2 英文參考
ceftriaxone sodium[湘雅醫學專業詞典]
3 頭孢曲松鈉藥典標準
3.1 品名
3.1.1 中文名
3.1.2 漢語拼音
Toubaoqusongna
3.1.3 英文名
Ceftriaxone Sodium
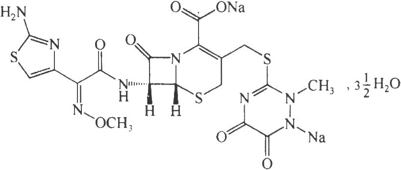
3.2 結構式

3.3 分子式與分子量
C18H16N8Na2O7S3·3.5H2O 661.59
3.4 來源(名稱)、含量(效價)
本品爲(6R,7R)-7-[[(2-氨基-4-噻唑基)(甲氧亞氨基)乙酰]氨基]-8-氧代-3-[[(1,2,5,6-四氫-2-甲基-5,6-二氧代-1,2,4-三嗪-3-基)硫代]甲基]-5-硫代-1-氮雜雙環[4.2.0]辛-2-烯-2-羧酸二鈉鹽三倍半水合物。按無水物計算,含頭孢曲松(C18H18N8O7S3)不得少於84.0%。
3.5 性狀
本品爲白色或類白色結晶性粉末;無臭。
3.5.1 比旋度
取本品,精密稱定,加水溶解並定量稀釋製成每1ml中約含10mg的溶液,依法測定(2010年版藥典二部附錄Ⅵ E),比旋度爲-153°至-170°。
3.5.2 吸收係數
取本品,精密稱定,加水溶解並定量稀釋製成每1ml中約含10μg的溶液,照紫外-可見分光光度法(2010年版藥典二部附錄Ⅳ A),在241nm的波長處測定吸光度,吸收係數
爲495~545。
3.6 鑑別
(1)在含量測定項下記錄的色譜圖中,供試品溶液主峯的保留時間應與對照品溶液主峯的保留時間一致。
(2)本品的紅外光吸收圖譜應與對照的圖譜(《藥品紅外光譜集》124圖)一致。
(3)本品顯鈉鹽鑑別(1)的反應(2010年版藥典二部附錄Ⅲ)。
3.7 檢查
3.7.1 結晶性
取本品,依法檢查(2010年版藥典二部附錄Ⅸ D),應符合規定。
3.7.2 酸鹼度
取本品,加水製成每1ml中約含0.12g的溶液,依法測定(2010年版藥典二部附錄Ⅵ H),pH值應爲6.0~8.0。
3.7.3 溶液的澄清度與顏色
取本品5份,各0.6g,分別加水5ml溶解後,溶液應澄清無色;如顯渾濁,與1號濁度標準液(2010年版藥典二部附錄Ⅸ B)比較,均不得更濃;如顯色,與黃色、黃綠色或橙黃色7號標準比色液(2010年版藥典二部附錄Ⅸ A第一法)比較,均不得更深。
3.7.4 有關物質
取本品適量,加流動相溶解並稀釋製成每1ml中約含0.22mg的溶液,作爲供試品溶液;精密量取1ml,置100ml量瓶中,用流動相稀釋至刻度,搖勻,作爲對照溶液。照含量測定項下的色譜條件,取對照溶液20μl注入液相色譜儀,調節檢測靈敏度,使主成分色譜峯的峯高約爲滿量程的20%,精密量取供試品溶液和對照溶液各20μl,分別注入液相色譜儀,記錄色譜圖至主成分峯保留時間的3.5倍,供試品溶液色譜圖中如有雜質峯,單個雜質峯面積不得大於對照溶液主峯面積的0.5倍(0.5%),各雜質峯面積的和不得大於對照溶液主峯面積的2倍(2.0%)。
3.7.5 頭孢曲松聚合物
照分子排阻色譜法(2010年版藥典二部附錄Ⅴ H)測定。
3.7.5.1 色譜條件與系統適用性試驗
