3 國家基本藥物
| 序號 | 基本藥物目錄序號 | 藥品名稱 | 劑型 | 規格 | 單位 | 零售指導價格 | 類別 | 備註 |
| 77 | 8 | 頭孢氨苄 | 片劑 | 250mg*30 | 盒(瓶) | 8元 | 化學藥品和生物製品部分 | * |
| 78 | 8 | 頭孢氨苄 | 片劑 | 125mg*24 | 盒(瓶) | 3.8元 | 化學藥品和生物製品部分 | |
| 79 | 8 | 頭孢氨苄 | 片劑 | 125mg*30 | 盒(瓶) | 4.7元 | 化學藥品和生物製品部分 | |
| 80 | 8 | 頭孢氨苄 | 片劑 | 125mg*100 | 盒(瓶) | 15元 | 化學藥品和生物製品部分 | |
| 81 | 8 | 頭孢氨苄 | 片劑 | 250mg*10 | 盒(瓶) | 2.8元 | 化學藥品和生物製品部分 | |
| 82 | 8 | 頭孢氨苄 | 片劑 | 250mg*12 | 盒(瓶) | 3.3元 | 化學藥品和生物製品部分 | |
| 83 | 8 | 頭孢氨苄 | 片劑 | 250mg*20 | 盒(瓶) | 5.4元 | 化學藥品和生物製品部分 | |
| 84 | 8 | 頭孢氨苄 | 片劑 | 250mg*24 | 盒(瓶) | 6.5元 | 化學藥品和生物製品部分 | |
| 85 | 8 | 頭孢氨苄 | 膠囊 | 125mg*10 | 盒(瓶) | 1.8元 | 化學藥品和生物製品部分 | |
| 86 | 8 | 頭孢氨苄 | 膠囊 | 125mg*20 | 盒(瓶) | 3.4元 | 化學藥品和生物製品部分 | |
| 87 | 8 | 頭孢氨苄 | 膠囊 | 125mg*24 | 盒(瓶) | 4.1元 | 化學藥品和生物製品部分 | |
| 88 | 8 | 頭孢氨苄 | 膠囊 | 125mg*40 | 盒(瓶) | 6.7元 | 化學藥品和生物製品部分 | |
| 89 | 8 | 頭孢氨苄 | 膠囊 | 125mg*50 | 盒(瓶) | 8.3元 | 化學藥品和生物製品部分 | |
| 90 | 8 | 頭孢氨苄 | 膠囊 | 250mg*24 | 盒(瓶) | 6.9元 | 化學藥品和生物製品部分 | |
| 91 | 8 | 頭孢氨苄 | 顆粒劑 | 50mg | 袋 | 0.11元 | 化學藥品和生物製品部分 | |
| 92 | 8 | 頭孢氨苄 | 顆粒劑 | 125mg | 袋 | 0.21元 | 化學藥品和生物製品部分 |
注(化學藥品和生物製品部分):
1、表中備註欄標註“*”的爲代表品。
2、表中代表劑型規格在備註欄中加註“△”的,該代表劑型規格及與其有明確差比價關係的相關規格的價格爲臨時價格。
注(中成藥部分):
2、表中備註欄加註“△”的劑型規格,及同劑型的其他規格爲臨時價格。
4 概述
頭孢氨苄是β-內酰胺類抗生素,頭孢菌素類藥,爲白色至微黃色結晶性粉末;微臭。爲廣譜半合成抗生素,屬於第一代頭孢菌素。主要用於治療產青黴素酶敏感細菌所引起的呼吸道、尿路、皮膚軟組織等部位的輕症感染。青黴素過敏者對本藥的過敏反應發生率約爲1.1%。局部應用刺激性大,較少注射給藥。
5 頭孢氨苄藥典標準
5.1 品名
5.1.1 中文名
5.1.2 漢語拼音
Toubao'anbian
5.1.3 英文名
Cefalexin
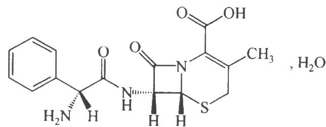
5.2 結構式

5.3 分子式與分子量
C16H17NaO4S·H2O 365.41
5.4 來源(名稱)、含量(效價)
