三聚氰胺
| A+医学百科 >> 三聚氰胺 |
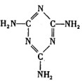
三聚氰胺(Melamine)(化学式:C3H6N6),俗称密胺、蛋白精,IUPAC命名为“1,3,5-三嗪-2,4,6-三氨基”,是一种三嗪类含氮杂环有机化合物,被用作化工原料。它是白色单斜晶体,几乎无味,微溶于水(3.1g/L常温),可溶于甲醇、甲醛、乙酸、热乙二醇、甘油、吡啶等,不溶於丙酮、醚类、对身体有害,不可用於食品加工或食品添加物。三聚氰胺是氨基氰的三聚体,由它制成的树脂加热分解时会释放出大量氮气,因此可用作阻燃剂。它也是杀虫剂环丙氨嗪在动物和植物体内的代谢产物。
目录 |
物质定义
汉语拼音:sān jù qíng àn
三聚氰胺(英文名:Melamine),是一种三嗪类含氮杂环有机化合物,重要的氮杂环有机化工原料。简称三胺,俗称蜜胺、蛋白精,又叫2 ,4 ,6- 三氨基-1,3,5-三嗪、1,3,5-三嗪-2,4,6-三胺、2,4,6-三氨基脲、三聚氰酰胺、氰脲三酰胺。
更多英文名称: 1,3,5-Triazine-2,4,6-triamine;2,4,6-Triamino-1,3,5-triazine;2,4,6-Triamino-s-triazine;Aero;Cyanuramide;Cyanuric triamide;Cyanurotriamide;
Cyanurotriamine;DG 002 (amine);Hicophor PR;Isomelamine;Melamine;NCI-C50715;Pluragard;Pluragard C 133;s-Triazine, 2,4,6-triamino-;Teoharn;Theoharn;Virset 656-4;
化学式(分子式) C3H6N6
相对分子质量 126.15
CAS 登录号 108-78-1
EINECS 登录号 203-615-4
(左图为结构简式,右图为其球棍模型示意图)
物理性质
三聚氰胺性状为纯白色单斜棱晶体,不可燃,无味,低毒,密度1.573g/cm3 (16℃)。常压熔点354℃,急剧加热则分解;快速加热升华,升华温度300℃。在水中溶解度随温度升高而增大,在20℃时,约为3.3 g/L,即微溶于冷水,溶于热水,极微溶于热乙醇,不溶于醚、苯和四氯化碳,可溶于甲醇、甲醛、乙酸、热乙二醇、甘油、吡啶等。
化学性质
呈弱碱性(pH值=8),与盐酸、硫酸、硝酸、乙酸、草酸等都能形成三聚氰胺盐。在中性或微碱性情况下,与甲醛缩合而成各种羟甲基三聚氰胺,但在微酸性中(pH值5.5~6.5)与羟甲基的衍生物进行缩聚反应而生成树脂产物。遇强酸或强碱水溶液水解,胺基逐步被羟基取代,先生成三聚氰酸二酰胺,进一步水解生成三聚氰酸一酰胺,最后生成三聚氰酸。
合成工艺
三聚氰胺最早被李比希于1834年合成,早期合成使用双氰胺法:由电石(CaC2)制备氰胺化钙(CaCN2),氰胺化钙水解后二聚生成双氰胺(dicyandiamide),再加热分解制备三聚氰胺。目前因为电石的高成本,双氰胺法已被淘汰。与该法相比,尿素法成本低,目前较多采用。尿素以氨气为载体,硅胶为催化剂,在380-400℃温度下沸腾反应,先分解生成氰酸,并进一步缩合生成三聚氰胺。反应式为:6 CO(NH2)2 → C3N6H6 + 6 NH3 + 3 CO2
生成的三聚胺气体经冷却捕集后得粗品,然后经溶解,除去杂质,重结晶得成品。尿素法生产三聚氰胺每吨产品消耗尿素约3800kg、液氨500kg。
按照反应条件不同,三聚氰胺合成工艺又可分为高压法(7-10MPa,370-450℃,液相)、低压法(0.5-1MPa,380-440℃,液相)和常压法(<0.3MPa,390℃,气相)三类。
