3 頭孢地尼藥典標準
3.1 品名
3.1.1 中文名
3.1.2 漢語拼音
Toubaodini
3.1.3 英文名
Cefdinir
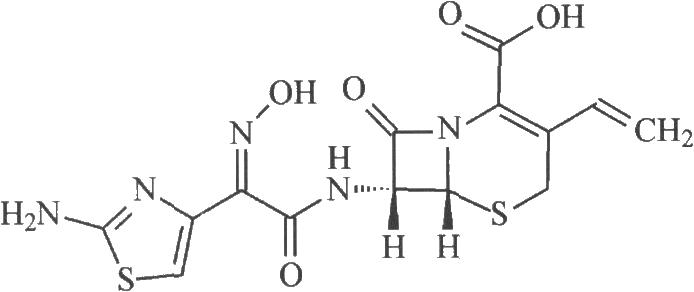
3.2 結構式

3.3 分子式與分子量
C14H13N5O5S2 395.42
3.4 來源(名稱)、含量(效價)
本品爲(6R,7R)-7-[[(2-氨基-4-噻唑基)-(肟基)乙酰基]氨基]-3-乙烯基-8-氧代-5-硫雜-1-氮雜雙環[4.2.0]辛-2-烯-2-羧酸。按無水物計算,含頭孢地尼(C14H13N5O5S2)不得少於94.0%。
3.5 性狀
本品爲微黃色至黃色結晶性粉末;有微臭。
本品在0.1mol/L磷酸鹽緩衝液[0.1mol/L磷酸氫二鈉溶液-0.1mol/L磷酸二氫鉀溶液(2;1)]中略溶,在水、乙醇或乙醚中不溶。
3.5.1 比旋度
取本品,精密稱定,加上述0.1mol/L磷酸鹽緩衝液溶解並定量稀釋製成每1ml中約含10mg的溶液,依法測定(2010年版藥典二部附錄Ⅵ E),比旋度爲-58°至-66°。
3.5.2 吸收係數
取本品,精密稱定,加上述0.1mol/L磷酸鹽緩衝液溶解並定量稀釋製成每1ml中約含10μg的溶液,照紫外-可見分光光度法(2010年版藥典二部附錄Ⅳ A),在287nm波長處測定吸光度,吸收係數(
)爲570~610。
3.6 鑑別
(1)在含量測定項下記錄的色譜圖中,供試品溶液主峯的保留時間應與對照品溶液主峯的保留時間一致。
(2)本品的紅外光吸收圖譜應與對照的圖譜(《藥品紅外光譜集》1122圖)一致。
3.7 檢查
3.7.1 結晶性
取本品少許,依法檢查(2010年版藥典二部附錄Ⅸ D),應符合規定。
3.7.2 酸度
取本品約0.2g,加水20ml,使成均勻混懸液,依法測定(2010年版藥典二部附錄Ⅳ H),pH值應爲2.5~4.5。
3.7.3 有關物質
取本品約37.5mg,置棕色量瓶中,加上述0.1mol/L磷酸鹽緩衝液4ml溶解後,加流動相A稀釋製成每1ml中約含1.5mg的溶液,作爲供試品溶液;精密量取1ml,置100ml量瓶中,加流動相A稀釋至刻度,搖勻,作爲對照溶液。照高效液相色譜法(2010年版藥典二部附錄Ⅴ D)測定,用十八烷基硅烷鍵合硅膠爲填充劑;流動相A爲0.25%四甲基氫氧化銨溶液(用磷酸調節pH值至5.5),每1000ml中加入0.1mol/L乙二胺四醋酸二鈉溶液0.4ml;流動相B爲0.25%四甲基氫氧化銨溶液(用磷酸調節pH值至5.5)-乙腈-甲醇(500:300:200),每1000ml中加入0.1mol/L乙二胺四醋酸二鈉溶液0.4ml。按下表進行線性梯度洗脫,柱溫爲40℃,檢測波長爲254nm。