3 辅酶Q10药典标准
3.1 品名
3.1.1 中文名
辅酶Q10
3.1.2 汉语拼音
Fumei Q10
3.1.3 英文名
Ubidecarenone
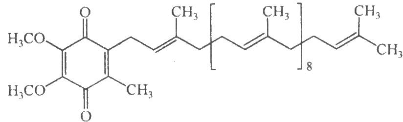
3.2 结构式

3.3 分子式与分子量
C59H90O4 863.36
3.4 来源(名称)、含量(效价)
本品为2-[(全-E)3,7,11,15,19,23,27,31,35,39-十甲基-2,6,10,14,18,22,26,30,34,38-四十癸烯基]-5,6-二甲氧基-3-甲基-p-苯醌。按无水物计算,含C59H90O4不得少于98.0%。
3.5 性状
3.5.1 熔点
本品的熔点(2010年版药典二部附录Ⅵ C)为48~52℃。
3.6 鉴别
(1)取含量测定项下的供试品溶液,加硼氢化钠50mg,摇匀,溶液黄色消失。
(2)在含量测定项下记录的色谱图中,供试品溶液主峰的保留时间应与对照品溶液主峰的保留时间一致。
(3)本品的红外光吸收图谱应与对照的图谱(《药品红外光谱集》1046图)一致。
3.7 检查
3.7.1 有关物质
避光操作。取含量测定项下的供试品溶液作为供试品溶液;精密量取1ml,置100ml量瓶中,用无水乙醇稀释至刻度,摇匀,作为对照溶液。照含量测定项下的色谱条件,取对照溶液20μl,注入液相色谱仪,调节检测灵敏度,使主成分峰高约为满量程的25%。再精密量取供试品溶液和对照溶液各20μl,分别注入液相色谱仪,记录色谱图至主成分峰保留时间的2倍。供试品溶液色谱图中如有杂质峰,各杂质峰面积的和不得大于对照溶液的主峰面积(1%)。
3.7.2 异构体
避光操作。取本品,加正己烷溶解并稀释制成每1ml中含1mg的溶液,作为供试品溶液;精密量取1ml,置200ml量瓶中,用正己烷稀释至刻度,摇匀,作为对照溶液(临用新制)。照高效液相色谱法(2010年版药典二部附录Ⅴ D)立即测定。用硅胶为填充剂(4.6mm×250mm,5μm);以正己烷-乙酸乙酯(97:3)为流动相;流速为每分钟2.0ml;检测波长为275nm。辅酶Q10峰的保留时间约为10分钟,异构体峰的相对保留时间约为0.9,异构体峰与辅酶Q10峰的分离度应符合要求。理论板数按辅酶Q10峰计算不低于3000。取对照溶液20μl注入液相色谱仪,调节检测灵敏度,使主成分色谱峰的峰高约为满量程的10%。精密量取供试品溶液和对照溶液各20μl,分别注入液相色谱仪,记录色谱图。供试品溶液色谱图中如有杂质峰,异构体峰面积不得大于对照溶液的主峰面积(0.5%)。
3.7.3 水分
取本品,以三氯甲烷为溶剂,照水分测定法(2010年版药典二部附录Ⅷ M第一法 A)测定,含水分不得过0.2%。
3.7.4 炽灼残渣
取本品1.0g,依法检查(2010年版药典二部附录Ⅷ N),遗留残渣不得过0.1%。
3.7.5 重金属
取炽灼残渣项下遗留的残渣,依法检查(2010年版药典二部附录Ⅷ H),含重金属不得过百万分之二十。
3.8 含量测定
照高效液相色谱法(2010年版药典二部附录Ⅴ D)测定。避光操作。
3.8.1 色谱条件与系统适用性试验
用十八烷基硅烷键合硅胶为填充剂;以甲醇-无水乙醇(1:1)为流动相;柱温35℃;检测波长为275nm。取辅酶Q10对照品和辅酶Q9适量,用无水乙醇溶解并制成每1ml中各约含0.2mg的混合溶液,取20μl注入液相色谱仪,辅酶Q9峰与辅酶Q10峰的分离度应大于4,理论板数按辅酶Q10峰计算不低于3000。
3.8.2 测定法
取本品20mg,精密称定,加无水乙醇约40ml,在50℃水浴中振摇溶解,放冷后,移至100ml量瓶中,用无水乙醇稀释至刻度,摇匀,作为供试品溶液,精密量取20μl,注入液相色谱仪,记录色谱图;另取辅酶Q10对照品适量,同法测定。按外标法以峰面积计算,即得。
3.9 类别
辅酶类药。
3.10 贮藏
3.11 制剂
(1)辅酶Q10片 (2)辅酶Q10软胶囊 (3)辅酶Q10注射液 (4)辅酶Q10胶囊
3.12 版本
《中华人民共和国药典》2010年版