2 附录Ⅶ A相对密度测定法
相对密度系指在相同的温度、压力条件下,某物质的密度与水的密度之比。除另有规定外,温度为20℃。
纯物质的相对密度在特定的条件下为不变的常数。但如物质的纯度不够,则其相对密度的测定值会随着纯度的变化而改变。因此,测定药品的相对密度,可用以检查药品的纯杂程度。
液体药品的相对密度,一般用比重瓶(图1)测定;测定易挥发液体的相对密度,可用韦氏比重秤(图2)。
用比重瓶测定时的环境(指比重瓶和天平的放置环境)温度应略低于20℃或各品种项下规定的温度。
2.1 1.比重瓶法
(1)取洁净、干燥并精密称定重量的比重瓶(如图1 a),装满供试品(温度应低于20℃或各品种项下规定的温度)后,装上温度计(瓶中应元气泡),置20℃(或各品种项下规定的温度)的水浴中放置若干分钟,使内容物的温度达到20℃(或各品种项下规定的温度),用滤纸除去溢出侧管的液体,立即盖上罩。然后将比重瓶自水浴中取出,再用滤纸将比重瓶的外面擦净,精密称定,减去比重瓶的重量,求得供试品的重量后,将供试品倾去,洗净比重瓶,装满新沸过的冷水,再照上法测得同一温度时水的重量,按下式计算,即得。

(2)取洁净、干燥并精密称定重量的比重瓶(如图1 b),装满供试品(温度应低于20℃或各品种项下规定的温度)后,插入中心有毛细孔的瓶塞,用滤纸将从塞孔溢出的液体擦干,置20℃(或各品种项下规定的温度)恒温水浴中,放置若干分钟,随着供试液温度的上升,过多的液体将不断从塞孔溢出,随时用滤纸将瓶塞顶端擦干,待液体不再由塞孔溢出,迅即将比重瓶自水浴中取出,照上述(1)法,自“再用滤纸将比重瓶的外面擦净”起,依法测定,即得。

图1 比重瓶
1.比重瓶主体;2.侧管;3.侧孔;4.罩;5.温度计;6.玻璃磨口
2.2 2.韦氏比重秤法
取20℃时相对密度为1的韦氏比重秤(图2),用新沸过的冷水将所附玻璃圆筒装至八分满,置20℃(或各品种项下规定的温度)的水浴中,搅动玻璃圆筒内的水,调节温度至20℃(或各品种项下规定的温度),将悬于秤端的玻璃锤浸入圆筒内的水中,秤臂右端悬挂游码于1.0000处,调节秤臂左端平衡用的螺旋使平衡,然后将玻璃圆筒内的水倾去,拭干,装入供试液至相同的高度,并用同法调节温度后,再把拭干的玻璃锤浸入供试液中,调节秤臂上游码的数量与位置使平衡,

图2韦氏比重秤
1.支架;2.调节器;3.指针;4.横梁;5.刀口;6,游码;7.小钩;8.细铂丝;9.玻璃锤;10.玻璃圆筒;11.调整螺丝
如该比重秤系在4℃时相对密度为1,则用水校准时游码应悬挂于0.9982处,并应将在20℃测得的供试品相对密度除以0.9982。
3 附录Ⅶ B馏程测定法
馏程系指一种液体照下述方法蒸馏,校正到标准压力[101.3kPa(760mmHg)]下,自开始馏出第5滴算起,至供试品仅剩3~4ml或一定比例的容积馏出时的温度范围。
某些液体药品具有一定的馏程,测定馏程可以区别或检查药品的纯杂程度。

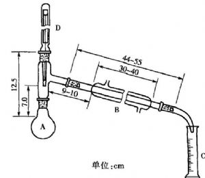
图 蒸馏装置
3.1 仪器装置
用国产19标准磨口蒸馏装置一套,如图。A为蒸馏瓶;B为冷凝管,馏程在130℃以下时,用水冷却,馏程在130℃以上时,用空气冷凝管;C为具有0.5ml刻度的25ml量筒;D为分浸型具有0.5℃刻度的温度计,预先经过校正,温度计汞球的上端与蒸馏瓶出口支管的下壁相齐;根据供试品馏程的不同,可选用不同的加热器,通常馏程在80℃以下时用水浴(其液面始终不得超过供试品液面),80℃以上时用直接火焰或其他电热器加热。
3.2 测定法
