3 复方蒿甲醚片药典标准
3.1 品名
3.1.1 中文名
3.1.2 汉语拼音
Fufang Haojiami Pian
3.1.3 英文名
Compound Artemether Tablets
3.2 含量或效价规定
本品含蒿甲醚(C16H26O54)应为标示量的90.0%~105.0%,含本芴醇(C30H32Cl3NO)应为标示量的95.0%~105.0%。
3.3 处方
3.4 性状
本品为黄色片。
3.5 鉴别
(1)取本品细粉适量(约相当于蒿甲醚20mg),加丙酮20ml,振摇,滤过,取续滤液作为供试品溶液;取蒿甲醚和本芴醇对照品,分别加丙酮溶解并稀释制成每1ml含蒿甲醚1mg和本芴醇6mg的溶液,作为蒿甲醚对照品溶液和本芴醇对照品溶液。照薄层色谱法(2010年版药典二部附录Ⅴ B)试验,吸取上述三种溶液各10μl,分别点于同一硅胶GF254薄层板上,以正己烷-乙酸乙酯-冰醋酸(20:5:2.5)为展开剂,展开,晾干,置紫外光灯(254nm)下检视。供试品溶液所显主斑点的位置和颜色应与本芴醇对照品溶液的主斑点相同;再喷以20%硫酸甲醇溶液,140℃加热10分钟后,分别置日光和紫外光灯(365nm)下检视,供试品溶液所显两主斑点的位置和颜色均应分别与蒿甲醚对照品溶液和本芴醇对照品溶液的主斑点相同。
(2)在含量测定项下记录的色谱图中,供试品溶液两主峰的保留时间应与对照品溶液相应两主峰的保留时间一致。
以上(1)、(2)两项可选做一项。
3.6 检查
3.6.1 有关物质Ⅰ
取本品3片,研细,90℃加热2小时,取出,放冷,加水5ml,乙腈5ml,超声15分钟,以每分钟4000转离心,取上清液,加0.6mg/ml的双氢青蒿素溶液[以水-乙腈(1:1)为溶剂]1ml,加0.2mg/ml的α-蒿甲醚溶液[以水-乙腈(1:1)为溶剂]1ml,摇匀,作为系统适用性溶液。取本品3片,加水6ml使崩解,加乙腈6ml,超声15分钟,以每分钟4000转离心,取上清液,作为供试品溶液。另分别取蒿甲醚、α-蒿甲醚、双氢青蒿素和蒿甲醚杂质Ⅱ对照品适量,精密称定,加水-乙腈(1:1)适量使溶解并定量稀释制成每1ml中含上述四种对照品各0.1mg的混合溶液,作为对照品贮备液;取对照品贮备液用上述溶剂依次定量稀释制成每1ml中分别含蒿甲醚、α-蒿甲醚、双氢青蒿素和蒿甲醚杂质Ⅱ各5μg、10μg、15μg、25μg、50μg和75μg的溶液,作为对照品溶液(1)、(2)、(3)、(4)、(5)和(6)。照薄层色谱法(2010年版药典二部附录Ⅴ B)试验,吸取上述八种溶液各20μl,分别点于同一硅胶GF254薄层板上,冷风吹干,以正己烷-乙酸乙酯-冰醋酸(20:5:2.5)为展开剂(展开前层析缸需预先饱和15分钟),避光展开12cm后,冷风吹干,再喷以5%香草醛硫酸溶液,晾干,系统适用性溶液应显6个清晰分离的斑点(按Rf值从大到小依次为蒿甲醚、未知杂质、α-蒿甲醚、蒿甲醚杂质Ⅰ、双氢青蒿素、蒿甲醚杂质Ⅱ)。供试品溶液如显杂质斑点,α-蒿甲醚、双氢青蒿素和蒿甲醚杂质Ⅱ,与对照品溶液中α-蒿甲醚、双氢青蒿素和蒿甲醚杂质Ⅱ斑点比较分别不得过0.3%、1.0%和1.5%;蒿甲醚杂质Ⅰ、其他单个杂质和其他杂质总量,与对照品溶液中蒿甲醚斑点比较分别不得过0.5%、0.2%和0.5%。
3.6.2 有关物质Ⅱ
