1 拼音
huà zhuāng pǐn zhōng 4-ān jī ǒu dàn běn hé lián běn àn de jiǎn cè fāng fǎ
《化妆品中4-氨基偶氮苯和联苯胺的检测方法》由国家食品药品监督管理局于2012年1月18日国食药监保化[2012]13号发布。
2 1 范围
本标准规定了使用气相色谱–质谱法测定化妆品中4-氨基偶氮苯和联苯胺的含量。
本标准适用于粉、霜、露、膏、乳、油、液类化妆品中4-氨基偶氮苯和联苯胺的测定。
本标准的浓度适用范围为0.5 mg/Kg~10mg/Kg,4-氨基偶氮苯及联苯胺的检出限(3s)均为0.5 mg/Kg,定量下限(10s)分别为2.0 mg/Kg、2.5 mg/Kg。
3 2 原理
试样在氨水-氯化铵缓冲溶液(pH = 9.5)中经叔丁基甲醚超声萃取后,使用硅胶-中性氧化铝混合填充的固相萃取小柱进行净化,叔丁基甲醚为淋洗液,浓缩后进样,经气相色谱分离、质谱检测器测定,使用保留时间、待测组分特征离子丰度比双重模式进行定性,外标法对各组分定量离子峰面积进行定量。
4 3 试剂及材料
除特别说明外,所有试剂均为分析纯;水为符合GB/T 6682规定的一级水。
3.3 正己烷:色谱纯。
3.4 甲醇:色谱纯。
3.5 叔丁基甲醚:色谱纯。
3.6 无水硫酸钠。
3.7 氯化铵。
3.8 氨水:25%。
3.9 氯化钠。
3.10 硅胶:100~200目,使用前于160 ℃下烘12 h。
3.11 中性氧化铝:100~200目,使用前于180 ℃下烘12 h。
3.12 氨水–氯化铵缓冲溶液:称取13.4 g 氯化铵、量取18.5 mL氨水于250 mL烧杯中,加水溶解后转移至500 mL容量瓶,定容,配制成pH=9.5的缓冲溶液。
3.13 标准溶液
3.13.1 4-氨基偶氮苯标准储备溶液:准确称10.0 mg 4-氨基偶氮苯准品于10 mL容量瓶中,加入少量甲醇溶解,并用甲醇定容至刻度,溶液浓度为1 mg/mL。将标准溶液转移到安瓿瓶中于4℃保存。
3.13.2 联苯胺标准储备溶液:准确称10.0 mg联苯胺准品于10 mL容量瓶中,加入少量甲醇溶解,并用甲醇定容至刻度,溶液浓度为1 mg/mL。将标准溶液转移到安瓿瓶中于4℃保存。
3.13.3 混合标准中间溶液:取一定量4-氨基偶氮苯和联苯胺的储备液,用甲醇稀释成混合标准中间溶液,溶液浓度为0.1 mg/mL。将混合标准中间溶液转移到安瓿瓶中于4℃保存。
3.13.4 混合标准工作液:用甲醇将一定量的混合标准中间溶液配制成相应浓度的混合标准工作液。将混合标准工作液转移至安瓿瓶中于4℃保存。
5 4 仪器和设备
4.1 气相色谱-质谱仪。
4.2 分析天平:感量0.0001 g。
4.3 超声波振荡器。
4.4 离心机。
4.5 氮气吹扫装置。
4.8 滤膜:0.45 μm有机相滤膜。
4.9 分液漏斗振荡器。
4.10 K-D浓缩瓶:30 mL。
6 5 分析步骤
5.1 提取
称取0.5 g试样(精确到0.001 g)50 mL圆底螺口玻璃离心管(4.7),加入1.0 mL氨水–氯化铵缓冲溶液(3.12),振荡混匀,加入10 mL叔丁基甲醚,密封于45 ℃下超声萃取15 min。按照化妆品类型进行以下样品操作:
1)对于液态的化妆品,如爽肤水、啫喱水、香水等,待样品冷却后,加入10 mL水、5 g氯化钠,在分液振荡器上振荡10 min,取下,离心5 min,移取5 mL上层溶液,加入0.5 g无水硫酸钠静置15 min,将无水硫酸钠除水后的溶液转移至30 mL K-D浓缩瓶(4.10)中溶液用缓慢的氮气流吹至近干,浓缩过程中采用8 mL叔丁基甲醚分三次淋洗K-D浓缩瓶内壁,最后用叔丁基甲醚定容至1.0 mL,过0.45 μm滤膜(4.8),供GC-MS测定。
