3 分子式与分子量
C15H21N3O·2H3PO4 455.34
3.4 来源(名称)、含量(效价)
本品为(±)-N4-(6-甲氧基-8-喹啉基)-1,4-戊二胺二磷酸盐。按干燥品计算,含C15H21N3O·2H3PO4应为97.0%~102.0%。[1]
3.5 性状
(根据《中华人民共和国药典》(2010年版 第三增补本)删除原 熔点 项[1])。
3.6 鉴别
(1)取本品,加0.01mol/L盐酸溶液溶解并定量稀释制成每1ml中约含15μg的溶液,照紫外-可见分光光度法(2010年版药典二部附录Ⅳ A)测定,在265nm和282nm的波长处有最大吸收,吸收系数(
)分别为335~350和327~340。
(2)取本品约0.1g,加水5ml使溶解,置分液漏斗中,加2mol/L氨溶液2ml,摇匀,加二氯甲烷5ml,振摇,静置,取二氯甲烷层经铺有无水硫酸钠0.5g的滤层滤过,取滤液适量,滴于溴化钾晶片上,置红外光灯下干燥,照红外分光光度法(中国药典2010年版二部附录Ⅳ C)测定,本品的红外光吸收图谱应与同法处理的磷酸伯氨喹对照品的图谱一致。
(3)取本品50mg,加水5ml使溶解,加8.5%氢氧化钠溶液2ml,用二氯甲烷提取二次,每次5ml,取水层用硝酸酸化,取1ml,加钼钒酸铵试液(取钼酸铵4g,偏钒酸铵0.lg,加水70ml,超声使溶解,加硝酸20ml,用水稀释至100ml) 2ml,溶液变黄色。[1]
3.7 检查
3.7.1 酸度
取本品0.50g,加水50ml溶解后,依法测定(2010年版药典二部附录Ⅵ H),pH值应为2.5~3.5。
3.7.2 有关物质
取本品适量,加流动相溶解并稀释制成每1ml中含0.4mg的溶液,作为供试品溶液;精密量取适量,用流动相定量稀释制成每1ml中含2μg的溶液,作为对照溶液。照含量测定项下的色谱条件,取对照溶液10μl注入液相色谱仪,调节检测灵敏度,使主成分峰的峰高约为满量程的25%。再精密量取供试品溶液和对照溶液各10μl,分别注入液相色谱仪,记录色谱图至主成分峰保留时间的3倍。供试品溶液色谱图中如有杂质峰,在相对保留时间为0. 29处的杂质峰面积不得大于对照溶液主峰面积的1.2倍(0.6%),喹西特峰(相对保留时间为0.8)的峰面积不得大于对照溶液主峰面积的4倍(2.0%),在相对保留时间为1.8处的杂质峰面积不得大于对照溶液主峰面积(0.5%),其他单个杂质峰面积不得大于对照溶液主峰面积0.4倍(0.2%),各杂质峰面积之和不得大于对照溶液主峰面积的6倍(3.0%)。[1]
3.7.3 残留溶剂
3.7.3.1 甲醇、乙醇与甲苯
取本品约0.2g,精密称定,置顶空瓶中,精密加水5ml,密封,振摇使溶解,作为供试品溶液;取甲醇60mg、乙醇100mg和甲苯17.8mg,精密称定,置同一含有二甲基甲酰胺1ml和适量水的100ml量瓶中,摇匀,用水稀释至刻度,摇匀,精密量取10ml,置50ml量瓶中,用水稀释至刻度,摇匀,精密量取5ml置顶空瓶中,密封,作为对照品溶液。[1]照残留溶剂测定法(2010年版药典二部附录Ⅷ P第二法)试验,用6%氰丙基苯基-94%二甲基聚硅氧烷(或极性相近)为固定液的毛细管柱;起始温度为40℃,维持10分钟,以每分钟10℃的速率升温至200℃,维持4分钟;进样口温度为250℃,检测器温度为300℃;顶空瓶平衡温度为85℃,平衡时间为45分钟,进样针温度为100℃,传输线温度为110℃。取对照品溶液顶空进样,各组分峰之间的分离度应符合要求[1]。再取供试品溶液与对照品溶液分别顶空进样,记录色谱图。按外标法以峰面积计算,均应符合规定。