国外三聚氰胺生产工艺大多以技术开发公司命名,如德国巴斯夫(BASF Process)、奥地利林茨化学法(Chemical Linz Process)、鲁奇法(Lurgi Process)、美国联合信号化学公司化学法(Allied Signal Chemical)、日本新日产法(Nissan Process)、荷兰斯塔米卡邦?既DSM法)等。这些生产工艺按合成压力不同,可基本划分为高压法、低压法和常压法三种工艺。目前世界上技术先进、竞争力较强的主要有日本新日产Nissan法和意大利Allied-Eurotechnica的高压法,荷兰DSM低压法和德国BASF的常压法。
中国三聚氰胺生产企业多采用半干式常压法工艺,该方法是以尿素为原料0.1MPa以下,390℃左右时,以硅胶做催化剂合成三聚氰胺,并使三聚氰胺在凝华器中结晶,粗品经溶解、过滤、结晶后制成成品。
主要用途
三聚氰胺是一种用途广泛的基本有机化工中间产品,最主要的用途是作为生产三聚氰胺甲醛树脂(MF)的原料。三聚氰胺还可以作阻燃剂、减水剂、甲醛清洁剂等。该树脂硬度比脲醛树脂高,不易燃,耐水、耐热、耐老化、耐电弧、耐化学腐蚀、有良好的绝缘性能、光泽度和机械强度,广泛运用于木材、塑料、涂料、造纸、纺织、皮革、电气、医药等行业。
其主要用途有以下几方面:
(1)装饰面板:可制成防火、抗震、耐热的层压板,色泽鲜艳、坚固耐热的装饰板,作飞机、船舶和家具的贴面板及防火、抗震、耐热的房屋装饰材料。
(2)涂料:用丁醇、甲醇醚化后,作为高级热固性涂料、固体粉末涂料的胶联剂、可制作金属涂料和车辆、电器用高档氨基树脂装饰漆。
(3)模塑粉:经混炼、造粒等工序可制成蜜胺塑料,无毒、抗污,潮湿时仍能保持良好的电气性能,可制成洁白、耐摔打的日用器皿、卫生洁具和仿瓷餐具,电器设备等高级绝缘材料。
(4)纸张:用乙醚醚化后可用作纸张处理剂,生产抗皱、抗缩、不腐烂的钞票和军用地图等高级纸。
(5)三聚氰胺甲醛树酯与其他原料混配,还可以生产出织物整理剂、皮革鞣润剂、上光剂和抗水剂、橡胶粘合剂、助燃剂、高效水泥减水剂、钢材淡化剂等。
(6)少量时可用于我们日常食用的点心中,如:桃酥。
(7)农业:在农业中三聚氰胺是用来加在化肥中的。
三聚氰胺-市场
中国三聚氰胺的消费市场主要集中于木材加工、装饰板、涂料、模塑料、纸张、纺织、皮革等行业,其中木材加工业占国内总消费量的56%。另外,中国三聚氰胺约有50%用于出口,主要出口到日本、韩国、新加坡、西班牙、德国、印尼、意大利等国家。
国内需求量较大的市场是广东、广西、苏南地区,年需求量在1.25万吨左右。在两广地区,山东海化魁星股份有限公司、四川川化集团公司、合肥四方集团公司三家的市场份额约占整个市场用量的65%。苏南市场用户多为个体私营企业,需求量虽大,但竞争很激烈,经营风险较大,其次是上海市场,年需求量在1.0万吨以上,主要被南京金星、石化实业有限公司、四川川化集团公司、合肥四方集团公司占有。华北市场年需求量约1.20万吨,但该地区生产厂家众多,价格混乱,竞争无序,因此一些厂家限制了对该地区的供货。东北、浙闽、西北、湘赣等地的市场需求量不断增加,价格也比较稳定,西部地区随着大开发的进行,今后的用量也将不断的增加,重点在建筑、油漆业、涂料等方面,但由于该地区整体经济水平较差,需求不旺。
全球三聚氰胺消费总量以高于5%的幅度增长,但各地区分布不均衡。2003年,全球三聚氰胺需求量约110万吨,主要集中在欧美和日本等发达国家和地区,约占全球总消费量的60%~70%,主要用于涂料、装饰纸或层压板、纺织或造纸、模塑料以及胶粘剂等行业。预计2004年全球消费量约为120万吨,比2003年增长约8%。
近几年中国三聚氰胺消费快速增长,目前保持10%~20%的增长幅度。随着中国经济总体发展水平的不断提高,人们对高档建筑装饰材料的需求不断增加。据中国木材流通协会地板委员会的资料显示,今年中国强化木地板市场消费量同比增长约30%,而国家自2002年7月1日正式实施建筑材料控制游离甲醛含量的强制性标准,也极大地刺激了三聚氰胺在强化木地板生产方面的消费。但其他方面的需求增长相对缓慢。预计,未来几年中国对三聚氰胺消费增长幅度仍会保持在10%~20%。