取頭孢地尼對照品約37.5mg,置25ml量瓶中,加上述0.1mol/L磷酸鹽緩衝液4ml溶解後,用流動相A稀釋至刻度,搖勻,在水浴中加熱不少於30分鐘,放冷,得每1ml中約含1.5mg的頭孢地尼與其降解雜質的混合溶液(其中相對主峯保留時間0.95與1.1處雜質的量各約2%),取20μl注入液相色譜儀,記錄色譜圖,頭孢地尼峯保留時間約爲22分鐘,E-異構體峯保留時間約爲頭孢地尼峯保留時間的1.5倍,頭孢地尼峯與其相對保留時間0.95和1.1處雜質峯的分離度均應不小於1.0。取對照溶液20μl注入液相色譜儀,調節檢測靈敏度,使主成分色譜峯的峯高約爲滿量程的20%,精密量取供試品溶液與對照溶液各20μl,分別注入液相色譜儀,記錄色譜圖。供試品溶液色譜圖中如有雜質峯,E-異構體峯面積不得大於對照溶液主峯面積的0.5倍(0.5%),單個雜質峯面積不得大於對照溶液主峯面積(1.0%),各雜質峯面積和不得大於對照溶液主峯面積的3倍(3.0%),供試品溶液色譜圖中任何小於對照溶液主峯面積0.05倍的峯可忽略不計。
| 時間(分鐘) | 流動相A(%) | 流動相B(%) |
| 0 | 95 | 5 |
| 2 | 95 | 5 |
| 22 | 75 | 25 |
| 32 | 50 | 50 |
| 37 | 50 | 50 |
| 38 | 95 | 5 |
| 48 | 95 | 5 |
3.7.4 水分
取本品,加甲酰胺與甲醇的混合溶液(2:1)使溶解,照水分測定法(2010年版藥典二部附錄Ⅷ M第一法 A)測定,含水分不得過2.0%。
3.7.5 熾灼殘渣
取本品1.0g,依法檢查(2010年版藥典二部附錄Ⅷ N),遺留殘渣不得過0.2%。
3.7.6 重金屬
取熾灼殘渣項下遺留的殘渣,依法檢查(2010年版藥典二部附錄Ⅷ H第二法),含重金屬不得過百萬分之十。
3.8 含量測定
照高效液相色譜法(2010年版藥典二部附錄V D)測定。
3.8.1 色譜條件與系統適用性試驗
用十八烷基硅烷鍵合硅膠爲填充劑;以0.25%四甲基氫氧化銨溶液(用磷酸調節pH值至5.5)-乙腈-甲醇(900:60:40),每1000ml中加入0.1mol/L乙二胺四醋酸二鈉溶液0.4ml爲流動相;檢測波長爲254nm。取頭孢地尼對照品約20mg,置100ml量瓶中,加上述0.1mol/L磷酸鹽緩衝液2ml溶解後,用流動相稀釋至刻度,搖勻,在水浴中加熱不少於30分鐘,放冷,得每1ml中約含0.2mg頭孢地尼與其降解雜質的混合溶液(其中相對主峯保留時間0.9與1.2處雜質的量各約爲2%),取20μl注入液相色譜儀,記錄色譜圖,頭孢地尼峯保留時間約爲8分鐘,E-異構體峯保留時間約爲頭孢地尼峯保留時間的3.5倍,頭孢地尼峯與其相對保留時間0.9和1.2處雜質峯的分離度均應不小於1.2。
3.8.2 測定法
取本品約20mg,精密稱定,置100ml棕色量瓶中,加上述0.1mol/L磷酸鹽緩衝液2ml溶解後,用流動相稀釋至刻度,搖勻,精密量取20μl注入液相色譜儀,記錄色譜圖;另取頭孢地尼對照品適量,同法測定。按外標法以峯面積計算,即得。
3.9 類別
