2 药理作用
熊去氧胆酸具有溶解胆结石的作用,且具有毒性小、剂量小的优点。是70年代以来治疗胆固醇型胆结石的有效药物。近年发现尚有降血脂、降血糖、镇痉、抗惊厥、溶血和脂酶促进作用。临床用于胆石症、急慢性肝炎、胆囊炎、胆管炎等疾病的治疗。
3 熊去氧胆酸药典标准
3.1 品名
3.1.1 中文名
3.1.2 汉语拼音
Xiongquyangdansuan
3.1.3 英文名
Ursodeoxycholic Acid
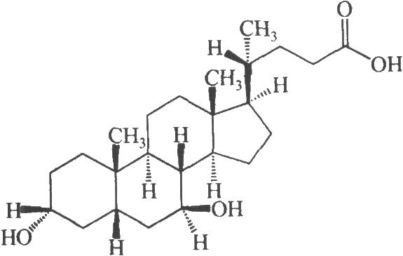
3.2 结构式

3.3 分子式与分子量
C24H40O4 392.58
3.4 来源(名称)、含量(效价)
本品为3α,7β-二羟基-5β-胆甾烷-24-酸。按干燥品计算,含C24H40O4不得少于98.5%。
3.5 性状
本品为白色粉末;无臭,味苦。
本品在乙醇中易溶,在三氯甲烷中不溶;在冰醋酸中易溶,在氢氧化钠试液中溶解。
3.5.1 熔点
本品的熔点(2010年版药典二部附录Ⅵ C)为200~204℃。
3.5.2 比旋度
取本品,精密称定,加无水乙醇溶解并定量稀释制成每1ml中含40mg的溶液,依法测定(2010年版药典二部附录Ⅵ E),比旋度为+59.0°至+62.0°。
3.6 鉴别
(1)取本品10mg,加硫酸1ml与甲醛l滴使溶解,放置5分钟后,再加水5ml,生成蓝绿色悬浮物。
(2)本品的红外光吸收图谱应与对照的图谱(《药品红外光谱集》534图)一致。
3.7 检查
3.7.1 异臭
取本品2.0g,加水100ml,煮沸2分钟,应无臭。
3.7.2 氯化物
取本品1.0g,加冰醋酸10ml,振摇使溶解,用水稀释至100ml,摇匀,放置10分钟,滤过,取续滤液25ml,依法检查(2010年版药典二部附录Ⅷ A),与标准氯化钠溶液5.0ml制成的对照液比较,不得更浓(0.02%)。
3.7.3 硫酸盐
取上述氯化物项下剩余的滤液40ml,依法检查(2010年版药典二部附录Ⅷ B),与标准硫酸钾溶液2.0ml制成的对照液比较,不得更浓(0.05%)。
3.7.4 有关物质
取本品,用丙酮-水(9:1)制成每Im1中含10mg的溶液,作为供试品溶液;取熊去氧胆酸对照品与鹅去氧胆酸对照品,用丙酮-水(9:1)制成每1ml中各含0.4mg的混合溶液,作为对照品溶液(1);另取鹅去氧胆酸对照品,用丙酮-水(9:1)制成每1ml中含0.1mg的溶液,作为对照品溶液(2);取胆石酸对照品,用丙酮-水(9:1)制成每1ml中含0.01mg的溶液,作为对照品溶液(3);取胆酸对照品,用丙酮-水(9:1)制成每1ml中含0.05mg的溶液,作为对照品溶液(4);精密量取供试品溶液,用丙酮-水(9:1)定量稀释制成每1ml中含0.01、0.02、0.05mg的溶液,分别作为对照溶液(1)、(2)、(3)。照薄层色谱法(2010年版药典二部附录Ⅴ B)试验,吸取上述八种溶液各5μl,分别点于同一硅胶G薄层板上,以二氯甲烷-丙酮-冰醋酸(60:30:3)为展开剂,展开,晾干,于120℃干燥10分钟,喷以4.5%磷钼酸的硫酸-冰醋酸(1:20)溶液,再在120℃加热3~5分钟,立即检视。对照品溶液(1)应显两个斑点;供试品溶液如显与对照品溶液(2)位置相同的杂质斑点,其颜色与对照品溶液(2)主斑点比较,不得更深(1.0%);如显与对照品溶液(3)位置相同的杂质斑点,其颜色与对照品溶液(3)的主斑点比较,不得更深(0.1%);如显与对照品溶液(4)位置相同的杂质斑点,其颜色与对照品溶液(4)的主斑点比较,不得更深(0.5%);其他杂质斑点,其颜色与对照溶液(1)、(2)、(3)的主斑点比较,杂质总量不得过0.5%。
