焦磷酸
| A+医学百科 >> 焦磷酸 |
名称:焦磷酸;
英文名称:pyrophosphoric acid (PPi)
英文别名:Diphosphoric acid
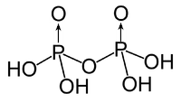
分子式: H4P2O7
简式:P~P
分子量:177.97
CAS No.: 2466-09-3
物理性质:
无色黏稠液体,久置生成结晶,为无色玻璃状;
密度:2.04g/cm3(25℃);
熔点:71.5 °C。
化学性质
1.用水稀释易变为正磷酸
H4P2O7+H2O===2H3PO4
易溶于水,其水溶液有强酸性
K1=7.5E-1
K2=6.2E-2
K3=1.7E-6
K4=6.0E-9
(焦磷酸、四偏磷酸或其他多聚磷酸的链状和环状结构是正磷酸脱水缩合而成的,均为缩合酸。一般缩合酸的酸性均大于单酸,这是因为缩合酸根离子体积大,其表面的负电荷密度降低很多,因此缩合酸易解离出质子。同类含氧酸的缩合程度越大,酸性越强)
2.焦磷酸根遇银盐得白色焦磷酸银沉淀,在溶液中P2O74-转化为PO43-的速率非常慢,可用此反应鉴别P2O74-和PO43-(Ag3PO4为黄色沉淀);
P2O74-+4Ag+======Ag4P2O7↓
3.焦磷酸根有很强的配位性,过量的P2O74-能使难溶的焦磷酸盐(Cu2+、Ag+、Zn2+、Mg2+、Ca2+、Sn2+等)溶解形成配离子,如[Cu(P2O7)2]2-、[Sn(P2O7)2]2-等。
制备方法;
1.由正磷酸热至519K,失水而成焦磷酸;
2H3PO4==519K==H4P2O7+H2O
2.纯焦磷酸可由加热正磷酸和三氯氧磷制得:
5H3PO4+POCl3==△==3H4P2O7+3HCl
3.纯焦磷酸也可由磷酸氢钠加热得焦磷酸钠,将其溶解,转化成焦磷酸铅沉淀,再通入硫化氢,过滤将滤液真空低温浓缩即得。
4.常用作催化剂,制有机磷酸酯等。
出自A+医学百科 “焦磷酸”条目 http://www.ye8.net/yixueshu/w/%E7%84%A6%E7%A3%B7%E9%85%B8 转载请保留此链接
| 关于“焦磷酸”的留言: | |
|
目前暂无留言 | |
| 添加留言 | |