用葡聚糖凝膠G-10 (40~120μm)爲填充劑,玻璃柱內徑1.0~1.4cm,柱長30~40cm。流動相A爲pH 7.0的0.1mol/L磷酸鹽緩衝液[0.1mol/L磷酸氫二鈉溶液-0.1mol/L磷酸二氫鈉溶液(61:39)],流動相B爲水,流速約爲每分鐘1.5ml,檢測波長爲254nm。取0.5mg/ml藍色葡聚糖2000溶液100~200μl,注入液相色譜儀,分別以流動相A、B爲流動相,記錄色譜圖,理論板數以藍色葡聚糖2000峯計算均不低於400,拖尾因子均應小於2.0。在兩種流動相系統中藍色葡聚糖2000峯保留時間的比值應在0.93~1.07之間,對照溶液主峯和供試品溶液中聚合物峯與相應色譜系統中藍色葡聚糖2000峯的保留時間的比值均應在0.93~1.07之間。稱取頭孢曲松鈉約0.2g,置10ml量瓶中,用0.4mg/ml的藍色葡聚糖2000溶液溶解並稀釋至刻度,搖勻。取100~200μl注入液相色譜儀,用流動相A進行測定,記錄色譜圖。高聚體的峯高與單體與高聚體之間的谷高比應大於2.0,另以流動相B爲流動相,精密量取對照溶液100~200μl,連續進樣5次,峯面積的相對標準偏差應不大於5.0%。
3.7.5.2 對照溶液的製備
取頭孢曲松對照品適量,精密稱定,加水溶解並定量稀釋製成每1ml中約含0.1mg的溶液。
3.7.5.3 測定法
取本品約0.2g,精密稱定,置10ml量瓶中,加水溶解並稀釋至刻度,搖勻,立即精密量取100~200μl注入液相色譜儀,以流動相A爲流動相進行測定,記錄色譜圖。另精密量取對照溶液100~200μl注入液相色譜儀,以流動相B爲流動相,同法測定。按外標法以峯面積計算,含頭孢曲松聚合物以頭孢曲松計,不得過0.5%。
3.7.6 殘留溶劑
甲醇、乙醇、丙酮與乙酸乙酯 取本品約1g,置10ml量瓶中,加水溶解並稀釋至刻度,搖勻,作爲供試品貯備液,精密量取1ml,置頂空瓶中,精密加水1ml,搖勻,密封,作爲供試品溶液;另精密稱取甲醇0.15g、乙醇0.25g,丙酮0.25g和乙酸乙酯0.25g,置50ml量瓶中,加水溶解並稀釋至刻度,搖勻。精密量取10ml,置100ml量瓶中,用水稀釋至刻度,搖勻,作爲對照品貯備液;取對照品貯備液1ml,置頂空瓶中,加水1ml,搖勻,密封,作爲系統適用性試驗溶液;精密量取對照品貯備液1ml[1],置頂空瓶中,精密加入供試品貯備液1ml,搖勻,密封,作爲對照品溶液。照殘留溶劑測定法(2010年版藥典二部附錄Ⅶ P第一法)測定,用100%二甲基聚硅氧烷(或極性相近)爲固定液的毛細管柱爲色譜柱;柱溫爲40℃;檢測器溫度爲250℃;進樣口溫度爲200℃;頂空瓶平衡溫度爲70℃,平衡時間爲30分鐘;取系統適用性試驗溶液頂空進樣,記錄色譜圖,出峯順序依次爲:甲醇,乙醇,丙酮和乙酸乙酯各色譜峯間的分離度均應符合要求。精密量取供試品溶液和對照品溶液分別頂空進樣,記錄色譜圖,按標準加入法以峯面積計算,均應符合規定。
3.7.7 水分
取本品,照水分測定法(2010年版藥典二部附錄Ⅷ M第一法 A)測定,含水分應爲8.0%~11.0%。
3.7.8 重金屬
取本品1g,依法檢查(2010年版藥典二部附錄Ⅷ H第二法),含重金屬不得過百萬分之二十。
3.7.9 可見異物
取本品5份,每份各2g,用微粒檢查用水溶解,依法檢查(2010年版藥典二部附錄Ⅸ H),應符合規定。
3.7.10 不溶性微粒