3.7.4 干燥失重
取本品,在105℃干燥至恒重,减失重量不得过0.5%(2010年版药典二部附录Ⅷ L)。
3.8 含量测定
照高效液相色谱法(2010年版药典二部附录Ⅴ D)测定。
3.8.1 色谱条件与系统适用性试验
用辛烷基硅烷键合硅胶为填充剂(推荐色谱柱为:Inertsil,4.6mm×75mm,3μm或效能相当的色谱柱);以水-乙腈-四氢呋喃-三氟乙酸(90:9:1:0.1)为流动相;流速为每分钟1.5ml;检测波长为265nm。取磷酸伯氨喹对照品和喹西特对照品各适量,加流动相溶解并稀释制成每1ml中分别约含0.26mg和5μg的混合溶液,取10μl注入液相色谱仪,记录色谱图。磷酸伯氨喹峰的保留时间约为12.5分钟,喹西特峰的相对保留时间约为0.8;喹西特峰与磷酸伯氨喹峰的分离度应大于2.5,理论板数按磷酸伯氨喹峰计算不低于3000。
3.8.2 测定法
取本品适量,精密称定,加流动相溶解并定量稀释制成每1ml中含0.26mg的溶液,精密量取10μl,注入液相色谱仪,记录色谱图;另取磷酸伯氨喹对照品,同法测定,按外标法以峰面积计算,即得。[1]
3.9 类别
抗疟药。
3.10 贮藏
3.11 制剂
3.12 附
3.12.1 喹西特
8-[(4-Aminopentyl) amino]-6-methoxyquinoline

C15H21N3O 259.35[1]
3.13 版本
《中华人民共和国药典》2010年版
4 磷酸伯氨喹介绍
4.1 别名
伯氨喹;磷酸伯喹 ,伯喹,伯氨喹啉,磷酸匹马喹啉,磷酸伯氨喹啉,磷酸伯氨喹
4.2 外文名
Primaquine , Primaquine Phosphate
4.3 磷酸伯氨喹的适应症
为阻止疟疾复发、中断传播的有效药物。现主要用于根治间日疟和控制疟疾传播,常与氯喹或乙胺嘧啶合用。对恶性疟红细胞内期则完全无效,不能作为控制症状的药物应用。对某些疟原虫的红细胞前期也有影响,但因需用剂量较大,已接近极量,不够安全,故也不能作为病因预防药应用。
4.4 磷酸伯氨喹的用量用法
1.根治间日疟:每日口服26.4mg(盐基15mg),连服14日;或每日服39.6mg,连服8日。服此药前3日同服氯奎,或在第1、2日同服乙胺嘧啶。
2.控制疟疾传播配合氯喹等治恶性疟时,每日服26.4mg,连服3日。
4.5 注意事项
1.磷酸伯氨喹口服后吸收迅速但消失也快,作用时间不持久,故必须每日给药。
2.毒性比其他抗疟药大。每日剂量超过52.8mg时,易发生疲乏、头昏、恶心、呕吐、腹痛、发绀、药热等症状,停药后可自行恢复。
3.少数特异质者可发生急性溶血性贫血(因其红细胞缺乏葡萄糖6-磷酸脱氢酶应即停药,给予地噻米松或泼尼松可缓解,并静滴5%葡萄糖氯化钠注射液,严重者输血。如发生高铁血红蛋白血症,可静注亚甲蓝每千克体重1~2mg。
4.6 规格
5 参考资料
- ^ [1] 国家药典委员会.中华人民共和国药典:2010年版:第三增补本[M].北京:中国医药科技出版社,2010.