3.7.5 干燥失重
取本品,在105℃干燥2小时,减失重量不得过1.0%(2010年版药典二部附录Ⅷ L)。
3.7.6 炽灼残渣
取本品1.0g,依法检查(2010年版药典二部附录Ⅷ N),遗留残渣不得过0.2%。
3.7.7 钡盐
取异臭项下的溶液,加盐酸2ml,煮沸2分钟,放冷,滤过,并用水洗涤,洗液与滤液合并使成100ml,摇匀;取10ml,加稀硫酸1ml,不得发生浑浊。
3.7.8 重金属
取炽灼残渣项下遗留的残渣,依法检查(2010年版药典二部附录Ⅷ H第二法),含重金属不得过百万分之二十。
3.7.9 砷盐
取本品1.0g,加2%硝酸镁乙醇溶液10ml,点燃乙醇,缓缓加热至灰化,如仍有炭化物,可加少量硝酸湿润,继续加热(500~600℃)至灰化完全,放冷,加水21ml溶解后,加盐酸5ml,依法检查(2010年版药典二部附录Ⅷ J第一法),应符合规定(0.0002%)。
3.8 含量测定
取本品约0.5g,精密称定,加中性乙醇(对酚酞指示液显中性)40ml与新沸过放冷的水20ml,溶解后,加酚酞指示液2滴,用氢氧化钠滴定液(0.1mol/L)滴定,至近终点时,加新沸过放冷的水100ml,继续滴定至终点。每1ml氢氧化钠滴定液(0.1mol/L)相当于39.26mg的C24H40O4。
3.9 类别
3.10 贮藏
3.11 制剂
3.12 版本
《中华人民共和国药典》2010年版
4 熊去氧胆酸介绍
4.1 药品名称
4.2 英文名称
Ursodeoxycholic Acid
4.3 别名
护肝素;脱氧熊胆酸;乌素脱氧胆酸;熊脱氧胆酸;优思弗;Acidum Ursodesoxycholicum;UDCA;Ursacol;URSO;Ursofalk;Ulmenid
4.4 分类
4.5 剂型
1.片剂: 50mg,150mg;
2.胶囊:250mg。
4.6 熊去氧胆酸的药理作用
1.增加胆汁酸的分泌,导致胆汁酸成分的变化,使其在胆汁中含量增加,有利胆作用。患者服用后胆汁酸分泌均值由每小时1.8mmol增至2.24mmol,长期服用可增加UDCA在胆汁中的含量,不增加胆酸的含量。
2.能抑制肝脏胆固醇的合成,显著降低胆汁中胆固醇及胆固醇酯的量和胆固醇的饱和指数,从而有利于结石中胆固醇逐渐溶解。此外,UDCA还能促进液态胆固醇晶体复合物形成,后者可加速胆固醇从胆囊向肠道排泄清除。
4.减少肝脏脂肪,增加肝脏过氧化化氢酶的活性,促进肝糖原的蓄积,提高肝脏抗毒、解毒能力。
7.国外研究亦表明熊去氧胆胆胆酸在慢性肝脏疾病中具有免疫调节作用,能明显降低肝细胞HLAI类抗原的表达,降低活化T细胞的数目。熊去氧胆酸在体内溶解胆固醇结石的效果优于鹅去氧胆胆胆酸(CDCA)。
4.7 熊去氧胆酸的药代动力学