本品爲(6R,7R)-3-甲基-7-[(R)-2-氨基-2-苯乙酰氨基]-8-氧代-5-硫雜-1-氮雜雙環[4.2.0]辛-2-烯-2-甲酸-水合物。按無水物計算,含C16H17N3O4S不得少於95.0%。
5.5 性狀
本品爲白色至微黃色結晶性粉末;微臭。
5.5.1 比旋度
取本品,精密稱定,加水溶解並定量稀釋製成每1ml中約含5mg的溶液,依法測定(2010年版藥典二部附錄Ⅵ E),比旋度爲+149°至+158°。
5.5.2 吸收係數
取本品,精密稱定,加水溶解並定量稀釋製成每1ml中約含20μg的溶液,照紫外-可見分光光度法(2010年版藥典二部附錄Ⅳ A),在262nm的波長處測定吸光度,吸收係數(
)爲220~245。
5.6 鑑別
(1)在含量測定項下記錄的色譜圖中,供試品溶液主峯保留時間應與對照品溶液主峯保留時間一致。
(2)本品的紅外光吸收圖譜應與對照的圖譜(《藥品紅外光譜集》1090圖)一致。
5.7 檢查
5.7.1 酸度
取本品50mg,加水10ml溶解後,依法測定(2010年版藥典二部附錄Ⅵ H),pH值應爲3.5~5.5。
5.7.2 有關物質
精密稱取本品適量,加流動相A溶解並稀釋製成每1ml中約含1.0mg的溶液,作爲供試品溶液,精密量取1ml,置100ml量瓶中,用流動相A稀釋至刻度,搖勻,作爲對照溶液;取7-氨基去乙酰氧基頭孢烷酸對照品和α-苯甘氨酸對照品各約10mg,精密稱定,置同一100ml量瓶中,加pH 7.0磷酸鹽緩衝液約20ml超聲使溶解,再用流動相A稀釋至刻度,搖勻。精密量取2.0ml,置20ml量瓶中,用流動相A稀釋至刻度,搖勻,作爲雜質對照品溶液。照高效液相色譜法(2010年版藥典二部附錄Ⅴ D)測定,用十八烷基硅烷鍵合硅膠爲填充劑;流動相A爲0.2mol/L磷酸二氫鈉溶液(用氫氧化鈉試液調節pH值至5.0),流動相B爲甲醇,按下表進行線性梯度洗脫;檢測波長爲220nm,取雜質對照品溶液20μl注入液相色譜儀,記錄色譜圖,7-氨基去乙酰氧基頭孢烷酸峯與α-苯甘氨酸峯的分離度應符合要求;取供試品溶液適量,在80℃水浴中加熱60分鐘,冷卻,取20μl注入液相色譜儀,記錄色譜圖,頭孢氨苄峯與相鄰雜質峯的分離度應符合要求。取對照溶液20μl,注入液相色譜儀,調節檢測靈敏度,使主成分色譜峯的峯高約爲滿量程的25%。精密量取供試品溶液、對照溶液及雜質對照品溶液各20μl,分別注入液相色譜儀,供試品溶液色譜圖中如有雜質峯,含7-氨基去乙酰氧基頭孢烷酸峯與cr苯甘氨酸峯按外標以峯面積計算,均不得過1.0%;其他單個雜質的峯面積不得大於對照溶液主峯面積的1.5倍(1.5%),其他各雜質峯面積的和不得大於對照溶液主峯面積的2.5倍(2.5%),供試品溶液色譜圖中任何小於對照溶液主峯面積0.05倍的峯可忽略不計。
| 時間(分鐘) | 流動相A(%) | 流動相B(%) |
| 0 | 98 | 2 |
| 1 | 98 | 2 |
| 20 | 70 | 30 |
| 23 | 98 | 2 |
| 30 | 98 | 2 |
5.7.3 2一萘酚
照高效液相色譜法(2010年版藥典二部附錄V D)測定。
5.7.3.1 色譜條件與系統適用性試驗
用十八烷基硅烷鍵合硅膠爲填充劑;以甲醇一水(55:45)爲流動相,流速爲每分鐘Iml,檢測波長爲225nm。量取對照品溶液20ul注入液相色譜儀,調節流動相中甲醇比例使2一萘酚峯的保留時間約爲7分鐘,理論板數按2一萘酚峯計算不低於3000,2一萘酚峯與相鄰峯的分離度應不小於1.5。
5.7.3.2 測定法