毒性危害
目前三聚氰胺被认为毒性轻微,大鼠口服的半数致死量大于3克/公斤体重。据1945年的一个实验报道:将大剂量的三聚氰胺饲喂给大鼠、兔和狗后没有观察到明显的中毒现象。动物长期摄入三聚氰胺会造成生殖、泌尿系统的损害,膀胱、肾部结石,并可进一步诱发膀胱癌。1994年国际化学品安全规划署和欧洲联盟委员会合编的《国际化学品安全手册》第三卷和国际化学品安全卡片也只说明:长期或反复大量摄入三聚氰胺可能对肾与膀胱产生影响,导致产生结石。然而,2007 年美国宠物食品污染事件的初步调查结果认为:掺杂了≤6.6%三聚氰胺的小麦蛋白粉是宠物食品导致中毒的原因,为上述毒性轻微的结论画上了问号。但为安全计,一般采用三聚氰胺制造的食具都会标明“不可放进微波炉使用”。
国家卫生部于2008年9月12日发布了“与食用受污染三鹿牌婴幼儿配方奶粉相关的婴幼儿泌尿系统结石诊疗方案”,有关方面可以参照。
方案中指出结石绝大部分累及双侧集合系统及双侧输尿管,这与成人泌尿系统结石临床表现有所不同,多发性结石影响肾功能的概率更高。由于患儿多不具备症状主诉能力,家长需要加强对相关儿童的观察,依靠腹部B超和(或)CT检查,可以帮助早期确定诊断。在治疗方面,目前没有针对三聚氰胺毒性作用的特效解毒剂,临床上主要依靠对症支持治疗,必要时可以考虑外科手术干预,解除患儿肾功能长期损害的风险。早期诊断、早期治疗,是使患儿早日康复的关键。
三聚氰胺进入人体后,发生取代反应(水解),生成三聚氰酸,三聚氰酸和三聚氰胺形成大的网状结构,造成结石。
美国食品药品管理局(FDA)食品安全高官史蒂芬.桑德洛夫表示,研究发现,在食品中只有同时含有三聚氰胺和三聚氰酸这两种化学成分时才对婴儿健康构成威胁。
这看来虽然三聚氰胺和三聚氰酸共同作用下才会导致肾结石,但是三聚氰胺在胃的强酸性环境中会有部分水解成为三聚氰酸,因此只要含有了三聚氰胺就相当于含有了三聚氰酸,其危害的本身仍源于三聚氰胺。
人体对三聚氰胺耐受标准
三聚氰胺是一种低毒的化工原料。动物实验结果表明,在动物体内新陈代谢很快而且不会存留,主要影响泌尿系统。
三聚氰胺量剂和临床疾病之间存在明显的量效关系。三聚氰胺在婴儿 体内最大耐受量为每公斤奶粉15毫克。专家对受污染婴幼儿配方奶粉进行的风险评估显示,以体重7公斤的婴儿为例,假设每日入奶粉150克,其安全预值即最大耐受量为15毫克/公斤奶粉。
根据美国食物及药物管理局的标准,三聚氰胺每日可容忍摄入量为每日0.63毫克/公斤体重。
假蛋白原理
由于中国采用估测食品和饲料工业蛋白质含量方法的缺陷,三聚氰胺也常被不法商人掺杂进食品或饲料中,以提升食品或饲料检测中的蛋白质含量指标,因此三聚氰胺也被作假的人称为“蛋白精”。
蛋白质主要由氨基酸组成。蛋白质平均含氮量为16%左右,而三聚氰胺的含氮量为66%左右。常用的蛋白质测试方法“凯氏定氮法”是通过测出含氮量乘以6.25来估算蛋白质含量,因此,添加三聚氰胺会使得食品的蛋白质测试含量虚高,从而使劣质食品和饲料在检验机构只做粗蛋白质简易测试时蒙混过关。有人估算在植物蛋白粉和饲料中使测试蛋白质含量增加一个百分点,用三聚氰胺的花费只有真实蛋白原料的1/5。三聚氰胺作为一种白色结晶粉末,没有什么气味和味道,所以掺杂后不易被发现。
奶粉事件:各个品牌奶粉中蛋白质含量为15-20%(晚上在超市看到包装上还有标示为10-20%的),蛋白质中含氮量平均为16%。某合格奶粉蛋白质含量为18%计算,含氮量为2.88%。而三聚氰胺含氮量为66.6%,是鲜牛奶的151倍,是奶粉的23倍。每100g牛奶中添加0.1克聚氰胺,理论上就能提高0.625%蛋白质。
微溶系指1g(ml)溶质能在100ml~1000ml溶剂中溶解,三聚氰胺在水中微溶,在牛奶这种水包油型的乳液中溶解度未找到实验数据,应该比水的溶解度要好一些,待验证。
