3 基本信息
ICS 13.100
CCS C 57
中华人民共和国国家职业卫生标准GBZ 117—2022《工业探伤放射防护标准》(Standard for radiological protection in industrial radiography)由中华人民共和国国家卫生健康委员会2022年10月13日《关于发布〈工业探伤放射防护标准〉等3项国家职业卫生标准的通告》(国卫通〔2022〕10 号)发布,该标准代替 GBZ 117—2015,GBZ 132—2008,GBZ 175—2006,自2023年3月1日起施行,GBZ 117—2015、GBZ 132—2008、GBZ 175—2006同时废止。
4 发布通知
关于发布《工业探伤放射防护标准》等3项国家职业卫生标准的通告
国卫通〔2022〕10 号
现发布《工业探伤放射防护标准》等3项国家职业卫生标准,编号和名称如下:
一、强制性国家职业卫生标准
GBZ 117—2022 工业探伤放射防护标准(代替GBZ 117—2015、GBZ 132—2008、GBZ 175—2006)
二、推荐性国家职业卫生标准
GBZ/T 164—2022 核动力厂操纵人员健康标准(代替GBZ/T164—2004)
上述标准自2023年3月1日起施行,GBZ 117—2015、GBZ 132—2008、GBZ 175—2006、GBZ/T164—2004同时废止。
特此通告。
国家卫生健康委
2022年10月13日
5 前言
根据《中华人民共和国职业病防治法》制定本标准。
本标准代替 GBZ 117—2015《工业X射线探伤放射防护要求》、GBZ 132—2008《工业γ射线探伤放射防护标准》、GBZ 175—2006《γ 射线工业 CT 放射卫生防护标准》。与GBZ 117—2015、GBZ 132—2008和GBZ 175—2006相比,除结构调整和编辑性改动外,主要技术变化如下:
a) 更改了探伤机放射防护性能的要求(见第 5 章,GBZ 117—2015 的 3.1.1、3.1.2、3.1.3、3.1.4,GBZ 132—2008 版的 4.1~4.8);
b) 增加了“使用单位放射防护要求”(见第 4 章);
c) 更改了控制区距离的估算(见附录 A,GBZ 132—2008 的附录 C);
d) 将放射防护要求场所相关的空气比释动能率更改为周围剂量当量率(见表 1、表 2、6.1.3、6.1.4、7.2.2、7.2.8、7.5.2.4、8.4.2,GBZ 117—2015 的表 1,GBZ132—2008 的表 1、6.1、7.3.1、7.3.6、7.5.5、8.2.2 c));
e) 删除了γ探伤机性能验收检测的内容(见 GBZ 132—2008 的 11.2);
f) 删除了管道爬行探伤装置、γ探伤机快门形式的示意图(见 GBZ 132—2008 的附录 A、附录 B )。
本标准由国家卫生健康标准委员会放射卫生标准专业委员会负责技术审查和技术咨询,由中国疾病预防控制中心负责协调性和格式审查,由国家卫生健康委职业健康司负责业务管理、法规司负责统筹管理。
本标准起草单位:山东省医学科学院放射医学研究所、国家卫生健康委职业安全卫生研究中心、广东省职业病防治院、北京市职业病防治研究院、北京市疾病预防控制中心。
本标准主要起草人:邓大平、李海亮、张震、邹剑明、刘澜涛、冯泽臣。
本标准所代替标准的历次版本发布情况为:
——GBZ 117:
 1996 年首次发布为 GB 16357—1996;
 2002 年第一次修订,转化为 GBZ 117—2002;
 2006 年第二次修订时,并入了 GBZ/T 150—2002《工业 X 射线探伤卫生防护监测规范》(GBZ/T150—2002 的历次版本发布情况为:GB/T17150—1997);
 2015 年第三次修订;
——GBZ 132:
 2001 年首次发布为 GB 18465 布为布情况;
 2002 年第一次修订,转化为 GBZ 132—2002;
 2008 年第二次修订;
——GBZ 175,2006年首次发布。
6 标准正文
工业探伤放射防护标准
6.1 1 范围
