胸苷二磷酸
| A+医学百科 >> 胸苷二磷酸 |
| 胸苷二磷酸 | |
|---|---|
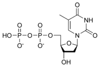
| IUPAC名 Thymidine 5'-(trihydrogen diphosphate) |
|
| 识别 | |
| CAS号 | 1861-44-5 |
| SMILES |
|
| MeSH | thymidine+diphosphate |
| 性质 | |
| 化学式 | C10H16N2O11P2 |
| 摩尔质量 | 402.19 g·mol⁻¹ |
| 若非注明,所有数据均出自一般条件(25 ℃,100 kPa)下。 | |
胸苷二磷酸(Thymidine diphosphate,TDP)为一种核苷酸,分子中包含焦磷酸基团、五碳糖,以及碱基胸苷。
|
|||||||||||||||||||||||||||
参考来源
出自A+医学百科 “胸苷二磷酸”条目 http://www.ye8.net/yixueshu/w/%E8%83%B8%E8%8B%B7%E4%BA%8C%E7%A3%B7%E9%85%B8 转载请保留此链接
| 关于“胸苷二磷酸”的留言: | |
|
目前暂无留言 | |
| 添加留言 | |