检测方案:在现有奶粉检测的国家标准中,主要进行蛋白质、脂肪、细菌等检测。三聚氰胺属于化工原料,是不允许添加到食品中的,所以现有标准不会包含相应内容。亦即三聚氰胺检测目前并无国家标准。因此,德国莱茵TÜV集团参照美国食品化学品法典(FCC)HPLC-UV定量方法,同时还可采用HPLC/MS检测方法(实验室方法)对婴儿食品,宠物食品,饲料及其原料(包括淀粉,大米蛋白, 玉米蛋白, 谷朊粉、粮油等)开展的检测业务,检测结果具备权威性。
三鹿奶粉假蛋白的另一种解释为,企业加入的是尿素,而原奶直接变成奶粉是在高温下进行的,高温使得尿素发生脱水反应,生成三聚氰胺,因此最终产出的奶粉中还有三聚氰胺。
牛奶添加三聚氰胺的作用
奶粉有毒是因为其中含三聚氰胺,可能是在奶粉中直接加入的,也可能是在原料奶中加入的。
牛奶和奶粉添加三聚氰胺,主要是因为它能冒充蛋白质。
食品都是要按规定检测蛋白质含量的。要是蛋白质不够多,说明牛奶兑水兑得太多,说明奶粉中有太多别的东西的粉。
但是,蛋白质太不容易检测,生化学家们就想出个偷懒的办法:因为蛋白质是含氮的,所以只要测出食品中的含氮量,就可以推算出其中的蛋白质含量。
因此添加过三聚氰胺的奶粉就很难检测出其蛋白质不合格了,这就是三聚氰胺的假蛋白。
测定纯蛋白的常用方法
面对层出不穷的造假,正规严格的营养测定应该是奶粉等待检样品中的真实蛋白质含量,这在发达国家就是测定所谓的纯蛋白(或称真蛋白),且被先于中国采用为食品工业的日常标准检测方法。
食品或饲料中测定纯蛋白,也是检测牛奶氮含量的国际标准(ISO 8968)。其实,它就是把凯氏定氮法做了些改进,包括中国的实验室在内都已经应用很多年了。
本法所指的纯蛋白,同样是测出食品中的含氮量×6.25来计算。它是通过分离掉样品处理液中的非蛋白质氮,测定剩下的真蛋白氮来实现的。实际上就是只要多一道步骤即可:先用三氯乙酸处理样品处理液。三氯乙酸能让蛋白质形成沉淀,过滤后,分别测定沉淀的氮含量,就可以知道蛋白质的真正含量,需要的话还可以测定滤液中冒充蛋白质的氮含量。
如果中国早改以此为标准,食品和饲料中用非蛋白质的三聚氰胺之类冒充的假蛋白就无所遁形了。
相关致病案例
2007年,美国爆发宠物食品受污染事件。事后调查表明:掺杂了≤6.6%三聚氰胺的小麦蛋白粉是宠物食品导致中毒的原因。
2008年9月,中国爆发三鹿婴幼儿奶粉受污染事件,导致食用了受污染奶粉的婴幼儿产生肾结石病症,其原因也是奶粉中含有三聚氰胺。
国家质检总局近日紧急在全国开展了婴幼儿奶粉三聚氰胺含量专项检查。此次专项检查对其余109家企业进行了排查,共检验了这些企业的491批次产品。阶段性检查结果显示,有22家婴幼儿奶粉生产企业的69批次产品检出了含量不同的三聚氰胺。
检出三聚氰胺婴幼儿配方乳粉企业名单
序号 标称的企业 产品名称 抽样数 不合格数 三聚氰胺最高含量mg/kg
1、 石家庄三鹿集团股份有限公司 三鹿牌婴幼儿配方乳粉 11 11 2563.00
2 、上海熊猫乳品有限公司 熊猫可宝牌婴幼儿配方乳粉 5 3 619.00
3 、青岛圣元乳业有限公司 圣元牌婴幼儿配方乳粉 17 8 150.00
4、 山西古城乳业集团有限公司 古城牌婴幼儿配方乳粉 13 4 141.60
5、 江西光明英雄乳业股份有限公司 英雄牌婴幼儿配方乳粉 2 2 98.60
6、 宝鸡惠民乳品(集团)有限公司 惠民牌婴幼儿配方乳粉 1 1 79.17
7、 内蒙古蒙牛乳业(集团)股份有限公司 蒙牛牌婴幼儿配方乳粉 28 4 68.20
8 、中澳合资多加多乳业(天津)有限公司 可淇牌婴幼儿配方乳粉 1 1 67.94
9 、广东雅士利集团股份有限公司 雅士利牌婴幼儿配方乳粉 30 10 53.40
10 、湖南培益乳业有限公司 南山倍益牌婴幼儿配方乳粉 3 1 32.00
11、 黑龙江省齐宁乳业有限责任公司 婴幼儿配方乳粉2段基粉 1 1 31.74
12 、山西雅士利乳业有限公司 雅士利牌婴幼儿配方乳粉 4 2 26.30
13、 深圳金必氏乳业有限公司 金必氏牌婴幼儿配方乳粉 2 2 18.00
14、 施恩(广州)婴幼儿营养品有限公司 施恩牌婴幼儿配方乳粉 20 4 17.00
