碳二亚胺
| A+医学百科 >> 碳二亚胺 |
碳二亚胺(Carbodiimide)含有N=C=N官能团,是一类常用的失水剂。一般由硫脲失硫化氢或脲失水制备,水解得到脲衍生物。
目录 |
用途
有机合成中,碳二亚胺是一类常用的失水剂,主要用于活化羧基,促使酰胺和酯的生成。反应中常加入N-羟基苯并三氮唑或N-羟基琥珀酰亚胺,可以提高产率,减少副反应的发生。
碳二亚胺也可与胺反应生成胍。
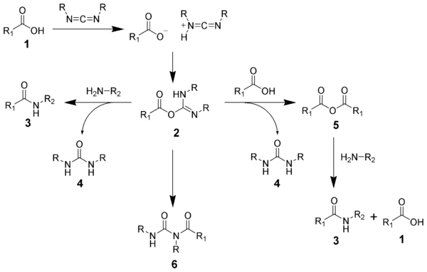
机理
羧酸与胺在碳二亚胺作失水剂下缩合的反应如下图。羧酸1先与碳二亚胺反应生成中间体O-酰基异脲2,类似于引入酯基活化羧酸。而后2与胺反应生成目标产物酰胺3和脲4。2可以与另一分子羧酸反应生成酸酐5,酸酐与胺反应也得到酰胺3。
反应的副产物主要是2重排生成的N-酰基脲6。使用低介电常数的溶剂(如二氯甲烷、氯仿)可减少6的生成。
DCC
二环己基碳二亚胺的结构。
DCC(二环己基碳二亚胺)是最早使用的碳二亚胺之一,大多用在多肽合成中的接肽一步。DCC作失水剂的反应产率很高,并且试剂的价格也不昂贵。
但DCC也有很多缺点限制了它的应用:
DIC
N,N'-二异丙基碳二亚胺的结构。
DIC(N,N'-二异丙基碳二亚胺)用作DCC的替代品,与DCC相比有以下几点优势:
EDC
| EDC | |
|---|---|
| IUPAC名 1-ethyl-3-(3-dimethyl aminopropyl) carbodiimide hydrochloride |
|
| 别名 | 1-(3-二甲氨基丙基)-3-乙基碳二亚胺盐酸盐 |
| 识别 | |
| CAS号 | 25952-53-8 |
| SMILES |
|
| 性质 | |
| 化学式 | C8H17N3·HCl |
| 摩尔质量 | 191.70 g·mol⁻¹ |
| 熔点 | < 110-114 °C |
| 若非注明,所有数据均出自一般条件(25 ℃,100 kPa)下。 | |
EDC(1-(3-二甲氨基丙基)-3-乙基碳二亚胺盐酸盐)是个可溶于水的碳二亚胺,在酰胺合成中用作羧基的活化试剂,也用于活化磷酸酯基团、蛋白质与核酸的交联和免疫偶连物的制取。使用时的pH范围为4.0-6.0,常和N-羟基琥珀酰亚胺(NHS)或N-羟基硫代琥珀酰亚胺连用,以提高偶联效率。
有机化学中用EDC和催化剂4-二甲氨基吡啶(DMAP)使羧酸与醇发生酯化。
参考资料
- Nakajima, N; Ikada, Y; Bioconjug Chem. 1995, 6(1), 123-130. Abstract
- Skotnicki, S; Tetrahedron Lett. 1994, 35(2), 197-200. [1]
外部链接
- EDC-PubChem
参考来源
出自A+医学百科 “碳二亚胺”条目 http://www.ye8.net/yixueshu/w/%E7%A2%B3%E4%BA%8C%E4%BA%9A%E8%83%BA 转载请保留此链接
| 关于“碳二亚胺”的留言: | |
|
目前暂无留言 | |
| 添加留言 | |