苯乙胺
| A+医学百科 >> 苯乙胺 |
| 苯乙胺[1] | |
|---|---|
| IUPAC名 2-Phenylethylamine |
|
| 别名 | β-苯乙胺 2-苯乙胺 |
| 识别 | |
| CAS号 | 64-04-0 |
| SMILES |
|
| 性质 | |
| 化学式 | C8H11N |
| 摩尔质量 | 121.18 g·mol⁻¹ |
| 密度 | 0.964 |
| 熔点 | −60 °C |
| 沸点 | 194.5-195 °C |
| 药理学 | |
| 给药途径 | 口服 |
| 代谢 | MAO-A、MAO-B、ALDH、DBH、CYP2D6 |
| 消除半衰期 | ~5-10分钟 |
| 药品分级 | 无 |
| 危险性 | |
| NFPA 704 | |
| 若非注明,所有数据均出自一般条件(25 ℃,100 kPa)下。 | |
苯乙胺(Phenethylamine,PEA),或称β-苯乙胺、2-苯乙胺,是一种生物碱与单胺类神经递质。苯乙胺有一个结构异构体,即α-苯乙胺或称1-苯乙胺,α-苯乙胺有两个立体异构体:(R)-(+)-1-苯乙胺与(S)-(-)-1-苯乙胺。在人脑中,2-苯乙胺有神经调节物质、神经递质与示踪胺(Trace amine)的作用。苯乙胺是自然化合物,由胺基酸苯丙氨酸借由酶的脱羧作用的方式生化合成。它也可以在很多食物中找到,如巧克力,特别是在微生物发酵之后。一般都认为来自食物的苯乙胺有足够的用量会产生精神上的作用。然而,它很快就被酵素单胺氧化脢所新陈代谢,防止其有效地集中到达脑部。
取代苯乙胺是一类功能广泛,结构多样的化合物,包括神经递质、激素、兴奋剂、迷幻剂、放心药(Entactogen)、降食欲剂(Anorectic)、支气管扩张药(Bronchodilator)与抗抑郁药等。
目录 |
性质
苯乙胺是一种芳香胺,在室温时是无色液体。它可以溶于水、乙醇与乙醚之中[1]。与其他低分子量的胺类相似,它闻起来有鱼腥味。在暴露于空气的状况下,它会与二氧化碳反应形成相应的固态碳酸盐。苯乙胺是很强的盐基,可以形成稳定的盐酸盐结晶,该盐的熔点为217°C。苯乙胺也是皮肤刺激剂与可能的感光剂。
神经化学
苯乙胺的注入会提升细胞外液中多巴胺的水平[2],同时抑制多巴胺神经活化(neuron firing)[3][4]。它也能调整正肾上腺素传导(noradrenergic transmission)[5]。它与γ-氨基丁酸相互对抗[6]。
低细胞外水平时常时会出现注意力不足过动症[7]与忧郁症,而水平过高时则会出现精神分裂症[8]。这个现象和过低的多巴胺会引起注意力不足过动症与忧郁症,而过高的多巴胺会引起精神分裂症的状况相关。
爱情的巧克力理论
1980年代早期,研究者同时也是1983年畅销书籍《爱的化学》(The Chemistry of Love)的作者迈克尔·莱柏温兹(Michael Liebowitz)对记者谈论到“巧克力含有苯乙胺”。这后来成为《纽约时报》文章的焦点,并且让电报服务者产生兴趣,后来更引起许多杂志自由工作者的兴趣,并发展至今日知名的“爱情的巧克力理论”(chocolate theory of love)[9]。然而,如之前所提的,苯乙胺会很快地被单胺氧化酶所新陈代谢,防止其有效地集中到达脑部,因此并不能贡献显而易见的精神方面的效果。
苯乙胺类化合物
- 安非他命类化合物是苯乙胺的同系物,在氨基的α位被甲基(α-CH3)取代。
- 儿茶酚胺是苯环3,4位被羟基取代的苯乙胺。这样的例子有荷尔蒙与神经递质多巴胺、肾上腺素和去甲肾上腺素。
- 芳香性胺基酸苯丙氨酸与酪氨酸是在α位带有羧基(-COOH)。
- 2C类化合物是苯环2,5-位被甲氧基取代的苯乙胺,并且α位没有甲基取代。
药理学
基于这些化合物与单胺类神经递质的相似性,许多取代苯乙胺类在药理学上是可以当作药物使用的:
- 兴奋剂,如植物生物碱麻黄碱(Ephedrine)和卡西酮(Cathinone)与合成药物右旋苯异丙胺(Dextroamphetamine)和派醋甲酯(Methylphenidate)。
- 迷幻剂,如植物生物碱麦斯卡林(三甲氧苯乙胺,美色卡,Mescaline)与合成药物2C-B。
- 神入感激发剂(Empathogen)与放心药(Entactogen),如摇头丸与替苯丙胺(Tenamfetamine,MDA)。
- 降食欲剂(Anorectic),如芬他命(Phentermine)、芬氟拉明(氟苯丙胺,Fenfluramine)与苯丙胺。
- 支气管扩张药,如沙丁胺醇(Salbutamol)与麻黄碱(Ephedrine)。
- 抗抑郁药,如速悦(Venlafaxine)、安非他酮(Bupropion)以及单胺氧化酶抑制剂(MAOI)苯乙肼(Phenelzine)和反环丙胺(Tranylcypromine)。
苯乙胺类物质列表
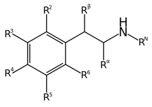
许多重要的苯乙胺类化合物列表如下。为了使列表简化,侧链的立体异构体并未包含于此表中。除了此表所列,目前已经有数百种其他简单的苯乙胺类化合物。本表的资料是基于亚历山大·舒尔金(Alexander Shulgin)前瞻性研究成果的一部分,并且大多可以从《PiHKAL》一书中找到。
| 简称 | Rα | Rβ | R2 | R3 | R4 | R5 | RN | 全名 |
|---|---|---|---|---|---|---|---|---|
| 酪胺(Tyramine) | OH | 4-hydroxy-phenethylamine | ||||||