取本品5片,置500ml量瓶中,加水30ml,振摇使崩解,加正丙醇100ml,超声15分钟,再加离子对溶液(取已烷磺酸钠5.65g和磷酸二氢钠2.75g,加水800ml溶解,用磷酸调节pH值至2.3,用水稀释至1000ml,摇匀)100ml和乙腈200ml,超声30分钟,放冷,用乙腈稀释至刻度,摇匀,以每分钟4000转离心5分钟,取上清液作为供试品溶液。精密量取适量,用混合溶剂(取离子对溶液100ml,加水30ml,混匀,再加正丙醇100ml,用乙腈稀释至500ml,即得)定量稀释制成每1ml中约含1.2μg的溶液,作为对照溶液。照高效液相色谱法(2010年版药典二部附录Ⅴ D)试验,用十八烷基硅烷键合硅胶为填充剂(推荐色谱柱Agilent Nucle-osil 100-5 C18,125mm×4.0mm,5μm或效能相当的色谱柱);以离子对溶液-水-乙腈-正丙醇(20:50:25:5)为流动相A,离子对溶液-水-乙腈-正丙醇(20:10:65:5)为流动相B,按下表进行梯度洗脱;检测波长为300nm。取本芴醇与本芴醇杂质Ⅰ各适量,加混合溶剂溶解并稀释制成每1ml中约含本芴醇1.2mg和本芴醇杂质Ⅰ0.02mg的混合溶液,作为系统适用性溶液,取5μl注入液相色谱仪,记录色谱图,本芴醇的拖尾因子应在0.8~5.0之间,本芴醇峰与本芴醇杂质Ⅰ峰之间的分离度应大于0.5;取对照溶液5μl注入液相色谱仪,调节检测灵敏度,使主成分色谱峰的峰高约为满量程的10%。再精密量取对照溶液和供试品溶液各5μl,分别注入液相色谱仪,记录色谱图。供试品溶液色谱图中如有杂质峰,单个杂质峰面积不得大于对照溶液主峰面积(0.1%),各杂质峰面积的和不得大于对照溶液主峰面积的3倍(0.3%)。
| 时间(分钟) | 流动相A(%) | 流动相B(%) |
| 0 | 25 | 75 |
| 14 | 25 | 75 |
| 19 | 0 | 100 |
| 25 | 0 | 100 |
| 26 | 25 | 75 |
| 35 | 25 | 75 |
3.6.3 含量均匀度
按含量测定项下测得的每片中蒿甲醚与本芴醇的含量计算,均应符合规定(2010年版药典二部附录Ⅹ E)。
3.6.4 溶出度
3.6.4.1 蒿甲醚
取本品,照溶出度测定法(2010年版药典二部附录Ⅹ C 第二法),以水1000ml为溶出介质,转速为每分钟100转,依法测定,经1小时和3小时时,各取溶液约10ml,静置3分钟,滤过,取续滤液,作为供试品溶液。另取蒿甲醚对照品适量,精密称定,加水-乙腈(1:1)适量,超声使溶解并定量稀释制成每1ml中约含20μg的溶液,作为对照品溶液。照高效液相色谱法(2010年版药典二部附录Ⅴ D)试验,用十八烷基硅烷键合硅胶为填充剂,以水-乙腈-正丙醇-三氟乙酸(400:500:100:1)为流动相,检测波长为210nm,理论板数按蒿甲醚峰计算不低于3000。精密量取对照品溶液和供试品溶液各100μl,分别注入液相色谱仪,记录色谱图。按外标法以峰面积计算每片中蒿甲醚的溶出量。在1小时和3小时的限度分别为标示量的45%和65%,均应符合规定。
3.6.4.2 本芴醇
取本品,照溶出度测定法(2010年版药典二部附录Ⅹ C 第二法),以1%氯化苄基二甲基烷基胺的0.1mol/L盐酸溶液1000ml为溶出介质,转速为每分钟100转,依法操作,经45分钟时,取溶液约10ml,静置3分钟,滤过,精密量取续滤液2ml,置10ml量瓶中,用溶出介质稀释至刻度,摇匀,作为供试品溶液。照紫外一可见分光光度法(2010年版药典二部附录Ⅴ A),在342nm的波长处测定吸光度,按C30H32Cl3NO的吸收系数(