本标准适用于使用600 kV及以下的X射线探伤机和γ射线探伤机进行的探伤工作(包括固定式探伤和移动式探伤),工业CT探伤和非探伤目的同辐射源范围的无损检测参考使用。
本标准不适用于加速器和中子探伤机进行的工业探伤工作。
6.2 2 规范性引用文件
下列文件中的内容通过文中的规范性引用而构成本标准必不可少的条款。其中,注日期的引用文件,仅该日期对应的版本适用于本标准;不注日期的引用文件,其最新版本(包括所有的修改单)适用于本标准。
GB 11806 放射性物质安全运输规程
GB/T 14058γ射线探伤机
GB 18871 电离辐射防护与辐射源安全基本标准
GB/T 26837 无损检测仪器 固定式和移动式工业X射线探伤机
GBZ 98 放射工作人员健康要求及监护规范
GBZ 128 职业性外照射个人监测规范
GBZ/T 250 工业X射线探伤室辐射屏蔽规范
GA 1002 剧毒化学品、放射源存放场所治安防范要求
6.3 3 术语和定义
下列术语和定义适用于本标准。
3.1
工业探伤 industry radiography
3.2
X 射线探伤机 X-ray radiography facilities
对物体内部结构进行 X 射线摄影或断层检查的设备总称,包括 X 射线管头组装体、控制箱及连接电缆。
注:X射线探伤机按照X射线发射的方向和窗口范围可分为定向式和周向式,按安装形式可分为固定式和移动式。
3.3
γ 射线探伤机 γ-ray radiography facilities
使用密封放射源发射的γ射线用于发现物体内部缺陷的设备,包括一个源容器及其附件。
注:按照源容器的可移动性可分为:
——便携式γ探伤机(P类),源容器便于人工搬运且质量不超过 50 kg;
——移动式γ探伤机(M类),源容器借助适当的工具能容易移动;
——固定式γ探伤机(F类),源容器是固定安装的或只能在某一特定区域内有限制地移动。
3.4
固定式探伤 stationary defect detecting
在探伤室内使用固定安装或可有限移动的探伤机产生的射线对物体进行照射成像,以检查其内部缺陷的方法。
3.5
移动式探伤 mobile defect detecting
在探伤室以外的生产车间、工地或安装现场等场地使用移动式探伤机产生的射线对物体进行照射成像,以检查其内部缺陷的方法。
3.6
换源器 source changer
用于更换γ射线探伤源组件的屏蔽容器。通常具有两个贮源孔,旧源从换源器的一个源孔被推进,新源从另一个源孔中被移出。
3.7
管道爬行器 pipe crawler
一种在管道内安装的移动式管道探伤装置,探伤装置机架安装在管道内,源在动力驱动下随同机架在管道内平移(前进或后退),对管道焊缝进行射线探伤。利用一个控制源控制探伤设备的前进方向与位置。
3.8
控制源 control source
3.9
使用单位 operating organization
利用工业探伤装置进行工业探伤的营运单位。
6.4 4 使用单位放射防护要求
4.1 开展工业探伤工作的使用单位对放射防护安全应负主体责任。
4.2 应建立放射防护管理组织,明确放射防护管理人员及其职责,建立和实施放射防护管理制度和措施。
4.3 应对从事探伤工作的人员按 GBZ 128 的要求进行个人剂量监测,按 GBZ 98 的要求进行职业健康监护。
4.4 探伤工作人员正式工作前应取得符合 GB/T 9445 要求的无损探伤人员资格。
6.5 5 探伤机的放射防护要求
6.5.1 5.1 X 射线探伤机
5.1.1 X 射线探伤机在额定工作条件下,距 X 射线管焦点 100 cm 处的漏射线所致周围剂量当量率应符合表 1 的要求,在随机文件中应有这些指标的说明。其他放射防护性能应符合 GB/T 26837 的要求。

5.1.2 工作前检查项目应包括:
a) 探伤机外观是否完好;
b) 电缆是否有断裂、扭曲以及破损;
c) 液体制冷设备是否有渗漏;
d) 安全联锁是否正常工作;
e) 报警设备和警示灯是否正常运行;
f) 螺栓等连接件是否连接良好;
g) 机房内安装的固定辐射检测仪是否正常。
5.1.3 X 射线探伤机的维护应符合下列要求:
a) 使用单位应对探伤机的设备维护负责,每年至少维护一次。设备维护应由受过专业培训的工作人员或设备制造商进行;
