乙酰乙酰辅酶A
| A+医学百科 >> 乙酰乙酰辅酶A |
| 乙酰乙酰辅酶A | |
|---|---|
| 识别 | |
| CAS号 | 1420-36-6 |
| PubChem | 74 |
| ChemSpider | 83198 |
| SMILES |
|
| InChI |
|
| InChIKey | OJFDKHTZOUZBOS-CITAKDKDBD |
| ChEBI | 15345 |
| MeSH | acetoacetyl+CoA |
| 性质 | |
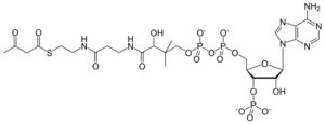
| 化学式 | C25H40N7O18P3S |
| 摩尔质量 | 851.609 g/mol g·mol⁻¹ |
| 若非注明,所有数据均出自一般条件(25 ℃,100 kPa)下。 | |
乙酰乙酰辅酶A(英语:Acetoacetyl CoA)是甲羟戊酸途径中合成β-羟基-β-甲戊二酸单酰辅酶A(HMG-CoA)的前体,是胆固醇合成的必要物质,在肝脏中的酮体合成里也有一定作用。在组织中的酮体分解途径中,它的合成与分解则与HMG-CoA无关。
它由硫解酶合成两分子乙酰辅酶A而来,再由β-羟-β-甲戊二酸单酰辅酶A合酶与一分子乙酰辅酶A合成HMG-CoA。而在亮氨酸的代谢过程中,上述反应按相反方向进行。
另见
|
||||||||||||||||||||||||||||||||||||||||||||||||||||||||
参考来源
出自A+医学百科 “乙酰乙酰辅酶A”条目 http://www.ye8.net/yixueshu/w/%E4%B9%99%E9%85%B0%E4%B9%99%E9%85%B0%E8%BE%85%E9%85%B6A 转载请保留此链接
| 关于“乙酰乙酰辅酶A”的留言: | |
|
目前暂无留言 | |
| 添加留言 | |