3 酒石酸麦角胺药典标准
3.1 品名
3.1.1 中文名
3.1.2 汉语拼音
Jiushisuan Maijiao'an
3.1.3 英文名
Ergotamine Tartrate
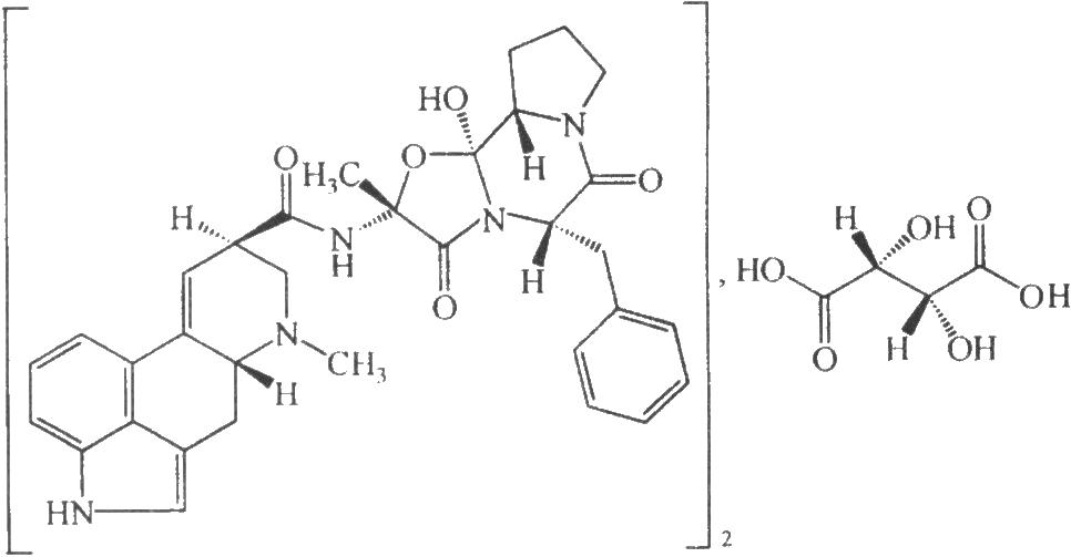
3.2 结构式

3.3 分子式与分子量
(C33H35N5O5)2·C4H6O6 1313.43
3.4 来源(名称)、含量(效价)
本品为2'-甲基-5'α-(苯甲基)-12'-羟基麦角烷-3',6',18-三酮酒石酸盐,或以含二分子甲醇的结晶形式存在。按干燥品计算,含(C33H35N5O5)2·C4H6O6应为97.0%~103.0%。
3.5 性状
3.5.1 比旋度
避光操作,测定在1小时内完成。取本品0.30g,加碳酸氢钠0.5g与水25ml,用无乙醇的三氯甲烷(取三氯甲烷,经水充分洗涤后使用)振摇提取7次(第一次用10ml,以后均用6ml),合并三氯甲烷提取液,滤过,并稀释成50.0ml,依法测定旋光度(2010年版药典二部附录Ⅵ E)。再精密量取上述三氯甲烷提取液25ml,用氮气流除去三氯甲烷,加冰醋酸20ml溶解后,加结晶紫指示液1滴,用高氯酸滴定液(0.05mol/L)滴定至溶液显蓝绿色,并将滴定的结果用空白试验校正。每1ml高氯酸滴定液(0.05mol/L)相当于29.08mg的麦角胺。计算三氯甲烷提取液中麦角胺的含量;本品的比旋度,按麦角胺计算,为-154°至-165°。
3.6 鉴别
(1)取本品约30mg,加酒石酸15mg与水6ml,振摇使溶解,取此溶液0.1ml,加冰醋酸1ml、三氯化铁试液1滴与磷酸1ml,置80℃水浴中加热,数分钟后显蓝紫色。
(2)取本品少量,置载玻片上,加浓过氧化氢溶液1滴,稀醋酸0.1ml与醋酸钾试液0.2ml,置显微镜下观察,可见无色结晶性沉淀。
(3)本品的红外光吸收图谱应与对照的图谱(《药品红外光谱集》424图)一致。
3.7 检查
3.7.1 酸度
取本品20mg,加水8ml,依法测定(2010年版药典二部附录Ⅵ H),pH值应为4.0~6.0。
3.7.2 溶液的澄清度与颜色
取本品30mg,加酒石酸15mg与水6ml振摇溶解后,溶液应澄清无色,如显色,与黄色3号标准比色液(2010年版药典二部附录Ⅸ A第一法)比较,不得更深。
3.7.3 氯化物
取本品25mg,加酒石酸15mg与水25ml,振摇使溶解,依法检查(2010年版药典二部附录Ⅷ A),与标准氯化钠溶液0.50ml制成的对照液比较,不得更浓(0.02%)。
3.7.4 有关物质
临用新制。取本品,加甲醇-二氯甲烷(1:9)溶液溶解并稀释制成每1ml中约含10mg的溶液,作为供试品溶液;精密量取适量,分别加甲醇-二氯甲烷(1:9)溶液稀释制成每1ml中约含0.025mg、0.05mg、0.1mg和0.2mg的溶液,作为对照溶液(1)、(2)、(3)和(4)。照薄层色谱法(2010年版药典二部附录Ⅴ B)试验,吸取上述五种溶液各5μl,分别点于同一硅胶G薄层板上(点样后立即取薄层板置含浓氨溶液20ml的烧杯上方,使点样处在氨蒸气中熏20秒钟,再置冷空气流下干燥20秒钟),以无水乙醇-二氯甲烷-二甲基甲酰胺-乙醚(5:10:15:70)为展开剂,展开约17cm,取出,在冷空气流下干燥约2分钟,喷以对二甲氨基苯甲醛溶液[取对二甲氨基苯甲醛1g,加盐酸-乙醇(1:1)100ml使溶解),置60℃放置约5分钟。供试品溶液如显杂质斑点,与对照溶液(1)、(2)、(3)和(4)的主斑点比较,杂质总量不得大于2.0%,且大于1.0%的杂质斑点不得多于1个。
3.7.5 干燥失重
取本品约0.2g,在95℃减压干燥至恒重,减失重量不得过6.0%(2010年版药典二部附录Ⅷ L)。
3.8 含量测定
取本品约10mg,精密称定,置200ml量瓶中,加1%酒石酸溶液溶解并稀释至刻度,摇匀,精密量取5ml,置具塞试管中,精密加对二甲氨基苯甲醛试液10ml,暗处放置30分钟,照紫外-可见分光光度法(2010年版药典二部附录Ⅳ A),在550nm的波长处测定吸光度;另取马来酸麦角新碱对照品约10mg,精密称定,同法测定。计算,即得。每1mg马来酸麦角新碱相当于1.488mg的(C33H35N5O5)2·C4H6O6。
3.9 类别
抗偏头痛药。
3.10 贮藏
3.11 制剂
3.12 版本
《中华人民共和国药典》2010年版