取供试品25ml,经长颈的干燥小漏斗,转移至干燥蒸馏瓶中,加入洁净的无釉小瓷片数片,插上带有磨口的温度计,冷凝管的下端通过接流管接以25ml量筒为接收器。如用直接火焰加热,则将蒸馏瓶置石棉板中心的小圆孔上(石棉板宽12~15cm,厚0.3~0.5cm,孔径2.5~3.0cm),并使蒸馏瓶壁与小圆孔边缘紧密贴合,以免汽化后的蒸气继续受热,然后用直接火焰加热使供试品受热沸腾,调节温度,使每分钟馏出2~3ml,注意检读自冷凝管开始馏出第5滴时与供试品仅剩3~4ml或一定比例的容积馏出时,温度计上所显示的温度范围,即为供试品的馏程。
测定时,如要求供试品在馏程范围内馏出不少于90%时,应使用100ml蒸馏瓶,并量取供试品50ml,接收器用50ml量筒。测定时,气压如在101.3kPa(760mmHg)以上,每高0.36kPa(2.7mmHg),应将测得的温度减去0.1℃;如在101.3kPa(760mmHg)以下,每低0.36kPa(2.7mmHg),应增加0.1℃。
4 附录Ⅶ C熔点测定法
依照待测物质的性质不同,测定法分为下列3种。各品种项下未注明时,均系指第一法。
4.1 第一法 测定易粉碎的固体药品。
取供试品适量,研成细粉,除另有规定外,应按照各品种项下干燥失重的条件进行干燥。若该品种为不检查干燥失重、熔点范围低限在135℃以上、受热不分解的供试品,可采用105℃干燥;熔点在135℃以下或受热分解的供试品,可在五氧化二磷干燥器中干燥过夜或用其他适宜的干燥方法干燥,如恒温减压干燥。
分取供试品适量,置熔点测定用毛细管(简称毛细管,由中性硬质玻璃管制成,长9cm以上,内径0.9~1.1mm,壁厚0.10~0.15mm,一端熔封;当所用温度计浸入传温液在6cm以上时,管长应适当增加,使露出液面3cm以上)中,轻击管壁或借助长短适宜的洁净玻璃管,垂直放在表面皿或其他适宜的硬质物体上,将毛细管自上口放入使自由落下,反复数次,使粉末紧密集结在毛细管的熔封端。装入供试品的高度为3mm。另将温度计(分浸型,具有0.5℃刻度,经熔点测定用对照品校正)放入盛装传温液(熔点在80℃以下者,用水;熔点在80℃以上者,用硅油或液状石蜡)的容器中,使温度计汞球部的底端与容器的底部距离2.5cm以上(用内加热的容器,温度计汞球与加热器上表面距离2.5cm以上);加入传温液以使传温液受热后的液面适在温度计的分浸线处。将传温液加热,俟温度上升至较规定的熔点低限约低10℃时,将装有供试品的毛细管浸入传温液,贴附在温度计上(可用橡皮圈或毛细管夹固定),位置须使毛细管的内容物适在温度计汞球中部;继续加热,调节升温速率为每分钟上升1.0~1.5℃,加热时须不断搅拌使传温液温度保持均匀,记录供试品在初熔至全熔时的温度,重复测定3次,取其平均值,即得。
“初熔”系指供试品在毛细管内开始局部液化出现明显液滴时的温度。
“全熔”系指供试品全部液化时的温度。
测定熔融同时分解的供试品时,方法如上述,但调节升温速率使每分钟上升2.5~3.0℃;供试品开始局部液化时(或开始产生气泡时)的温度作为初熔温度;供试品固相消失全部液化时的温度作为全熔温度。遇有固相消失不明显时,应以供试品分解物开始膨胀上升时的温度作为全熔温度。某些药品无法分辨其初熔、全熔时,可以其发生突变时的温度作为熔点。
4.2 第二法 测定不易粉碎的固体药品(如脂肪、脂肪酸、石蜡、羊毛脂等)。
取供试品,注意用尽可能低的温度熔融后,吸人两端开口的毛细管(同第一法,但管端不熔封)中,使供试品高约10mm。在10℃或10℃以下的冷处静置24小时,或置冰上放冷不少于2小时,凝固后用橡皮圈将毛细管紧缚在温度计(同第一法)上,使毛细管的内容物适在温度计汞球中部。照第一法将毛细管连同温度计浸入传温液中,供试品的上端应适在传温液液面下约10mm处;小心加热,俟温度上升至较规定的熔点低限尚低约5℃时,调节升温速率使每分钟上升不超过0.5℃,至供试品在毛细管中开始上升时,检读温度计上显示的温度,即得。