2)对于固体或膏状的化妆品,如洗发水、沐浴露、染发剂、指甲油、胭脂等,待样品冷却后,离心5 min,移出上层溶液,加入0.5 g无水硫酸钠静置15 min;将溶液转移至30 mL K-D浓缩瓶(4.10)中浓缩至1.0 mL,浓缩过程中采用8 mL正己烷分三次淋洗K-D浓缩瓶内壁,用缓慢的氮气流将溶液吹至近干,加入0.5 mL正己烷溶解后进行以下净化步骤:
称取800 mg硅胶和1200 mg中性氧化铝(2:3,m/m),充分混匀,用干法装入玻璃固相萃取柱,轻敲至实。使用前用4 mL叔丁基甲醚预淋洗净化柱,弃去淋洗液。将上述正己烷溶液转移至硅胶–中性氧化铝混装的净化柱,并用1 mL正己烷分两次洗涤器皿,洗涤液转移至固相萃取小柱。待样品过柱后,用15.0 mL叔丁基甲醚将目标物洗脱,用30 mL K-D浓缩瓶(4.9)收集洗脱液,氮气吹扫、浓缩至近干,浓缩过程中用8 mL叔丁基甲醚分三次淋洗K-D浓缩瓶内壁,叔丁基甲醚定容至1.0 mL,供GC-MS测定。
5.2 测定
5.2.1 气相色谱-质谱检测参考条件
进样口温度300℃。载气为氦气(纯度≥99.999%),恒流方式,流速1.0 mL/min。色谱柱为DB-35 MS柱,30 m× 0.25 mm(i.d.)× 0.25 μm,或相当者;柱升温程序为:初始温70 ℃,保持0.5 min后以30 ℃/min升至270 ℃,保持2.0 min,再以25 ℃/min升至310 ℃至待测物质全部流出。进样方式为分流进样模式,分流比为7:1,进样量1.0 μL。离子源为EI源,电离能量:70 eV。色谱-质谱接口温度280℃,四极杆温度150 ℃,离子源温度230 ℃。溶剂延迟3 min。测量方式为全扫描/选择离子监测(Scan/SIM)同时采集模式,两种待测物质的参数见表1。
序号 | 名称 | 保留时间(min) | 选择离子(m/z) | 丰度比 |
1 | 4-氨基偶氮苯 | 9.31 | 92, *197, 120, 65 | 100 : 40 : 33 : 42 |
2 | 9.84 | *184, 183, 185, 92 | 100 : 10 : 14 : 12 |
5.2.2 气相色谱-质谱分析及结果确证
根据试样中被测物质含量,选定适宜浓度标准工作液,使待测样液中4-氨基偶氮苯、联苯胺的响应值均在仪器检测的线性范围内。如果样液的检测响应值超出仪器检测的线性范围,可适当稀释后进行测定。
在5.2.1气相色谱–质谱条件下,4-氨基偶氮苯、联苯胺标准物质的参考保留时间和气相色谱–质谱选择离子色谱图见图1。

图1 4-氨基偶氮苯和联苯胺的气相色谱-质谱选择离子色谱图(0.5 mg/L)
7 6 结果计算
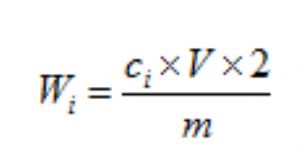
6.1 液态样品结果计算
试样中4-氨基偶氮苯和联苯胺含量分别按(1)计算,结果保留到小数点后二位:
(1)
式中:
Wi— 试样中4-氨基偶氮苯和联苯胺的含量,单位为 mg /Kg;
ci— 标准校正工作曲线得到的样品中4-氨基偶氮苯和联苯胺的浓度,单位为mg /L;
V— 样液最终定容体积,单位为 mL;
m— 试样的质量,单位为 g。
6.2 固态或膏状样品的结果计算
试样中4-氨基偶氮苯和联苯胺含量分别按(2)计算,结果保留到小数点后一位:

式中:
Wi— 试样中4-氨基偶氮苯和联苯胺的含量,单位为 mg /Kg;
ci— 标准校正工作曲线得到的样品中4-氨基偶氮苯或联苯胺的浓度,单位为mg /L;
V— 样液最终定容体积,单位为 mL;
m— 试样的质量,单位为 g。