| 多巴胺 | OH | OH | 3,4-dihydroxy-phenethylamine | |||||
| 肾上腺素 | OH | OH | OH | CH3 | β,3,4-trihydroxy-N-methylphenethylamine | |||
| 去甲肾上腺素 | OH | OH | OH | β,3,4-trihydroxyphenethylamine | ||||
| 去氧肾上腺素(Phenylephrine) | OH | OH | CH3 | β,3-dihydroxy-N-methylphenethylamine | ||||
| 6-羟基多巴胺(6-Hydroxydopamine或6-OHDA) | OH | OH | OH | 2,4,5-trihydroxyphenethylamine | ||||
| 沙丁胺醇(Salbutamol) | OH | OH | CH2OH | C(CH3)3 | β,4-dihydroxy-3-hydroxymethyl-N-tert-butyl-phenethylamine | |||
| 去乙麻黄素(Beta-methyl-phenethylamine,ß-methyl-phenethylamine) | CH3 | β-methylphenethylamine | ||||||
| 苯丙胺 | CH3 | α-methylphenethylamine | ||||||
| 甲基苯丙胺 | CH3 | CH3 | N-methylamphetamine | |||||
| 派醋甲酯(Methylphenidate) | N,α-butylene-β-methoxycarbonylphenethylamine | |||||||
| 麻黄碱(Ephedrine)、 伪麻黄素(pseudoephedrine) |
CH3 | OH | CH3 | N-methyl-β-hydroxyamphetamine | ||||
| 乙酰安非他命 | CH3 | COCH3 | α-methyl-3-acetylphenethylamine | |||||
| 去甲伪麻黄碱(Cathine) | CH3 | OH | β-hydroxy-amphetamine | |||||
| 卡西酮(Cathinone) | CH3 | =O | β-ketoamphetamine | |||||
| 甲卡西酮(Methcathinone) | CH3 | =O | CH3 | N-methyl-β-ketoamphetamine | ||||
| 安非他酮(Bupropion) | CH3 | =O | Cl | C(CH3)3 | 3-chloro-N-tert-butyl-β-ketoamphetamine | |||
| 芬氟拉明(氟苯丙胺,Fenfluramine) | CH3 | CF3 | CH2CH3 | 3-trifluoromethyl-N-ethyl-amphetamine | ||||
| 芬他命(Phentermine) | 2CH3 | α,α-dimethylphenethylamine | ||||||
| 麦斯卡林(三甲氧苯乙胺,美色卡,Mescaline) | OCH3 | OCH3 | OCH3 | 3,4,5-trimethoxyphenethylamine | ||||
| 替苯丙胺(Tenamfetamine,MDA) | CH3 | -O-CH2-O- | 3,4-methylenedioxyamphetamine | |||||
| 亚甲二氧甲基苯丙胺(MDMA) | CH3 | -O-CH2-O- | CH3 | 3,4-methylenedioxy-N-methylamphetamine | ||||
| 亚甲二氧甲基卡西酮(MDMC) | CH3 | =O | -O-CH2-O- | CH3 | 3,4-methylenedioxy-N-methyl-β-ketoamphetamine | |||
| 二甲氧基甲基苯异丙胺(DOM,STP) | CH3 | OCH3 | CH3 | OCH3 | 2,5-dimethoxy-4-methylamphetamine | |||
| 布苯丙胺(二甲氧基溴安非他明,DOB,Brolamfetamine,Bromo-DMA) | CH3 | OCH3 | Br | OCH3 | 2,5-dimethoxy-4-bromoamphetamine | |||
| DON | CH3 | OCH3 | NO2 | OCH3 | 2,5-dimethoxy-4-nitroamphetamine | |||
| 2C-B | OCH3 | Br | OCH3 | 2,5-dimethoxy-4-bromophenethylamine | ||||
| 2C-C | OCH3 | Cl | OCH3 | 2,5-dimethoxy-4-chlorophenethylamine | ||||
| DOI(2,5-二甲氧基-4-碘安非他命) | CH3 | OCH3 | I | OCH3 | 2,5-dimethoxy-4-iodoamphetamine | |||
| 2C-I | OCH3 | I | OCH3 | 2,5-dimethoxy-4-iodophenethylamine | ||||
| 2C-D | OCH3 | CH3 | OCH3 | 2,5-dimethoxy-4-methylphenethylamine | ||||