4.3 第三法 测定凡士林或其他类似物质。
取供试品适量,缓缓搅拌并加热至温度达90~92℃时,放入一平底耐热容器中,使供试品厚度达到12mm±1mm,放冷至较规定的熔点上限高8~10℃;取刻度为0.2℃、汞球长18~28mm、直径5~6mm的温度计(其上部预先套上软木塞,在塞子边缘开一小槽),使冷至5℃后,擦干并小心地将温度计汞球部垂直插入上述熔融的供试品中,直至碰到容器的底部(浸没12mm),随即取出,直立悬置,俟黏附在温度计汞球部的供试品表面浑浊,将温度计浸入16℃以下的水中5分钟,取出,再将温度计插入一外径约25mm、长150mm的试管中,塞紧,使温度计悬于其中,并使温度计汞球部的底端距试管底部约为15mm;将试管浸入约16℃的水浴中,通过软木塞在试管口处调节试管的高度使温度计的分浸线同水面相平;加热使水浴温度以每分钟2℃的速率升至38℃,再以每分钟1℃的速率升温至供试品的第一滴脱离温度计为止;检读温度计上显示的温度,即可作为供试品的近似熔点。再取供试品,照前法反复测定数次;如前后3次测得的熔点相差不超过1℃,可取3次的平均值作为供试品的熔点;如3次测得的熔点相差超过1℃时,可再测定2次,并取5次的平均值作为供试品的熔点。
5 附录Ⅶ D凝点测定法
凝点系指一种物质照下述方法测定,由液体凝结为固体时,在短时间内停留不变的最高温度。
某些药品具有一定的凝点,纯度变更,凝点亦随之改变。测定凝点可以区别或检查药品的纯杂程度。
5.1 仪器装置
如图。内管A为内径约25mm、长约170mm的干燥试管,用软木塞固定在内径约40mm、长约160mm的外管B中,管底间距约10mm。内管用一软木塞塞住,通过软木塞插入刻度为0.1℃的温度计C与搅拌器D,温度计汞球的末端距内管底约10mm。搅拌器D为玻璃棒,上端略弯,末端先铸一小圈,直径约为18mm,然后弯成直角。内管连同外管垂直固定于盛有水或其他适宜冷却液的1000ml烧杯中,并使冷却液的液面离烧杯口约20mm。

图 凝点测定仪器装置
5.2 测定法
取供试品(如为液体,量取15ml,如为固体,称取15~20g,加微温使熔融),置内管中,使迅速冷却,并测定供试品的近似凝点。再将内管置较近似凝点约高5~10℃的水浴中,使凝结物仅剩极微量未熔融。将仪器按上述装妥,烧杯中加入较供试品近似凝点约低5℃的水或其他适宜的冷却液。用搅拌器不断搅拌供试品,每隔30秒钟观察温度1次,至液体开始凝结,停止搅拌并每隔5~10秒钟观察温度1次,至温度计的汞柱在一点能停留约1分钟不变,或微上升至最高温度后停留约1分钟不变,即将该温度作为供试品的凝点。
5.3 附注
如某些药品在一般冷却条件下不易凝固者,需另用少量供试晶在较低温度使凝固后,取少量作为母晶加到供试品中,方能测出其凝点。
6 附录Ⅶ E旋光度测定法
平面偏振光通过含有某些光学活性化合物的液体或溶液时,能引起旋光现象,使偏振光的平面向左或向右旋转。旋转的度数,称为旋光度。偏振光透过长1dm且每1ml中含有旋光性物质1g的溶液,在一定波长与温度下测得的旋光度称为比旋度。测定比旋度(或旋光度)可以区别或检查某些药品的纯杂程度,亦可用以测定含量。
除另有规定外,本法系采用钠光谱的D线(589.3nm)测定旋光度,测定管长度为1dm(如使用其他管长,应进行换算),测定温度为20℃。用读数至0.01°并经过检定的旋光计。
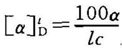