c) 当设备有故障或损坏需更换零部件时,应保证所更换的零部件为合格产品;
d) 应做好设备维护记录。
6.5.2 5.2 γ射线探伤机
6.5.2.1 5.2.1 源容器及其传输导管
5.2.1.1 当源容器装载最大活度值的密封源并处于锁定状态且装配好保护盖(若有)时,源容器外表面一定距离处的周围剂量当量率应不超过表 2 规定的控制值,随机文件中应有该指标的说明。其他放射防护性能应符合 GB/T 14058 的要求。

5.2.1.2 工作前检查项目主要包括:
d) 检查控制软轴末端是否有磨损、损坏(磨损标准由厂家提供),与控制导管是否有效连接;
e) 安全联锁是否工作正常;
f) 报警设备和警示灯运行是否正常;
g) 检查源容器和源传输导管是否连接牢固;
j) 测量源容器表面一定距离处的周围剂量当量率是否符合 5.2.1.1 的要求,并确认放射源处于屏蔽状态。
6.5.2.2 5.2.2 γ射线探伤机的维护
5.2.2.1 应定期对γ射线探伤机中涉及放射防护的部件进行检查维护,发现问题及时维修。维修γ射线探伤机时,应由厂家专业人员将放射源倒入换源器后进行。使用单位人员不应单独对探伤机进行维修。
5.2.2.2 应经常对γ射线探伤机的控制组件包括摇柄、源传输导管进行润滑擦洗,齿轮应经常添加润滑剂,并对源传输导管接头进行擦洗,避免灰尘和砂粒。
6.5.2.3 5.2.3 放射源的贮存和领用
5.2.3.1 使用单位应设立专用的放射源(或带源的探伤机)的贮存库。
5.2.3.2 移动式探伤工作间歇临时贮存含源容器或放射源、控制源,应在专用的贮存设施内贮存。现场存储设施包括可上锁的房间、专用存储箱或存储坑等。应具有与使用单位主要基地的存储设施相同级别的防护。临时贮存完毕,应进行巡测,确保存储安全。
5.2.3.3 放射源贮存设施应达到如下要求:
a) 严格控制对周围人员的照射、防止放射源被盗或损坏,并能防止非授权人员采取任何损伤自己或公众的行动,贮存设施门口应设置电离辐射警告标志;
b) 应能在常规环境条件下使用,结构上防火,远离腐蚀性和爆炸性等危险因素;
c) 在公众能接近的距外表面最近处,其屏蔽应能使该处周围剂量当量率小于 2.5 μSv/h 或者审管部门批准的控制水平;
d) 贮存设施的门应保持在锁紧状态,实行双人双锁管理;
e) 定期检查物品清单,确认探伤源、源容器和控制源的存放地点。
5.2.3.4 放射源的储存应符合 GA 1002 的相关要求。
5.2.3.5 使用单位应制定放射源领用及交还制度,建立领用台帐,明确放射源的流向,并有专人负责。
5.2.3.6 领用、交还含放射源的源容器时,应对离源容器外表面一定距离处的周围剂量当量率进行测量,确认放射源在源容器内。含放射源的源容器应按规定位置存放,领用和交还都应有详细的登记。
6.5.2.4 5.2.4 放射源的运输和移动
5.2.4.1 放射源的货运运输要求按 GB 11806 的规定执行,应满足 A 类与 B 类运输货包要求。在运输过程中,源窗应处于关闭状态,并有专门的锁定装置。
5.2.4.2 含源装置应置于储存设施内运输,只有在合适的源容器内正确锁紧并取出钥匙后方能移动。
5.2.4.3 在不涉及公用道路的厂区内移动时,应使用小型车辆或手推车,使含源装置处于人员监视之下。
6.5.2.5 5.2.5 废旧放射源的处理
使用单位应与生产销售单位签订废旧放射源返回协议,当放射源需报废时,应按照协议规定将废旧放射源返回生产单位或原出口方。放射源的购买及报废手续应遵照相应审管部门的具体规定,相关文件记录应归档保存。
6.6 6 固定式探伤的放射防护要求
6.6.1 6.1 探伤室放射防护要求
6.1.1 探伤室的设置应充分注意周围的辐射安全,操作室应避开有用线束照射的方向并应与探伤室分开。探伤室的屏蔽墙厚度应充分考虑源项大小、直射、散射、屏蔽物材料和结构等各种因素。无迷路探伤室门的防护性能应不小于同侧墙的防护性能。X 射线探伤室的屏蔽计算方法参见 GBZ/T 250。
6.1.2 应对探伤工作场所实行分区管理,分区管理应符合 GB 18871 的要求。
6.1.3 探伤室墙体和门的辐射屏蔽应同时满足:
