2 英文參考
Nilestriol[湘雅醫學專業詞典]
3 尼爾雌醇藥典標準
3.1 品名
3.1.1 中文名
3.1.2 漢語拼音
Ni'ercichun
3.1.3 英文名
Nilestriol
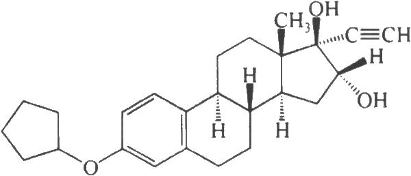
3.2 結構式

3.3 分子式與分子量
C25H32O3 380.53
3.4 來源(名稱)、含量(效價)
本品爲3-(環戊基氧基)-19-去甲-17-孕甾-1,3,5(10)-三烯-20-炔-16α,17α-二醇。按乾燥品計算,含C25H32O3應爲97.0%~103.0%。
3.5 性狀
本品爲白色或類白色結晶性粉末。
本品在三氯甲烷中易溶,在丙酮中溶解,在乙醇中略溶,在水中幾乎不溶。
3.5.1 熔點
本品的熔點(2010年版藥典二部附錄Ⅵ C)爲160~165℃。
3.5.2 比旋度
取本品,精密稱定,加無水乙醇溶解並定量稀釋製成每1ml中約含10mg的溶液,依法測定(2010年版藥典二部附錄Ⅵ E),比旋度爲+2°至+10°。
3.6 鑑別
(1)取本品,加硫酸2~3滴,即顯玫瑰紅色,將此溶液傾入5ml水中,即顯藍紫色。
(2)在含量測定項下記錄的色譜圖中,供試品溶液主峯的保留時間應與對照品溶液主峯的保留時間一致。
(3)本品的紅外光吸收圖譜應與對照的圖譜(《藥品紅外光譜集》136圖)一致。
3.7 檢查
3.7.1 有關物質
取本品,加三氯甲烷-甲醇(9:1)溶解並稀釋製成每1ml中約含10mg的溶液,作爲供試品溶液;精密量取1ml,置50ml量瓶中,用三氯甲烷-甲醇(9:1)稀釋至刻度,搖勻,作爲對照溶液。照薄層色譜法(2010年版藥典二部附錄Ⅴ B)試驗,吸取上述兩種溶液各5μl,分別點於同一硅膠G薄層板上,以苯-丙酮(4:1)爲展開劑,展開,晾乾,噴以硫酸-乙醇(4:1),在105℃加熱20分鐘,置紫外光燈(365nm)下檢視。供試品溶液如顯雜質斑點,其顏色與對照溶液的主斑點比較,不得更深。
3.7.2 乾燥失重
取本品,在80℃減壓乾燥4小時,減失重量不得過3.0%(2010年版藥典二部附錄Ⅷ L)。
3.8 含量測定
照高效液相色譜法(2010年版藥典二部附錄Ⅴ D)測定。
3.8.1 色譜條件與系統適用性試驗
用十八烷基硅烷鍵合硅膠爲填充劑;以甲醇-水(80:20)爲流動相;檢測波長爲221nm。理論板數按尼爾雌醇峯計算不低於2500。
3.8.2 測定法
取本品,精密稱定,加流動相溶解並定量稀釋製成每1ml中約含0.1mg的溶液,精密量取20μl注入液相色譜儀,記錄色譜圖;另取尼爾雌醇對照品,同法測定。按外標法以峯面積計算,即得。
3.9 類別
雌激素藥。
3.10 貯藏
3.11 製劑
3.12 版本
《中華人民共和國藥典》2010年版
4 尼爾雌醇介紹
4.1 藥品名稱
4.2 英文名稱
Nilestriol
4.3 別名
E3醚;雷塞;裏來炔甾醇;維尼安;戊炔雌三醇;戊炔雌醇;戊炔雌醚;CEE-3;Ethinylestriol-3-Cyclopentylether;Nylestriol;Nilestriolum;Weinian
4.4 分類
4.5 劑型
1.片劑:每片1mg、2mg、5mg;
4.6 尼爾雌醇的藥理作用
尼爾雌醇爲雌三醇衍生物,是雌二醇與雌酮的代謝物,屬長效緩釋雌激素類藥物。補充雌三醇後尿中雌酮或雌二醇含量均未增加,可與雌酮、雌二醇競爭性與雌激素受體結合,並可將雌二醇從子宮內膜受體蛋白複合物中置換出來。在細胞核內雌三醇與受體蛋白複合物結合的時間較短,不引起細胞增殖,具有抗雌酮,雌二醇特性,對子宮內膜具保護作用。動物實驗表明雌三醇對大鼠誘發性乳腺癌與膀胱癌的抗癌作用最明顯,雌三醇對宮頸、陰道和外陰等的雌激素受體作用最強,但不引起內膜增生。雌三醇還能通過反饋抑制促進性腺激素分泌。尼爾雌醇在雌三醇的第3位碳原子上引入環戊醚基,增加了親脂性,有利於腸道吸收。並可儲存在脂肪組織中發揮長效作用。在17α位上引入的乙炔基後可保護羥基,增加雌激素活性。尼爾雌醇的雌激素活性與雌三醇、乙炔雌二醇環戊環戊醚、乙炔雌三醇相比,活性最強,口服吸收良好,皮下注射時,其雌激素活性爲炔雌醚的3倍,爲雌三醇環戊醚的10倍;口服時其活性是雌三醇環戊醚的30倍。