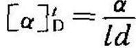
测定旋光度时,将测定管用供试液体或溶液(取固体供试品,按各品种项下的方法制成)冲洗数次,缓缓注入供试液体或溶液适量(注意勿使发生气泡),置于旋光计内检测读数,即得供试液的旋光度。使偏振光向右旋转者(顺时针方向)为右旋,以“+”符号表示;使偏振光向左旋转者(反时针方向)为左旋,以“-”符号表示。用同法读取旋光度3次,取3次的平均数,照下列公式计算,即得供试品的比旋度。
对液体供试品
对固体供试品
式中 [a]为比旋度;
D为钠光谱的D线;
t为测定时的温度,℃;
l为测定管长度,dm;
a为测得的旋光度;
d为液体的相对密度;
c为每100ml溶液中含有被测物质的重量(按干燥品或无水物计算),g。
6.1 注意事项
(1)每次测定前应以溶剂作空白校正,测定后,再校正1次,以确定在测定时零点有无变动;如第2次校正时发现零点有变动,则应重新测定旋光度。
(2)配制溶液及测定时,均应调节温度至20℃±0.5℃(或各品种项下规定的温度)。
(4)物质的比旋度与测定光源、测定波长、溶剂、浓度和温度等因素有关。因此,表示物质的比旋度时应注明测定条件。
7 附录Ⅶ F折光率测定法
光线自一种透明介质进入另一透明介质时,由于光线在两种介质中的传播速度不同,使光线在两种介质的平滑界面上发生折射。常用的折光率系指光线在空气中进行的速度与在供试品中进行速度的比值。根据折射定律,折光率是光线入射角的正弦与折射角的正弦的比值,即
式中 n为折光率;
sin i为光线的入射角的正弦;
sin r为光线的折射角的正弦。
物质的折光率因温度或入射光波长的不同而改变,透光物质的温度升高,折光率变小;入射光的波长越短,折光率越大。折光率以表示,D为钠光谱的D线,t为测定时的温度。测定折光率可以区别不同的油类或检查某些药品的纯杂程度。本法系采用钠光谱的D线(589.3nm)测定供试品相对于空气的折光率(如用阿培折光计,可用白光光源),除另有规定外,供试品温度为20℃。
测定用的折光计需能读数至0.0001,测量范围1.3~1.7,如用阿培折光计或与其相当的仪器,测定时应调节温度至20℃±0.5℃(或各品种项下规定的温度),测量后再重复读数2次,3次读数的平均值即为供试品的折光率。
测定前,折光计读数应使用校正用棱镜或水进行校正,水的折光率20℃时为1.3330,25℃时为1.3325,40℃时为1.3305。
8 附录Ⅶ G pH值测定法
pH值是水溶液中氢离子活度的方便表示方法。pH值定义为水溶液中氢离子活度的负对数,即pH=-lgaH+。但氢离子活度却难以由实验准确测定。为实用方便,溶液的pH值规定为由下式测定:

k为与温度(t,℃)有关的常数。
k=0.05916+0.000198(t-25)
由于待测物的电离常数、介质的介电常数和液接界电位等诸多因素均可影响pH值的准确测量,所以实验测得的数值只是溶液的表观pH值,它不能作为溶液氢离子活度的严格表征。尽管如此,只要待测溶液与标准缓冲液的组成足够接近,由上式测得的pH值与溶液的真实pH值还是颇为接近的。溶液的pH值使用酸度计测定。水溶液的pH值通常以玻璃电极为指示电极、饱和甘汞电极为参比电极进行测定。酸度计应定期进行计量检定,并符合国家有关规定。测定前,应采用下列标准缓冲液校正仪器,也可用国家标准物质管理部门发放的标示pH值准确至0.01pH单位的各种标准缓冲液校正仪器。
8.1 1.仪器校正用的标准缓冲液
8.1.1 (1)草酸盐标准缓冲液
精密称取在54℃±3℃干燥4~5小时的草酸三氢钾12.71g,加水使溶解并稀释至1000ml。