a) 关注点的周围剂量当量参考控制水平,对放射工作场所,其值应不大于 100μSv/周,对公众场所,其值应不大于 5μSv/周;
b) 屏蔽体外 30cm 处周围剂量当量率参考控制水平应不大于 2.5μSv/h。
6.1.4 探伤室顶的辐射屏蔽应满足:
a) 探伤室上方已建、拟建建筑物或探伤室旁邻近建筑物在自辐射源点到探伤室顶内表面边缘所张立体角区域内时,探伤室顶的辐射屏蔽要求同 6.1.3;
b) 对没有人员到达的探伤室顶,探伤室顶外表面 30cm 处的周围剂量当量率参考控制水平通常可取 100μSv/h。
6.1.5 探伤室应设置门-机联锁装置,应在门(包括人员进出门和探伤工件进出门)关闭后才能进行探伤作业。门-机联锁装置的设置应方便探伤室内部的人员在紧急情况下离开探伤室。在探伤过程中,防护门被意外打开时,应能立刻停止出束或回源。探伤室内有多台探伤装置时,每台装置均应与防护门联锁。
6.1.6 探伤室门口和内部应同时设有显示“预备”和“照射”状态的指示灯和声音提示装置,并与探伤机联锁。“预备”信号应持续足够长的时间,以确保探伤室内人员安全离开。“预备”信号和“照射”信号应有明显的区别,并且应与该工作场所内使用的其他报警信号有明显区别。在醒目的位置处应有对“照射”和“预备”信号意义的说明。
6.1.7 探伤室内和探伤室出入口应安装监视装置,在控制室的操作台应有专用的监视器,可监视探伤室内人员的活动和探伤设备的运行情况。
6.1.8 探伤室防护门上应有符合 GB 18871 要求的电离辐射警告标志和中文警示说明。
6.1.9 探伤室内应安装紧急停机按钮或拉绳,确保出现紧急事故时,能立即停止照射。按钮或拉绳的安装,应使人员处在探伤室内任何位置时都不需要穿过主射线束就能够使用。按钮或拉绳应带有标签,标明使用方法。
6.1.10 探伤室应设置机械通风装置,排风管道外口避免朝向人员活动密集区。每小时有效通风换气次数应不小于 3 次。
6.1.11 探伤室应配置固定式场所辐射探测报警装置。
6.6.2 6.2 探伤室探伤操作的放射防护要求
6.2.1 对正常使用的探伤室应检查探伤室防护门-机联锁装置、照射信号指示灯等防护安全措施。
6.2.2 探伤工作人员在进入探伤室时,除佩戴常规个人剂量计外,还应携带个人剂量报警仪和便携式X-γ剂量率仪。当剂量率达到设定的报警阈值报警时,探伤工作人员应立即退出探伤室,同时防止其他人进入探伤室,并立即向辐射防护负责人报告。
6.2.3 应定期测量探伤室外周围区域的剂量率水平,包括操作者工作位置和周围毗邻区域人员居留处。测量值应与参考控制水平相比较。当测量值高于参考控制水平时,应终止探伤工作并向辐射防护负责人报告。
6.2.4 交接班或当班使用便携式 X-γ剂量率仪前,应检查是否能正常工作。如发现便携式 X-γ剂量率仪不能正常工作,则不应开始探伤工作。
6.2.5 探伤工作人员应正确使用配备的辐射防护装置,如准直器和附加屏蔽,把潜在的辐射降到最低。
6.2.6 在每一次照射前,操作人员都应该确认探伤室内部没有人员驻留并关闭防护门。只有在防护门关闭、所有防护与安全装置系统都启动并正常运行的情况下,才能开始探伤工作。
6.2.7 开展探伤室设计时未预计到的工作,如工件过大等特殊原因必须开门探伤的,应遵循本标准第7.1 条~第 7.4 条的要求。
6.6.3 6.3 探伤设施的退役
当工业探伤设施不再使用,应实施退役程序。包括以下内容:
a) 有使用价值的γ放射源可在获得监管机构批准后转移到另一个已获使用许可的机构,或者按照本标准第 5.2.5 条中废旧放射源的处理要求执行。
b) 掺入贫铀的屏蔽装置应与γ射线源一样对待。
c) X 射线发生器应处置至无法使用,或经监管机构批准后,转移给其他已获许可机构。
d) 包含低活度γ射线源的管道爬行器,应按照相关要求执行。
e) 当所有辐射源从现场移走后,使用单位按监管机构要求办理相关手续。
f) 清除所有电离辐射警告标志和安全告知。
g) 对退役场所及相关物品进行全面的辐射监测,以确认现场没有留下放射源,并确认污染状况。
6.7 7 移动式探伤的放射防护要求
6.7.1 7.1 作业前准备