15、 广州金鼎乳制品厂 金鼎牌婴幼儿配方乳粉 3 1 16.20
16、 内蒙古伊利实业集团股份有限公司 伊利牌儿童配方乳粉 35 1 12.00
17、 烟台澳美多营养品有限公司 澳美多牌婴幼儿配方乳粉 6 6 10.70
18、 青岛索康营养科技有限公司 爱可丁牌婴幼儿配方乳粉 3 1 4.80
19、 西安市阎良区百跃乳业有限公司 御宝牌婴幼儿配方乳粉 3 1 3.73
20、 烟台磊磊乳品有限公司 磊磊牌婴幼儿配方乳粉 3 3 1.20
21、 上海宝安力乳品有限公司 宝安力牌婴幼儿配方乳粉 1 1 0.21
22、 福鼎市晨冠乳业有限公司 聪尔壮牌婴幼儿配方乳粉 1 1 0.09
液态奶检出三聚氰胺的批次表
公司 序号 生产企业 产品名称 规格型号 商标 生产日期/批次 三聚氰胺(mg/kg)
蒙牛 1蒙牛(武汉)友芝友乳业有限公司 核桃牛奶 200ml/袋 友芝友 20080910 0.765
蒙牛 2内蒙古蒙牛乳业(集团)股份有限公司 蒙牛高钙低脂牛奶 250ml/盒 蒙牛 2008.08.07 0.8
蒙牛 3 内蒙古蒙牛乳业(集团)股份有限公司 全脂灭菌纯牛乳 250ml/盒 蒙牛 2008.09.01 1.0
蒙牛 4 内蒙古蒙牛乳业(集团)股份有限公司 高钙低脂牛奶 250ml/盒 蒙牛 2008.08.01 1.5
蒙牛 5 内蒙古蒙牛乳业(集团)股份有限公司 早餐奶(麦香味) 250ml/包 蒙牛 20080814 1.9
蒙牛 6 内蒙古蒙牛乳业(集团)股份有限公司 蒙牛早餐奶 250ml/盒 蒙牛 2008.07.26/x 2.57
蒙牛 7 内蒙古蒙牛乳业(集团)股份有限公司 妙点 250ml/盒 蒙牛 20080728/W206 3.17
蒙牛 8 蒙牛乳业(北京)有限责任公司 木糖醇酸牛奶 2kg/瓶 蒙牛 20080806 3.52
蒙牛 9 内蒙古蒙牛乳业(集团)股份有限公司 高钙低脂牛奶 243ml(250g)/袋 蒙牛 20080908/C206/GAfb 4.2
蒙牛 10 蒙牛乳业(马鞍山)有限公司 蒙牛大粒果实酸牛奶 160克/盒 蒙牛 M20080903 6.8(A样)
蒙牛 11 蒙牛乳业(马鞍山)有限公司 蒙牛大粒果实酸牛奶 160克/盒 蒙牛 M20080903 7(B样)
伊利 1 济南伊利乳业有限责任公司 伊利芒果+黄桃酸牛奶 125g/盒 伊利 2008.09.07 0.69
伊利 2 内蒙古伊利实业集团股份有限公司 酸牛奶(木瓜+甜橙) 125g/瓶 伊利 20080903 1.02
伊利 3 内蒙古伊利实业集团股份有限公司 纯牛奶 220ml/袋 伊利 2008.09.13 2.2
伊利 4 内蒙古伊利实业集团股份有限公司 脱脂奶 250ml/盒 伊利 20080820 2.9
伊利 5 内蒙古伊利实业集团股份有限公司 纯牛奶 220ml/袋 伊利 20080905MIAC6 5.5
伊利 6 内蒙古伊利实业集团股份有限公司 纯牛奶 242ml/袋 伊利 20080906/LIA09 8
伊利 7 内蒙古伊利实业集团股份有限公司 高钙低脂奶 250ml/盒 伊利 20080819 8.4
光明 1 北京光明健能乳业有限公司 光明酸牛奶(原味) 180g/袋 光明 2008.09.12 0.6
光明 2 武汉光明乳品有限公司 原味酸牛奶 180g/盒 光明 2008-09-13 3.41
光明 3 北京光明健能乳业有限公司 原味酸牛奶 100克/杯 光明 20080910A 3.5
光明 4 北京光明健能乳业有限公司 大颗果粒草莓酸奶 450克/盒 光明 20080902BC 4.8
光明 5 光明乳业有限责任公司 益生菌.优乳酪(原味) 190g/罐 光明 B20080908C 5.65
光明 6 北京光明健能乳业有限公司 优酪乳.酸牛奶(原味) 580克/瓶 光明 B20080909A 8.6
三聚氰胺的违法添加案例