| 2C-E | OCH3 | CH2-CH3 | OCH3 | 2,5-dimethoxy-4-ethylphenethylamine | ||||
| 2C-F | OCH3 | F | OCH3 | 2,5-dimethoxy-4-fluorophenethylamine | ||||
| 2C-N | OCH3 | NO2 | OCH3 | 2,5-dimethoxy-4-nitrophenethylamine | ||||
| 2C-T-2 | OCH3 | S-CH2CH3 | OCH3 | 2,5-dimethoxy-4-ethylthio-phenethylamine | ||||
| 2C-T-4 | OCH3 | S-CH(CH3)2 | OCH3 | 2,5-dimethoxy-4-isopropylthio-phenethylamine | ||||
| 2C-T-7 | OCH3 | S-CH2CH2CH3 | OCH3 | 2,5-dimethoxy-4-propylthio-phenethylamine | ||||
| 2C-T-8 | OCH3 | S-CH2-C3H5 | OCH3 | 2,5-dimethoxy-4-cyclopropylmethylthio-phenethylamine | ||||
| 2C-T-9 | OCH3 | S-C(CH3)3 | OCH3 | 2,5-dimethoxy-4-tert-butylthio-phenethylamine | ||||
| 2C-T-21 | OCH3 | S-CH2-CH2-F | OCH3 | 2,5-dimethoxy-4-(2-fluoroethylthio)-phenethylamine | ||||
苯乙胺类的图全览
参照
参考文献
- ↑ 1.0 1.1 Merck Index, 12th Edition, 7371.
- ↑ Nakamura, Ishii, Nakahara. Characterization of β-phenylethylamine-induced monoamine release in rat nucleus accumbens : a microdialysis study. European journal of pharmacology.
- ↑ Kota Ishida, Mikio Murata et al.. Effects of -Phenylethylamine on Dopaminergic Neurons of the Ventral Tegmental Area in the Rat: A Combined Electrophysiological and Microdialysis Study. Journal of Pharmacology And Experimental Therapeutics Fast Forward.
- ↑ EM Parker and LX Cubeddu. Comparative effects of amphetamine, phenylethylamine and related drugs on dopamine efflux, dopamine uptake and mazindol binding.
- ↑ I. A. Paterson. The potentiation of cortical neuron responses to noradrenaline by 2-phenylethylamine is independent of endogenous noradrenaline. Neurochemical Resarch.
- ↑ M Federici et al.. Trace amines depress GABA B response in dopaminergic neurons by inhibiting G-betagamma-gated inwardly rectifying potassium channels (abstract). Molecular Pharmacology. 2005, 67: 1283–1290. doi:10.1124/mol.104.007427. PMID 15644497.
- ↑ Baker GB et al.. Phenylethylaminergic mechanisms in attention-deficit disorder.
- ↑ SG Potkin et al. Phenylethylamine in paranoid chronic schizophrenia.
- ↑ Liebowitz, Michael, R. (1983). The Chemistry of Love. Boston: Little, Brown, & Co.
外部连结
- 苯乙胺的MSDS
- Book II of PiHKAL online
- Review and summary of PiHKAL, including table of 300+ phenethylamines: ascii postscript
- A Structural Tour of PiHKAL
|
|||||||||||||||||||||||
|
|||||||||||||||||||||||
参考来源
| 关于“苯乙胺”的留言: | |
|
目前暂无留言 | |
| 添加留言 | |