7.1.1 在实施移动式探伤工作之前,使用单位应对工作环境进行全面评估,以保证实现安全操作。评估内容至少应包括工作地点的选择、接触的工人与附近的公众、天气条件、探伤时间、是否高空作业、作业空间等。应考虑移动式探伤对工作场所内其他的辐射探测系统带来的影响(如烟雾报警器等)。
7.1.2 使用单位应确保开展移动式探伤工作的每台探伤机至少应配备两名专职工作人员。
7.1.3 移动式探伤工作如在委托单位的工作场地实施准备和规划,使用单位应与委托单位协商适当的探伤地点和探伤时间、现场的通告、警告标识和报警信号等,避免造成混淆。委托单位应给予探伤作业人员充足的时间以确保探伤工作的安全开展和所需安全措施的实施。
6.7.2 7.2 分区设置
7.2.1 探伤作业时,应对工作场所实行分区管理,将工作场所划分为控制区和监督区。并在相应的边界设置警示标识。现场射线探伤工作应在指定为控制区的区域内进行。
7.2.2 一般应将作业场所中周围剂量当量率大于 15μSv/h 的区域划为控制区。
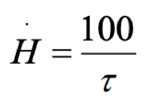
a) 对于 X 射线探伤,如果每周实际开机时间高于 7 h,控制区边界周围剂量当量率应按公式(1)计算:
........................................ (1)
式中:
——控制区边界周围剂量当量率,单位为微希沃特每小时(μSv/h);
100 ——5mSv 平均分配到每年 50 工作周的数值,即 100μSv/周;
——每周实际开机时间,单位为小时(h)。
b) 对于γ射线探伤,控制区距离的估算方法参见本标准附录 A。
7.2.3 控制区边界上合适的位置应设置电离辐射警告标志并悬挂清晰可见的“禁止进入射线工作区”警告牌,探伤作业人员应在控制区边界外操作,否则应采取专门的防护措施。
7.2.4 控制区的边界尽可能设定实体屏障,包括利用现有结构(如墙体)、临时屏障或临时拉起警戒线(绳)等。
7.2.5 移动式探伤作业工作过程中,控制区内不应同时进行其他工作。为了使控制区的范围尽量小,应使用合适的准直器并充分考虑探伤机和被检物体的距离、照射方向、时间和现场屏蔽等条件。视情况采用局部屏蔽措施。
7.2.6 每一个探伤作业班组应至少配备一台便携式 X-γ剂量率仪,并定期对其开展检定/校准工作。应配备能在现场环境条件下可听见、看见或产生震动信号的个人剂量报警仪。
7.2.7 探伤作业期间还应对控制区边界上代表点的剂量率进行检测,尤其是探伤的位置在此方向或射线束的方向发生改变时,适时调整控制区的边界。
7.2.8 应将控制区边界外、作业时周围剂量当量率大于 2.5μSv/h 的范围划为监督区,并在其边界上悬挂清晰可见的“无关人员禁止入内”警告牌,必要时设专人警戒。
7.2.9 移动式探伤工作在多楼层的工厂或工地实施时,应防止移动式探伤工作区上层或下层的人员通过楼梯进入控制区。
7.2.10 探伤机控制台(X 射线发生器控制面板或γ射线绕出盘)应设置在合适位置或设有延时开机装置,以便尽可能降低操作人员的受照剂量。
6.7.3 7.3 安全警示
7.3.1 委托单位(业主单位)应配合做好探伤作业的辐射防护工作,通过合适的途径提前发布探伤作业信息,应通知到所有相关人员,防止误照射发生。
7.3.2 应有提示“预备”和“照射”状态的指示灯和声音提示装置。“预备”信号和“照射”信号应有明显的区别,并且应与该工作场所内使用的其他报警信号有明显区别。夜晚作业时控制区边界应设置警示灯。
7.3.3 X 和γ射线探伤的警示信号指示装置应与探伤机联锁。
7.3.4 在控制区的所有边界都应能清楚地听见或看见“预备”信号和“照射”信号。
7.3.5 应在监督区边界和建筑物进出口的醒目位置张贴电离辐射警告标志和警示语等提示信息。
6.7.4 7.4 边界巡查与检测
7.4.1 开始移动式探伤之前,探伤工作人员应确保在控制区内没有任何其他人员,并防止有人进入控制区。
7.4.2 控制区的范围应清晰可见,工作期间应有良好的照明,确保没有人员进入控制区。如果控制区太大或某些地方不能看到,应安排足够的人员进行巡查。
7.4.3 在试运行(或第一次曝光)期间,应测量控制区边界的剂量率以证实边界设置正确。必要时应调整控制区的范围和边界。