2007年深圳检验检疫局从台湾进口的3批“爱族牌”观赏鱼饲料检出三聚氰胺,且三聚氰胺含量较高,分别为0.35 g/kg 、0.47g/kg 、0.51g/kg。这3批鱼饲料共 846千克,货值1016美元。
2007年福建、天津、山东、珠海检验检疫局从进口马来西亚、泰国、秘鲁的鱼粉(HS编码均为2301201000)中检出三聚氰胺阳性,已依法对进口鱼粉作出 退货处理。
据美国食品药品管理局(FDA)官方消息,美国FDA首次在美国国内生产的饲料中发现含有三聚氰胺,有关企业已经开始自动召回相关产品。含有三聚氰胺的饲料添加剂来自俄亥俄州托莱多市Tembec BTLSR公司和科罗拉多州约翰斯敦市Uniscope公司。Tembec公司生产AquaBond和Aqua-Tec II黏合剂,主要用于出口,同时向Uniscope公司提供生产Xtra-Bond黏合剂的原料,Uniscope公司生产的Xtra-Bond黏合剂主要供应美国市场。上述黏合剂主要用于生产牛、绵羊、山羊、鱼、虾的颗粒饲料。Tembec公司确认,为了增加颗粒饲料的黏性,在产品配方中添加了三聚氰胺。但在美国三聚氰胺禁止用来作为动物或鱼/虾饲料添加剂。
2007年北京检验检疫局从进口澳大利亚的宠物食品(HS编码为2309101000)中检出三聚氰胺阳性,并依法对进口宠物食品作出退货处理。
相关毒性试验
1> 试验方法:Oral
摄入方式: 3161 mg/kg
测试对象:Rodent - rat
毒性类型:acute
毒性作用: 1.Details of toxic effects not reported other than lethal dose value
2> 试验方法:Inhalation
摄入方式: 3248 mg/m3
测试对象:Rodent - rat
毒性类型:acute
毒性作用: 1.Details of toxic effects not reported other than lethal dose value
3> 试验方法:Intraperitoneal
摄入方式: 3200 mg/kg
测试对象:Rodent - rat
毒性类型:acute
毒性作用: 1.Sense Organs and Special Senses (Eye) - lacrimation
2.Behavioral - tremor
3.Lungs, Thorax, or Respiration - cyanosis
4> 试验方法:Unreported
摄入方式: 6 mg/kg
测试对象:Rodent - rat
毒性类型:acute
毒性作用: 1.Details of toxic effects not reported other than lethal dose value
5> 试验方法:Oral
摄入方式: 3296 mg/kg
测试对象:Rodent - mouse
毒性类型:acute
毒性作用: 1.Details of toxic effects not reported other than lethal dose value
6> 试验方法:Intraperitoneal
摄入方式: 800 mg/kg
测试对象:Rodent - mouse
毒性类型:acute
毒性作用: 1.Sense Organs and Special Senses (Eye) - lacrimation
2.Behavioral - tremor
3.Lungs, Thorax, or Respiration - cyanosis
7> 试验方法:Unreported
摄入方式: 1 mg/kg
测试对象:Rodent - mouse
毒性类型:acute
毒性作用: 1.Details of toxic effects not reported other than lethal dose value
8> 试验方法:Administration onto the skin