取本品3份,加微粒檢查用水製成每1ml中含50mg的溶液,依法檢查(2010年版藥典二部附錄Ⅸ C),每1g樣品中含10μm以上的微粒不得過6000粒,含25μm以上的微粒不得過600粒。
3.7.11 細菌內毒素
取本品,依法檢查(2010年版藥典二部附錄Ⅺ E),每1mg頭孢曲松中含內毒素的量應小於0.20EU。
3.7.12 無菌
取本品,用適宜溶劑溶解後,轉移至不少於500ml的0.9%無菌氯化鈉溶液中,用薄膜過濾法處理後,依法檢查(2010年版藥典二部附錄Ⅺ H),應符合規定。
3.8 含量測定
照高效液相色譜法(2010年版藥典二部附錄Ⅴ D)測定。
3.8.1 色譜條件與系統適用性試驗
用十八烷基硅烷鍵合硅膠爲填充劑;以0.02 mol/L正辛胺溶液-乙腈(73:27),並用磷酸調節pH值至6.5爲流動相;檢測波長爲254nm。取頭孢曲松對照品和頭孢曲松反式異構體對照品適量,加流動相溶解並稀釋製成每1ml中分別含0.22mg的溶液,取20μl注入液相色譜儀,記錄色譜圖,頭孢曲松峯和頭孢曲松反式異構體峯間的分離度應不小於6.0。
3.8.2 測定法
取本品約22mg,精密稱定,置100ml量瓶中,加流動相溶解並稀釋至刻度,搖勻,精密量取20μl注入液相色譜儀,記錄色譜圖;另取頭孢曲松對照品適量,同法測定。按外標法以峯面積計算供試品中C18H18N8O7S3的含量。
3.9 類別
β-內酰胺類抗生素,頭孢菌素類。
3.10 貯藏
3.11 製劑
3.12 版本
《中華人民共和國藥典》2010年版
4 頭孢曲松鈉介紹
4.1 別名
頭孢氨噻三嗪、頭孢三嗪、菌必治、氨噻三嗪、頭孢菌素、頭孢泰克松、羅氏芬、安塞隆、羅噻嗪。
4.2 外文名
Ceftriaxone Sodium, Rocephin, Rocekin,RO 13-9904
4.3 頭孢曲松鈉的作用與用途
頭孢曲松鈉爲半合成的第三代頭孢菌素,對大多數革蘭陽性菌和陰性菌都有強大抗菌活性,抗菌譜包括綠膿桿菌、大腸桿菌、肺炎桿菌、流感嗜血桿菌、產氣腸細菌、變形桿菌屬、雙球菌屬及金葡菌等。頭孢曲松鈉對β內酰胺酶穩定。 臨牀主要用於敏感菌感染的腦膜炎、肺炎、皮膚軟組織感染、腹膜炎、泌尿系統感染、淋病、肝膽感染、外科創傷,敗血症及生殖器感染等。目前已作爲治療淋病的第一線藥物。 t1/2=8h.
4.4 頭孢曲松鈉的劑量與用法
肌注,成人1g/次,1次/日,1g溶於3.5ml利多卡因注射液(1%)中,供深部肌注(以1%利多卡因注射液溶解的本品禁用於靜脈注射)。靜注,成人1g/次,1次/日,溶於注射用水10ml中,緩緩靜注,一般需時2~4分鐘。靜脈滴注,成人2g/日,溶於生理鹽水、5%或10%葡萄糖注射液或右旋糖酐注射液40ml中,約10~15分鐘內滴入。兒童用藥劑量,一般每24小時給藥20mg~80mg/kg,分2次。
治療淋病的治療方案:成人1次單劑肌注250mg即可。另外加口服多西環素0.1g/次,2次/日,共口服5~7天。
4.5 頭孢曲松鈉的副作用
4 對有藥物過敏史者應慎用。
5 偶見肝腎功能異常及血液系統改變,如中性粒細胞下降、血小板下降等,肌注部位可能有疼痛反應,偶見靜脈炎。
4.6 注意事項
對青黴素過敏反應或頭孢菌素過敏者慎用,嚴重肝功能不全者慎用。
4.7 規格
5 參考資料
- ^ [1] 國家藥典委員會.中華人民共和國藥典:2010年版:第一增補本[M].北京:中國醫藥科技出版社,2010.