8.1.2 (2)苯二甲酸盐标准缓冲液
精密称取在115℃±5℃干燥2~3小时的邻苯二甲酸氢钾10.21g,加水使溶解并稀释至1000ml。
8.1.3 (3)磷酸盐标准缓冲液
精密称取在115℃±5℃干燥2~3小时的无水磷酸氢二钠3.55g与磷酸二氢钾3.40g,加水使溶解并稀释至1000ml。
8.1.4 (4)硼砂标准缓冲液
精密称取硼砂3.81g(注意避免风化),加水使溶解并稀释至1000ml,置聚乙烯塑料瓶中,密塞,避免空气中二氧化碳进入。
8.1.5 (5)氢氧化钙标准缓冲液
于25℃,用无二氧化碳的水和过量氢氧化钙经充分振摇制成饱和溶液,取上清液使用。因本缓冲液是25℃时的氢氧化钙饱和溶液,所以临用前需核对溶液的温度是否在25℃,否则需调温至25℃再经溶解平衡后,方可取上清液使用。存放时应防止空气中二氧化碳进入。一旦出现浑浊,应弃去重配。
上述标准缓冲溶液必须用pH值基准试剂配制。不同温度时各种标准缓冲液的pH值如下表。
温度 /℃ | |||||
0 | 1.67 | 4.01 | 6.98 | 9.64 | 13.43 |
5 | 1.67 | 4.00 | 6.95 | 9.40 | 13.21 |
10 | 1.67 | 4.00 | 6.92 | 9.33 | 13.00 |
15 | 1.67 | 4.00 | 6.90 | 9.28 | 12.81 |
20 | 1.68 | 4.00 | 6.88 | 9.23 | 12.63 |
25 | 1.68 | 4.01 | 6.86 | 9.18 | 12.45 |
30 | 1.68 | 4.02 | 6.85 | 9.14 | 12.29 |
35 | 1.69 | 4.02 | 6.84 | 9.10 | 12.13 |
40 | 1.69 | 4.04 | 6.84 | 9.07 | 11.98 |
45 | 1.70 | 4.05 | 6.83 | 9.04 | 11.84 |
50 | 1.71 | 4.06 | 6.83 | 9.01 | 11.71 |
55 | 1.72 | 4.08 | 6.83 | 8.99 | 11.57 |
60 | 1.72 | 4.09 | 6.84 | 8.96 | 11.45 |
8.2 2.注意事项
测定pH值时,应严格按仪器的使用说明书操作,并注意下列事项。
(1)测定前,按各品种项下的规定,选择两种pH值约相差3个pH单位的标准缓冲液,并使供试品溶液的pH值处于两者之间。
(2)取与供试品溶液pH值较接近的第一种标准缓冲液对仪器进行校正(定位),使仪器示值与表列数值一致。
(3)仪器定位后,再用第二种标准缓冲液核对仪器示值,误差应不大于±0.02pH单位。若大于此偏差,则应小心调节斜率,使示值与第二种标准缓冲液的表列数值相符。重复上述定位与斜率调节操作,至仪器示值与标准缓冲液的规定数值相差不大于0.02pH单位。否则,需检查仪器或更换电极后,再行校正至符合要求。
(4)每次更换标准缓冲液或供试品溶液前,应用纯化水充分洗涤电极,然后将水吸尽,也可用所换的标准缓冲液或供试品溶液洗涤。
(5)在测定高pH值的供试品和标准缓冲液时,应注意碱误差的问题,必要时选用适当的玻璃电极测定。
(6)对弱缓冲液或无缓冲作用溶液的pH值测定,除另有规定外,先用苯二甲酸盐标准缓冲液校正仪器后测定供试品溶液,并重取供试品溶液再测,直至pH值的读数在1分钟内改变不超过±0.05止;然后再用硼砂标准缓冲液校正仪器,再如上法测定;两次pH值的读数相差应不超过0.1,取两次读数的平均值为其pH值。