7.4.4 开始移动式探伤工作之前,应对便携式 X-γ剂量率仪进行检查,确认能正常工作。在移动式探伤工作期间,便携式 X-γ剂量率仪应一直处于开机状态,防止射线曝光异常或不能正常终止。
7.4.5 移动式探伤期间,工作人员除进行常规个人监测外,还应佩戴个人剂量报警仪。个人剂量报警仪不能替代便携式 X-γ剂量率仪,两者均应使用。
6.7.5 7.5 移动式探伤操作要求
6.7.5.1 7.5.1 X 射线移动式探伤
7.5.1.1 周向式探伤机用于移动式探伤时,应将 X 射线管头组装体置于被探伤物件内部进行透照检查。做定向照射时应使用准直器(仅开定向照射口)。
7.5.1.2 应考虑控制器与 X 射线管和被检物体的距离、照射方向、时间和屏蔽条件等因素,选择最佳的设备布置,并采取适当的防护措施。
6.7.5.2 7.5.2 γ射线移动式探伤
7.5.2.1 应根据要进行射线探伤的物体的类型和尺寸,确定所使用的放射性核素。对于有多个γ射线源的使用单位,应使用与获得所需射线照片相一致的最低活度源。
7.5.2.2 探伤作业开始前应备齐下列防护相关物品,并使其处于正常状态:
b) 导向管,控制缆和遥控;
c) 准直器和局部屏蔽;
d) 现场屏蔽物;
e) 警告提示和信号;
g) 其他辅助设备,例如:夹钳和定位辅助设施。
7.5.2.3 探伤工作完成后,操作人员应使用便携式 X-γ 剂量率仪进行监测,以确保所有 γ 放射源均已完全退回源容器中,并且没有任何放射源留在曝光位置或脱落。操作人员在离开现场之前,应进行目视检查,以确保设备没有损坏。应通过锁定曝光设备并将防护屏蔽放在适当位置来准备好运输设备。曝光装置和辅助设备应物理固定在车辆中,以免在运输过程中脱落(或掉落)、损坏。
7.5.2.4 对管道爬行探伤的特殊要求如下:
a) 管道爬行器工作期间应给出在嘈杂环境中能被听到和看到的警告信号。
b) 爬行器在管道内照射时,应按照 7.2 的要求,围绕管道设置控制区和监督区。
c) 应对控制源进行严格定位,防止其启动无计划的照射。
d) 在管道爬行器不能自动来回、需要人工找回之前,应确保爬行器处在关闭状态。
e) 爬行器的放射源处在关闭状态时,在能接近的管道周围产生的周围剂量当量率不应超过100μSv/h。
7.5.2.5 对水下γ射线探伤的特殊要求如下:
a) 应对潜水员进行适当的专业培训。
b) 探伤机入水之前,应确保控制机构、导向管和照射容器紧密连接,检查连接点确认连接牢固,放射源组装体处于安全位置。
c) 应在照射容器上设置浮漂和应急定位装置(如闪光灯)。
6.8 8 放射防护检测
6.8.1 8.1 检测的一般要求
6.8.1.1 8.1.1 检测计划
使用单位应制定放射防护检测计划。在检测计划中应对检测位置、检测频率以及检测结果的保存等作出规定,并给出每一个测量位置的参考控制水平和超过该参考控制水平时应采取的行动措施。
6.8.1.2 8.1.2 检测仪器
应选用合适的放射防护检测仪器,并按规定进行定期检定/校准,取得相应证书。使用前,应对辐射检测仪器进行检查,包括是否有物理损坏、调零、电池、仪器对射线的响应等。
6.8.2 8.2 探伤机检测
6.8.2.1 8.2.1 防护性能检测
6.8.2.1.1 8.2.1.1 检测方法
X射线探伤机防护性能检测方法按GB/T 26837的要求进行;γ射线探伤机防护性能检测方法按GB/T 14058的要求进行。
6.8.2.1.2 8.2.1.2 检测周期
使用单位应每年对探伤机的防护性能进行检测。探伤机移动后,应进行安全装置的性能检测。
6.8.2.1.3 8.2.1.3 结果评价
X射线探伤机防护性能检测结果评价按本标准第5.1.1条的要求。γ射线探伤机防护性能检测结果评价按本标准第5.2.1.1条的要求。
6.8.2.2 8.2.2 密封放射源泄漏检验
6.8.2.2.1 8.2.2.1 检验方法
用滤纸或软质材料沾取5%EDTA-Na2溶液或其他去污剂擦拭密封导向管内壁,测量擦拭物的放射性,如有明显增高(例如20 Bq),应将放射源送回生产厂家进一步检验。
6.8.2.2.2 8.2.2.2 检验周期
每年对探伤机放射源传输管道进行放射性污染检验,检查放射源的密封性能。
6.8.3 8.3 探伤室放射防护检测