β-內酰胺類抗生素,頭孢菌素類。
3.10 貯藏
3.11 製劑
3.12 版本
《中華人民共和國藥典》2010年版
4 頭孢地尼介紹
4.1 藥品名稱
4.2 英文名稱
Cefdinir
4.3 別名
4.4 分類
抗生素 > 頭孢菌素類 > 第三代
4.5 劑型
膠囊:50mg,100mg。
4.6 頭孢地尼的藥理作用
頭孢地尼對革蘭陽性、陰性的需氧菌和厭氧菌有廣譜抗菌活性。對金黃色葡萄球菌、溶血性鏈球菌、消化鏈球菌、丙酸桿菌的抗菌活性強,對產酶葡萄球菌、甲氧西西林敏感的金黃色葡萄球菌和鏈球菌的體外活性比頭孢克肟、頭孢克洛和頭孢氨苄強。對耐甲氧西西林金黃色葡萄球菌和糞球菌有一定的活性,但對變形桿菌屬中的普通變形菌及摩根菌的抗菌活性較弱。對多數陰性菌有強大的活性,對大腸桿菌的作用明顯低於頭孢克肟,銅綠假單胞菌對頭孢地尼耐藥。
4.7 頭孢地尼的藥代動力學
健康成年男子空腹口服頭孢地尼,達峯時間約4h。單劑量50mg、100mg或200mg頓服,血漿峯濃度分別爲0.63mg/L、1.10mg/L和1.5mg/L。飲食可影響頭孢地尼吸收。高齡患者的藥動學參數與健康成年男性相比無明顯差異。腎功能障礙患者血漿半衰期延長。頭孢地尼在體內分佈廣泛,可向痰液、尿道分泌物、女性生殖器官、皮膚組織等轉移分佈,但不向乳汁移行。血漿半衰期爲1.6~1.8h,24h原形藥物在尿液中排泄率爲26%~33%。
4.8 頭孢地尼的適應證
適用於敏感菌所致的皮膚及軟組織感染、急性支氣管炎、泌尿系統感染、生殖系統感染等。
4.9 頭孢地尼的禁忌證
對頭孢菌素類過敏者禁用。
4.10 注意事項
1.慎用:(1)對青黴素類過敏者;(2)已知有變態反應史者;(3)早產兒、新生兒、孕婦及哺乳期婦女慎用或最好不用;(4)腎功能不全者慎用或應減量。
4.11 頭孢地尼的不良反應
不良反應發生率約3.1%,常見噁心、腹瀉、腹痛、胃部不適、胸悶、食慾缺乏、便祕、咳嗽、頭痛、皮疹、瘙癢、藥物熱等,出現不良反應應及時停藥。實驗室檢查偶見AST或ALT升高、BUN上升、中性粒細胞減少、嗜酸粒細胞增多、溶血性貧血。如遇有口內異物感、眩暈、耳鳴、出汗等症狀應立即停藥。另罕見急性腎功能障礙,出現時應及時停藥。
4.12 頭孢地尼的用法用量
每次100~200mg,每天3次,可視年齡及症狀適當增減。
4.13 藥物相互作用
4.14 專家點評
頭孢地尼對革蘭陽性、陰性的需氧菌和厭氧菌有廣譜抗菌活性,與現有的其他口服頭孢類抗生素相比,頭孢地尼對葡萄球菌、鏈球菌、消化鏈球菌、丙酸桿菌的抗菌活性強。一項1433例的臨牀試驗(每次100mg,每天3次);結果表明,頭孢地尼對各種感染的有效率爲:淺表性化膿性疾病89.2%,外科感染90%,急性呼吸系統感染82.8%,慢性呼吸系統感染63.1%,尿路感染82.8%,婦科感染88.4%,眼科感染94.3%,耳鼻喉科感染75%。對革蘭陽性菌的細菌學清除率爲91.9%,對革蘭陰性菌的細菌學清除率爲91.4%。