取本品適量,精密稱定,加流動相定量稀釋製成每1ml中約含頭孢氨苄10mg的溶液,充分振搖,取混懸液適量,以15000轉/分鐘離心5分鐘,取上清液作爲供試品溶液;另取2一萘酚對照品適量,精密稱定,加流動相溶解並定量稀釋製成每Iml中約含2一萘酚0.5ug的溶液,作爲對照品溶液,精密量取上述兩種溶液各20ul,分別注入液相色譜儀,記錄色譜圖。按外標法以峯面積計算,含2一萘酚的量不得過0.05%。[1]
5.7.4 水分
取本品,照水分測定法(2010年版藥典二部附錄Ⅷ M第一法 A)測定,含水分應爲4.0%~8.0%。
5.7.5 熾灼殘渣
不得過0.2%(2010年版藥典二部附錄Ⅷ N)。
5.8 含量測定
照高效液相色譜法(2010年版藥典二部附錄Ⅴ D)測定。
5.8.1 色譜條件與系統適用性試驗
用十八烷基硅烷鍵合硅膠爲填充劑;以水-甲醇-3.86%醋酸鈉溶液-4%醋酸溶液(742:240:15:3)爲流動相;檢測波長爲254nm;取供試品溶液適量,在80℃水浴中加熱60分鐘,冷卻,取20μl注入液相色譜儀,記錄色譜圖,頭孢氨苄峯與相鄰雜質峯的分離度應符合要求。
5.8.2 測定法
取本品約50mg,精密稱定,置50ml量瓶中,加流動相溶解並稀釋至刻度,搖勻,精密量取10ml,置50ml量瓶中,用流動相稀釋至刻度,搖勻,精密量取10μl注入液相色譜儀,記錄色譜圖;另取頭孢氨苄對照品適量,同法測定。按外標法以峯面積計算,即得。
5.9 類別
β-內酰胺類抗生素,頭孢菌素類。
5.10 貯藏
5.11 製劑
(1)頭孢氨苄幹混懸劑 (2)頭孢氨苄片 (3)頭孢氨苄膠囊 (4)頭孢氨苄顆粒
5.12 版本
《中華人民共和國藥典》2010年版
6 頭孢氨苄介紹
6.1 藥品名稱
6.2 英文名稱
Cefalexin
6.3 別名
苯甘孢黴素;苯甘頭孢菌素;苯苷頭孢黴素;福林;斯寶力克;頭孢4號;頭孢Ⅳ號;頭孢菌素Ⅳ號;頭孢力新;頭孢立新;頭孢四號;西保力;先鋒Ⅳ號;先鋒黴素4號
6.4 分類
抗生素 > 頭孢菌素類 > 第一代
6.5 劑型
1.片劑:0.125g,0.25g;
2.膠囊:0.125g,0.25g。
3.顆粒劑: 0.05g, 0.125g, 0.25g
6.6 頭孢氨苄的藥理作用
頭孢氨頭孢氨苄爲半合成的第一代口服頭孢菌素。其作用機制是通過與細菌一個或多個青黴素結合蛋白(PBPs)相結合(頭孢氨苄主要與PBP-3結合),抑制細菌分裂細胞的細胞壁合成,從而起抗菌作用。頭孢氨苄抗菌譜與頭孢噻吩相仿,但其抗菌活性較後者差。除腸球菌屬、甲氧西西林耐藥葡萄球菌外,革蘭陽性球菌對頭孢氨苄敏感。頭孢氨苄對奈瑟菌屬有較好抗菌作用,對流感桿菌的敏感性較差,對部分大腸桿菌、奇異變形桿菌、肺炎克雷白菌、沙門菌屬有一定抗菌作用,其他腸桿菌屬細菌、不動桿菌屬和銅綠假單胞菌以及脆弱擬桿菌對頭孢氨苄耐藥。
6.7 頭孢氨苄的藥代動力學
頭孢氨頭孢氨苄口服吸收良好。空腹口服500mg,1h後血藥濃度達峯值,約爲18μg/ml。藥物分佈容積爲0.26L/kg,吸收後可廣泛分佈於痰液、膿液、關節腔滲出液、羊水、臍帶血、肺、肝、脾、腎臟中,其中以膽汁中濃度較高,約爲血藥濃度的1~4倍。頭孢氨苄難以透過血-腦脊液屏障,但可少量分泌入乳汁,哺乳婦女口服0.5g後,乳汁中濃度約爲5μg/ml。頭孢氨苄蛋白結合率爲10%~15%。正常健康人的半衰期爲0.6~1.0h,腎功能減退時半衰期可延長至5~30h;新生兒半衰期爲6.3h。頭孢氨苄在體內不代謝,主要以原形經腎小球濾過和腎小管分泌排出,另有約5%的口服量可由膽汁排出。24h尿中排出量約爲給藥量的80%,口服500mg後尿中藥物峯濃度可達2200μg/ml。血液透析和腹膜透析可有效清除頭孢氨苄。
6.8 頭孢氨苄的適應證