尼爾雌醇是在絕經後補充雌激素、調整自主神經系統的藥物,對絕經期症狀有效。對心血管系統,它參與頸動脈、主動脈,心肌冠狀動脈等重要部位的代謝作用,可使高密度脂蛋白膽固醇(HDL-C)明顯上升,低密度脂蛋白膽固醇(LDL-C)降低。HDL-C能將動脈壁中已沉澱的膽固醇運載至肝臟進行代謝、排泄,從而改善粥樣硬化。此外,還可抑制骨吸收,從而防止骨質的丟失,預防骨質疏鬆的發生。尼爾雌醇起重要作用的靶器官是陰道和子宮頸管,而對子宮實體、子宮內膜作用很小。服藥後能使陰道黏膜由乾燥轉爲溼潤,陰道脫落細胞中表層細胞增多,成熟指數升高到中度反應水平,提高陰道上皮抗感染能力,對治療老年性陰道炎有特殊作用。
4.7 尼爾雌醇的藥代動力學
尼爾雌醇口服後胃腸吸收良好,藥物可儲存在脂肪組織中緩慢釋放而起長效作用。尼爾雌醇口服後,在肝內通過17β-羥甾脫氫酶(HSD)及多功能氧化酶(MFO)作用,依次轉化爲乙炔雌三醇與雌三醇,以雌三醇形式作用於靶器官。動物實驗表明,給藥24h內血漿中以原藥濃度爲最高,其衰減速率較爲緩慢,肝勻漿中於2~6h內亦以原藥含量最多,大劑量給藥2~6h內血漿中原藥的百分比最高,爲35%~44%,24h後乙炔雌三醇含量相對減少而雌三醇成倍增加。口服一次,藥效可維持20~25天。尼爾雌醇及其代謝物主要經腎臟排泄,尿中排出量以原藥爲首位,依次爲乙炔雌三醇及雌三醇。
4.8 尼爾雌醇的適應證
1.用於絕經婦女雌激素缺乏引起的症狀,圍絕經期綜合期綜合徵、老年性陰道炎和萎縮性尿道炎。
3.預防骨質疏鬆。
4.9 尼爾雌醇的禁忌證
禁用於妊娠、乳腺癌、子宮內膜癌、子宮肌瘤、子宮內膜異位症、原因不明性陰道出血、嚴重肝腎功能障礙。再生障礙性貧血患者禁用。
4.10 注意事項
1.尼爾雌醇可少量隨乳汁分泌,並可減少泌乳。
2.治療前應做全面體檢,長期用藥婦女至少每年體檢1次,包括血壓、乳腺、腹腔與盆腔器官、宮頸細胞學檢查。
3.爲保護子宮內膜,可在服用第3個月後半月,增加口服甲羥孕酮。具體服法:甲羥孕酮8~10mg,連服14天,促使成1次月經來潮,如無陰道流血出現,仍可繼續服用尼爾雌醇。
4.11 尼爾雌醇的不良反應
1.某些婦女可能出現白帶增多、乳房脹痛、噁心、頭痛、腹脹、高血壓及肝功能損害等。除突破性出血量過多時需要停藥外,一般不需停藥。用藥劑量較大時可能出現暫時性乳房脹痛、硬結和月經失調。
2.作爲雌激素長期攝入,有增加子宮內膜癌的危險。尼爾雌醇的內膜增殖作用比雌二醇弱,但單純服用尼爾雌醇6個月仍可使子宮內膜有增殖期變化,內膜刮出率增加1倍。
4.12 尼爾雌醇的用法用量
1.雙側卵巢及子宮切除婦女:用作雌激素替代治療,每月2mg或5mg。長期服用。
2.圍絕經期雌激素缺乏者:每次5mg,1個月1次或每次2mg,每兩週1次症狀改善後維持量爲每次1~2mg,每月1~2次或遵醫囑。。
3.預防骨質疏鬆及心血管疾病:每月2mg或1mg,長期用藥者必須加用甲羥孕酮,可在第3個月加用甲羥孕酮每天4~8mg,共10~12天。
4.絕經後取宮內節育器:取器術前1周,4mg頓服,7天后再取器。
4.13 藥物相互作用
2.與三環類抗抑鬱藥同時使用,可增強抗抑鬱藥的不良反應,同時降低抗抑鬱藥的效應。
3.與卡馬西平、苯巴比妥、苯妥英鈉、撲米酮、利福平等同時使用,可降低尼爾雌醇的藥效,這是由於誘導肝微粒體酶,加快尼爾雌醇的代謝所致。
4.與抗凝藥同用時,可降低其抗凝效應,故若必須同用時,應調整抗凝藥用量。
7.在服用尼爾雌醇時,吸菸可增加心血管系統不良反應發生的危險性,且危險性隨着吸菸量和吸菸者年齡的增加而增加。
4.14 專家點評
潮熱的顯著好轉或消失的佔94.8%;多汗的顯著好轉或消失的佔88.9%;頭痛、頭昏佔66.8%;疲勞佔74.7%;外陰乾燥佔78.6%;易激動、煩躁易怒佔73.0%。治療6個月後療效更好。血漿FSFSH與LH亢進的情況改善,陰道脫落細胞成熟指數上升。服藥後6~29個月的子宮內膜未見明顯增殖反應。江西婦幼保健院對31例雙卵巢切除所致絕經婦女口服尼爾雌醇,觀察其替代雌激素的可行性。結果更年期症狀均有明顯的好轉,服藥前後Kupperman評分比較均有極顯著的差異,口服藥物後對上皮有輕度影響者爲85.7%,表明尼爾雌醇對陰道上皮有明顯的雌激素作用。是雌激素替代治療常用藥物,療效肯定。