6.8.3.1 8.3.1 检测条件
检测条件应符合如下要求:
a) X 射线探伤机应在额定工作条件下、探伤机置于与测试点可能的最近位置,如使用周向式探伤机应使装置处于周向照射状态;主屏蔽的检测应在没有探伤工件时进行,副屏蔽的检测应在有探伤工件时进行。
b) γ射线探伤验收检测时,应在额定装源活度、没有探伤工件、探伤机置于与测试点可能的最近位置进行;常规检测时,按照实际工作状态进行检测。
6.8.3.2 8.3.2 辐射水平巡测
探伤室的放射防护检测,特别是验收检测时应首先进行周围辐射水平的巡测,用便携式X-γ剂量率仪巡测探伤室墙壁外30 cm处的辐射水平,以发现可能出现的高辐射水平区。巡测时应注意:
a) 巡测范围应根据探伤室设计特点、照射方向及建造中可能出现的问题决定,并关注天空反散射对周围的剂量影响;
b) 无固定照射方向的探伤室在有用线束照射四面屏蔽墙时,应巡测墙上不同位置及门、门四周的辐射水平;探伤室四面屏蔽墙外及楼上如有人员活动的可能,应巡测墙上不同位置及门外 30cm门四周的辐射水平。
c) 设有窗户的探伤室,应特别注意巡测窗外不同距离处的辐射水平。
6.8.3.3 8.3.3 辐射水平定点检测
一般情况下应检测以下各点:
a) 通过巡测发现的辐射水平异常高的位置;
b) 探伤室门外 30 cm 离地面高度为 1 m 处,门的左、中、右侧 3 个点和门缝四周各 1 个点;
c) 探伤室墙外或邻室墙外 30 cm 离地面高度为 1m 处,每个墙面至少测 3 个点;
d) 人员可能到达的探伤室屋顶或探伤室上层(方)外 30 cm 处,至少包括主射束到达范围的 5个检测点;
e) 人员经常活动的位置;
f) 每次探伤结束后,检测探伤室的入口,以确保探伤机已经停止工作。
6.8.3.4 8.3.4 检测周期
探伤室建成后应进行验收检测;投入使用后每年至少进行1次常规检测。当γ射线探伤放射源的活度增加时,或者X射线探伤机额定电压增大时,应重新测量上述辐射水平,并根据测量结果对防护措施或设施做出合适的改进。
6.8.3.5 8.3.5 结果评价
探伤室周围辐射水平应符合本标准第6.1.3条和第6.1.4条的要求。
6.8.4 8.4 移动式探伤放射防护检测
6.8.4.1 8.4.1 检测要求
8.4.1.1 进行移动式探伤时,应通过巡测确定控制区和监督区。
8.4.1.2 当 X 射线探伤机或γ放射源、场所、被检物体(材料、规格、形状)、照射方向、屏蔽等条件发生变化时,均应重新进行巡测,确定新的划区界线。
8.4.1.3 在工作状态下应检测操作位置,确保操作位置的辐射水平是可接受的。
8.4.1.4 探伤机停止工作时,应检测操作者所在位置的辐射水平,以确认探伤机确已停止工作。
6.8.4.2 8.4.2 检测方法
在探伤机处于照射状态,用便携式X-γ剂量率仪从探伤位置四周由远及近测量周围剂量当量率,参照本标准第7.2.2条确定的剂量率值确定控制区边界,以2.5 μSv/h为监督区边界。γ射线探伤机收回放射源至屏蔽位置或X射线探伤机停止照射后,确定控制区边界和监督区边界。
6.8.4.3 8.4.3 检测周期
每次移动式探伤作业时,运营单位均要开展此项监测。凡属下列情况之一时,应由有相应资质的技术服务机构进行此项监测:
a) 新开展现场射线探伤的单位;
b) 每年抽检一次;
c) 在居民区进行的移动式探伤;
d) 发现个人季度剂量(3 个月)可能超过 1.25 mSv。
6.8.4.4 8.4.4 结果评价
控制区边界不应超过本标准第7.2.2条确定的剂量率值,监督区边界不应超过2.5μSv/h。
6.8.5 8.5 放射工作人员个人监测
7 附录A(资料性)γ射线移动式探伤控制区距离的估算
7.1 A.1 控制区距离标识
根据放射源的γ射线向各个方向辐射时的不同情况,确定三类不同的控制区距离,如图A.1所示。

图A.1 应用屏蔽物的控制区(无比例)
7.2 A.2 控制区距离的确定
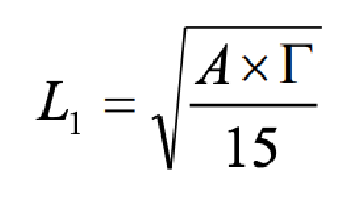
对于移动式探伤,控制区边界的周围剂量当量率为15μSv/h,可由公式(A.1)计算确定控制区的距离:
.................................... (A.1)
