(一)吡咯、咪唑及其衍生物
吡咯存在于煤焦油和骨焦油中,为无色液体,沸点131℃。吡喀的蒸气可使浸有盐酸的松木片产生红色,称为吡咯的松木片反应。
吡咯的衍生物广泛分布于自然界,叶绿素、血红素、维生素B12及许多生物碱中都含有吡咯环。
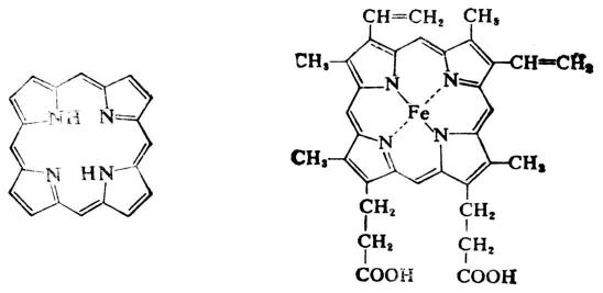
四个吡咯环的α碳原子通过四个次甲基(-CH=)交替连接构成的大环叫卟吩环,旧称环。卟吩的成环原子都在同一平面上,是一个复杂的共轭体系。卟吩本身在自然界中不存在,它的取代物称为卟啉类化合物,却广泛存在。卟吩能以共价键和配位键与不同的金属原子结合,如血红素的分子结构中结合的是亚铁原子。
血红素与蛋白质结合成为血红蛋白,存在于哺乳动物的红细胞中,是运输氧气的物质。

卟吩 血红素
咪唑的衍生物广泛存在于自然界,如蛋白质组成成分之一的组氨酸。组氨酸经酶的作用或体内分解,可脱羧变成组胺。

组氨酸组胺
组胺有收缩血管的作用。人体内组胺含量过多时会发生过敏反应。
(二)吡啶的重要衍生物
吡啶的重要衍生物有烟酸、烟酰胺、异烟肼等。

烟酸和烟酰胺两者组成维生素PP。它们是B族维生素之一,体内缺乏时能引起糙皮病。烟酸还具有扩张血管及降低血胆固醇的作用。
异烟肼又叫雷米封(Rimifon),为无色晶体或粉末,易溶于水,微溶于乙醇而不溶于乙醚。异烟肼具有较强的抗结核作用,是常用治疗结核病的口服药。
(三)嘧啶及其衍生物
嘧啶是含有两个氮原子的六元杂环化合物。它是无色固体,熔点22℃,易溶于水,具有弱碱性。

嘧啶
嘧啶可以单独存在,也可与其它环系稠合而存在于维生素、生物碱及蛋白质中。许多合成药物如巴比妥类药物、磺胺嘧啶等,都含有嘧啶环。
嘧啶的衍生物如胞嘧啶,尿嘧啶和胸腺嘧啶是核酸的组成成分。

上述嘧啶衍生物有酮式和烯醇式的互变异构现象。如尿嘧啶的互变异构:

(四)嘌呤及其衍生物
嘌呤是咪唑环和嘧啶环稠合而成的稠杂环。嘌呤环共有四个氮原子,环的编号比较特殊,它有两种互变异构体,常用标氢法区别。

结晶态嘌呤为(Ⅰ)式,在水溶液中(Ⅰ)式与(Ⅱ)式则以等比例共存。药物分子中一般多为7H-嘌呤(Ⅰ式)衍生物,生物体中则9H-嘌呤(Ⅱ式)更为常见。
嘌呤为无色晶体。熔点216-217℃,易溶于水,能与强酸或强碱成盐。
嘌呤本身在自然界并不存在,但它的衍生物分布广,而且重要,如腺嘌呤、鸟嘌呤等都是核酸的组成成分。

腺嘌呤(A) 鸟嘌呤(G)
(6-氨基嘌呤) (2-氨基-6-羟基嘌呤)
次黄嘌呤、黄嘌呤和尿酸是腺嘌呤和鸟嘌呤在体内的代谢产物,存在于哺乳动物的尿和血中。

次黄嘌呤黄嘌呤尿酸
(6-氧嘌呤) (2,6-二氧嘌呤)(2,6,8-三氧嘌呤)
尿酸为无色晶体,极难溶于水,有弱酸性。健康的人每天尿酸的排泄量约为0.5-1g。如代谢紊乱而致尿酸含量过高时,可能沉积形成尿结石。当血中的尿酸含量过高时,可能沉积在关节等处,形成痛风石。
上述嘌呤衍生物均有酮式和烯醇式的互变异构现象。如尿酸和黄嘌呤。
尿酸:

酮式烯醇式
黄嘌呤:

酮式 烯醇式