熊去氧胆酸呈弱碱性,口服后通过被动扩散而迅速吸收,吸收的最有效部位是中等碱性环境的回肠。生物利用度为90%,总蛋白结合率为70%。熊去氧胆酸通过肝脏时被摄取5%~60%,明显低于鹅去氧胆胆胆酸,仅少量药物进入体循环,血药浓度很低。口服后1h和3h分别出现两个血药浓度峰值。用于溶解胆石时,口服后3~6个月起效。熊去氧胆酸的治疗作用不取决于血药浓度而与胆汁中的药物浓度有关。半衰期为3.5~5.8天。熊去氧胆酸在肝脏与甘氨酸或牛磺酸迅速结合,从胆汁排入小肠,参加肝肠循环。小肠内结合的熊去氧胆胆胆酸一部分水解回复为游离型,另一部分在细菌作用下转变为石胆酸(Lithocholic Acid),后者进而被硫酸化,从而降低其潜在的肝脏毒性。熊去氧胆酸主要随粪便排出,少量经肾排泄。熊去氧胆酸是否经人乳汁排泄尚不清楚。由于口服后仅少量经肾排泄。熊去氧胆酸是否经人乳汁排泄尚不清楚。由于口服后仅少量熊去氧胆胆胆酸出现在血清中,所以如果乳汁中有的话,其量也非常少。
4.8 熊去氧胆酸的适应证
1.适用于胆囊功能正常、透光、直径10~15mm的非钙化结石。
2.预防胆结石形成:需长期用易形成胆固醇结石的药物(如雌激素、氯贝丁酯及其衍生物、考来烯胺)的患者、长期进食高胆固醇饮食者、或有易感遗传因素者,均可服用熊去氧胆酸预防胆结石形成。
4.治疗回肠切除术后脂肪泻、高三酰甘油血症、肝大、慢性肝炎,亦可用于胆汁反流性胃炎。
4.9 熊去氧胆酸的禁忌证
1.严重肝炎及严重肝功能减退者。
2.胆道完全阻塞者。
4.对胆汁酸过敏者。
5.有胆囊切除术指征的患者,包括持续性急性胆囊炎、胆管炎、胆石性胰腺炎或胆道胃肠瘘。
6.孕妇、儿童、哺乳妇女禁用。
4.10 注意事项
熊去氧胆酸不能溶解胆色素结石、钙化胆固醇性结石、混合结石及不透过X线结石。
4.11 熊去氧胆酸的不良反应
3.呼吸系统:国外资料报道,可出现支气管炎、咳嗽、咽炎等呼吸系统的不良反应。
5.皮肤:可出现瘙痒、脱发等。
7.致癌及致突变作用:动物实验未发现熊去氧胆酸有致突变作用,光镜和电镜下观察未发现肝细胞与熊去氧胆酸一起孵化后有结构上的改变。动物试验(小鼠和大鼠)表明,熊去氧胆酸用到最大剂量的5.4倍也不会致癌。
8.其他:偶见过敏、心动过缓、心动过速等。
4.12 熊去氧胆酸的用法用量
1.利胆:每次50mg,每天150mg。
2.溶解胆结石:每天450~600mg,或每天8~10mg/kg,分早晚2次服。当胆石清除后,每晚口服500mg,以防止复发。
3.肝大、慢性肝炎:每天8~13mg/kg,疗程为6~24个月。
4.胆汁反流性胃炎:每天1 000mg,分2次服。
4.13 药物相互作用
1.熊去氧胆酸与鹅去氧胆胆胆酸合用,胆汁中胆固醇的含量和饱和度的降低程度均大于两药单独使用,也大于两药的相加作用。这可能与两药对胆固醇的合成、代谢和溶解动力学的不同作用机制有关。
2.口服避孕药可增加胆汁饱和度,影响熊去氧胆酸疗效,故用熊去氧胆酸治疗时应采取其他节育措施。
3.药用炭在体外试验中能结合胆汁酸,故与熊去氧胆酸联用时会影响后者的吸收。
4.含铝抗酸药在体外试验中能吸附胆汁酸,故与熊去氧胆酸联用时可减少熊去氧胆酸的吸收。
5.因为考来烯胺、考来替泊在体外试验中均能结合胆汁酸,故与熊去氧胆酸联用时可干扰后者的吸收。
4.14 专家点评
熊去氧胆酸既往用于治疗胆结石病,可溶解胆固醇结石,现还用于治疗胆汁淤积性疾病。国产熊去氧胆胆胆酸欠纯,其中含有鹅去氧胆胆胆酸,可溶解胆石,但对肝细胞的保护作用远不如UDCA,临床用于肝细胞胆汁淤积,其效用似不如国外报道那样好。对非钙化型的浮动胆固醇结石有较高的治愈率。