式中:
A ——放射源的活度,单位为兆贝可(MBq);
Γ——周围剂量当量率常数,单位为微希沃特平方米每兆贝可每小时[μSv·m2(/ MBq·h)],见表A.1;

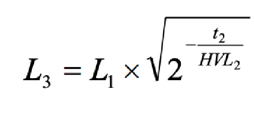
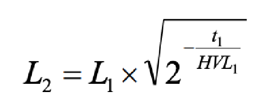
L2和L3分别由L1乘以检测工件和放射源屏蔽物(照射容器壁)屏蔽衰减因子获得。有用线束方向,经检测对象屏蔽后要求的控制区距离的计算见公式(A.2):
.................................. (A.2)
式中:
t1——被检测工件的厚度,单位为毫米(mm);
HVL1——被检测工件的半值层厚度,单位为毫米(mm),近似值见表A.2。
有用线束方向以外,经源容器或其他屏蔽物屏蔽后要求的控制区距离的计算见公式(A.3):
.................................. (A.3)
式中:
L3——有用线束方向以外,经源容器或其他屏蔽物屏蔽后要求的控制区距离值,单位为米(m);
t2——源容器或其他屏蔽物厚度,单位为毫米(mm);
HVL2——源容器或其他屏蔽物的半值层厚度,单位为毫米(mm),近似值见表A.2。

7.3 A.3 估算示例
192Ir,放射源活度1.85×1012Bq,检测对象为结构钢,厚度28mm(2HVL),放射源屏蔽物(照射容器壁)为钨制,厚25mm(10HVL)。
由公式(A.1)计算L1:

由公式(A.2)计算L2 :

由公式(A.3)计算L3 :

8 参考文献
[1] INTERNATIONAL ATOMIC ENERGY AGENCY, Radiation Safety in Industrial Radiography. IAEA SAFETY STANDARDS SERIES No. SSG-11(Specific Safety Guide), IAEA,Vienna (2011).
[2] INTERNATIONAL ATOMIC ENERGY AGENCY, Occupational Radiation Protection. IAEA SAFETY STANDARDS SERIES No. GSG-7, IAEA,Vienna (2018).
[3] American National Standards Institute, Inc. For General Radiation Safety – Installations Using Non-Medical X-Ray and Sealed Gamma-Ray Sources, Energies Up to 10 MeV,ANSI/HPS N43.3,ANSI,2008.
[4] National Council on Radiation Protection and Measurements. Structural Shielding and Evaluation for Medical Use of X-Rays and Gamma-Rays of Energies Up To 10 MeV, NCRP Report 49, NCRP, Bethesda, MD, 1976.
10 《工业探伤放射防护标准》解读
GBZ 117—2015《工业X射线探伤放射防护要求》、GBZ 132—2008《工业γ射线探伤放射防护标准》和GBZ 175—2006《γ射线工业CT放射卫生防护标准》3项标准自颁布以来,对提高工业射线探伤放射工作人员职业健康水平、降低工业射线探伤放射事故的发生率发挥了重要作用。
随着《中华人民共和国职业病防治法》等法律法规、相关放射防护标准的修订,以及工业射线探伤技术的改进,上述标准已难以满足对工业射线探伤的放射防护要求,为方便监督管理部门、探伤从业人员以及监测评价等相关人员使用,对上述3项标准进行整合修订。
修订的主要内容如下:
(2)增加了“使用单位放射防护要求”;
(3)更改了控制区距离的估算;
(4)将放射防护要求场所相关的空气比释动能率更改为周围剂量当量率;
(6)删除管道爬行探伤装置、γ探伤机快门形式的示意图。