主要適用於敏感菌所致的急性扁桃體炎、咽峽炎、中耳炎、鼻竇炎、支氣管炎、肺炎等呼吸道感染、尿路感染和皮膚軟組織感染。
6.9 頭孢氨苄的禁忌證
6.10 注意事項
1.對一種頭孢菌素過敏者對其他頭孢菌素也可能過敏;對青黴素類、青黴素衍生物或青黴胺過敏者也可能對頭孢菌素類藥過敏。
2.慎用:(1)哺乳期婦女(有報道頭孢氨苄可暫時性改變嬰兒的腸道細菌平衡而導致腹瀉);(2)孕婦;(3)6歲以下小兒;(4)嚴重肝、腎功能障礙者;(5)有胃腸道疾病病史者,特別是潰瘍性結腸炎、侷限性腸炎或抗生素相關性結腸炎者。
3.藥物對檢驗值或診斷的影響:(1)可出現直接抗人球蛋白(Coombs)試驗陽性;(2)以硫酸銅法測定尿糖可出現假陽性。
6.11 頭孢氨苄的不良反應
1.皮疹、蕁麻疹、紅斑、藥物熱等過敏反應症狀較多見,偶見過敏性休克。
2.胃腸道反應:噁心、嘔吐、腹瀉和腹部不適等胃腸道症狀較爲多見,偶見假膜性腸炎。
3.神經系統反應:少數患者可出現頭暈、複視、耳鳴、抽搐等神經系統反應。
4.肝毒性:少數患者用藥後可出現一過性肝功能異常(血清丙氨酸氨基轉移氨基轉移酶、天門冬氨酸氨基轉移酶和鹼性磷酸酶短暫性升高)。
5.腎毒性:少數患者用藥後可出現暫時性尿素氮、肌酸、肌酐升高,偶見蛋白尿、少尿。
6.血液系統:偶見用藥後血紅蛋白下降、血小板減少、中性粒細胞減少、嗜酸粒細胞增多等。
7.其他:長期用藥時可致菌羣失調,發生二重感染;也可出現維生素K、維生素B缺乏。
6.12 頭孢氨苄的用法用量
成人每次250~500mg,每6小時1次,每天最高劑量爲4g;兒童每天25~50mg/kg,分4次給藥(每6小時1次)。
6.13 藥物相互作用
1.與丙磺舒同用可使頭孢氨苄的腎排泄延遲,升高頭孢氨苄血藥濃度。但也有報道認爲丙磺舒可增加頭孢氨苄在膽汁中的排泄。
2.與考來烯胺(消膽胺)同用可使頭孢氨苄的平均血藥峯濃度降低。
4.與傷寒活疫苗同用可能會降低傷寒活疫苗的免疫效應,可能的機制是頭孢氨苄對傷寒沙門桿菌具有抗菌活性。
6.14 專家點評
頭孢氨苄在尿液和膿液中的濃度高,尤其適用於泌尿生殖系統感染,對菌血症、細菌性心內膜炎、腦膜炎有效,對急性齶扁桃體炎、咽喉炎、肺炎、支氣管炎、大葉肺炎和鏈球菌所致軟組織感染有效率較高。
7 頭孢氨苄中毒
頭孢氨苄(先鋒黴素Ⅳ、頭孢立新)爲廣譜半合成抗生素,屬於第一代頭孢菌素。主要用於治療產青黴素酶敏感細菌所引起的呼吸道、尿路、皮膚軟組織等部位的輕症感染。青黴素過敏者對本藥的過敏反應發生率約爲1.1%。局部應用刺激性大,較少注射給藥。本藥的血漿蛋白結合率10%~15%,正常成人的半衰期0.6~1.0h,新生兒爲6.3h。口服給藥,成人的常用量0.25~0.5g,4/d;最高量4g/d。[2]
7.1 臨牀表現
1.胃腸道反應最常見,發生率約爲4.5%,有腹瀉、噁心、嘔吐、胃痛、食慾缺乏、便祕,個別出現血清轉氨酶升高。少見有頭痛、頭暈、意識矇矓、全身乏力。
2.過敏表現有蕁麻疹、斑丘疹、全身瘙癢、藥物熱、嗜伊紅粒細胞增多等,有出現直接Coomb's試驗陽性的報道。
3.二重感染主要發生在會陰部,常見白色念珠菌或其他耐藥菌感染。
4.頭孢氨苄有引起戒酒雙硫反應的報道2例,患者服藥幾天後飲啤酒,出現全身不適、胸悶、氣急、出汗、煩躁等,心電圖示房性期前收縮,經對症處理後恢復。次日再飲啤酒,上述症狀又出現。飲白酒導致的雙硫侖樣反應更重,甚至致死。頭孢類抗生素、痢特靈等多種藥物均有其反應,臨牀應予重視。
5.有引起可逆性肉眼血尿和可逆性急性腎衰竭和中毒性精神病的報道。
7.2 治療
1.腎功能有損傷者服用本藥,可致本藥在體內的半衰期延長,且加重腎臟損害,應避免長期、大量服用。
2.出現過敏反應時,應立即停藥,給予抗過敏治療。