)为300.8计算每片中本芴醇的溶出量。限度为标示量的60%,应符合规定。
3.6.5 其他
应符合片剂项下有关的各项规定(2010年版药典二部附录Ⅰ A)。
3.7 含量测定
照高效液相色谱法(2010年版药典二部附录Ⅴ D)测定。
3.7.1 色谱条件与系统适用性试验
用十八烷基硅烷键合硅胶为填充剂;以离子对溶液-乙腈(70:30)为流动相A,离子对溶液-乙腈(30:70)为流动相B,按下表进行梯度洗脱;蒿甲醚检测波长为210nm,本芴醇检测波长为380nm。理论板数按本芴醇峰计算不低于3000,蒿甲醚峰与本芴醇峰的分离度应大于5。
| 时间(分钟) | 流动相A(%) | 流动相B(%) |
| 0 | 60 | 40 |
| 28 | 60 | 40 |
| 29 | 0 | 100 |
| 45 | 0 | 100 |
| 46 | 60 | 40 |
| 55 | 60 | 40 |
3.7.2 测定法
取本品10片,分别置100ml量瓶中,加水6ml使崩解,加正丙醇20ml,超声15分钟。再加离子对溶液20ml与乙腈40ml,超声30分钟,放冷,用乙腈稀释至刻度,摇匀,以每分钟4000转离心5分钟,取上清液作为供试品溶液。精密量取20μl,注入液相色谱仪,记录色谱图;另取蒿甲醚和本芴醇对照品适量,精密称定,用混合溶剂溶解并定量稀释制成每1ml中分别约含蒿甲醚0.2mg和本芴醇1.2mg的溶液,同法测定。按外标法以峰面积计算每片的含量,并求得10片的平均含量,即得。
3.8 类别
抗疟药。
3.9 贮藏
3.10 附
3.10.1 1.α-蒿甲醚
(3R,5aS,6R,8aS,9R,10R,12R,12aR)-十氢-10-甲氧基-3,6,9-三甲基-3,12-桥氧-12H-吡喃并[4,3-j]-1,2-苯并二噻平
(3R,5aS,6R,8aS,9R,10R,12R,12aR)-10-methoxy-3,6,9-trimethyldecahydro-3,12-epoxy-12H-pyrano[4,3-j]-1,2-benzodioxepine

C16H26O5 298.37
3.10.2 2.蒿甲醚杂质Ⅰ
(3aS,4R,6aS,7R,8S,10R,10aR)-八氢-8-甲氧基-4,7-二甲基-2H呋喃并[3,2-i][2]苯并吡喃-10-乙酸酯
(3aS,4R,6aS,7R,8S,10R,10aR)-8-methoxy-4,7-dimethyloctahydro-2H-furo[3,2-i][2]benzopyran-10-yl acetate

C16H26O5 298.37
3.10.3 3.蒿甲醚杂质Ⅱ
2-[4-甲基-2-氧代-3-(3-氧代丁基)环己基]丙醛
2-[4-methyl-2-oxo-3-(3-oxobutyl)cyclohexyl] propanal

C14H22O3 238.32
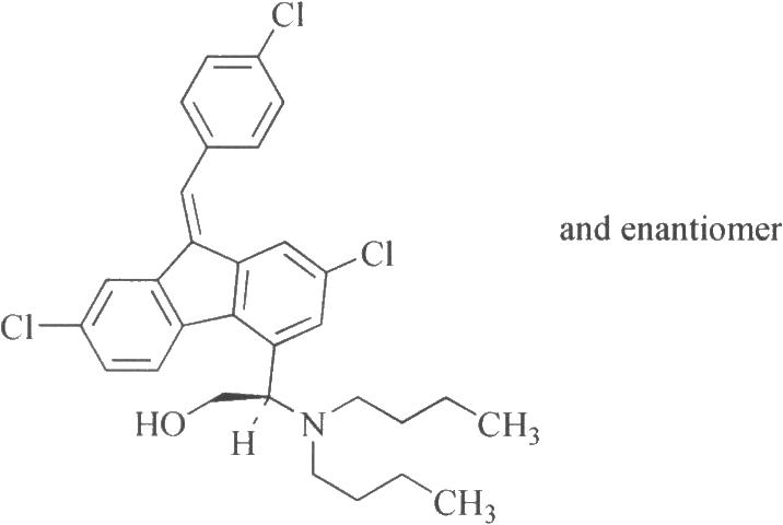
3.10.4 4.本芴醇杂质Ⅰ
(RS,Z)-2-二丁胺基-2-[2,7-二氯-9-(4-氯苯亚甲基)-9H-芴-4基]乙醇
(RS,Z)-2-(dibutylamino)-2-[2,7-dichloro-9-(4-chlorobenzylidene)-9H-fluoren-4-yl] ethanol

C30H32Cl3NO 528.94
3.11 版本
《中华人民共和国药典》2010年版 第三增补本