摄入方式: >1 mg/kg
测试对象:Rodent - rabbit
毒性类型:acute
毒性作用: 1.Details of toxic effects not reported other than lethal dose value
9> 试验方法:Oral
摄入方式: 21840 mg/kg/4W-C
测试对象:Rodent - rat
毒性类型:MutipleDose
毒性作用: 1.Behavioral - food intake (animal)
2.Kidney, Ureter, Bladder - other changes
3.Nutritional and Gross Metabolic - weight loss or decreased weight gain
10> 试验方法:Oral
摄入方式: 32760 mg/kg/13W-C
测试对象:Rodent - rat
毒性类型:MutipleDose
毒性作用: 1.Kidney, Ureter, Bladder - other changes
2.Related to Chronic Data - death
11> 试验方法:Oral
摄入方式: 21 mg/kg/14D-C
测试对象:Rodent - rat
毒性类型:MutipleDose
毒性作用: 1.Kidney, Ureter, Bladder - inflammation, necrosis, or scarring of bladder
2.Nutritional and Gross Metabolic - weight loss or decreased weight gain
12> 试验方法:Inhalation
摄入方式: 58 ug/m3/17W-I
测试对象:Rodent - rat
毒性类型:MutipleDose
毒性作用: 1.Liver - other changes
2.Blood - changes in serum composition (e.g. TP, bilirubin, cholesterol)
3.Biochemical - Enzyme inhibition, induction, or change in blood or tissue levels - transaminases
13> 试验方法:Oral
摄入方式: 93600 mg/kg/13W-C
测试对象:Rodent - mouse
毒性类型:MutipleDose
毒性作用: 1.Kidney, Ureter, Bladder - other changes
14> 试验方法:Oral
摄入方式: 50400 mg/kg/14D-C
测试对象:Rodent - mouse
毒性类型:MutipleDose
毒性作用: 1.Kidney, Ureter, Bladder - inflammation, necrosis, or scarring of bladder
15> 试验方法:Administration into the eye
摄入方式: 500 mg/24H
测试对象:Rodent - rabbit
毒性类型:SkinEyeIrrition
毒性作用: 1.Mild
16> 试验方法:
摄入方式: 78 ug/well
测试对象:Bacteria - Escherichia coli
毒性类型:Mutation
毒性作用:
17> 试验方法:Oral
摄入方式: 1 mg/kg
测试对象:Rodent - mouse
毒性类型:Mutation
毒性作用:
18> 试验方法:Oral
摄入方式: 195 mg/kg/2Y-C
测试对象:Rodent - rat
毒性类型:Tumorigenic
毒性作用: 1.Tumorigenic - Carcinogenic by RTECS criteria
2.Kidney, Ureter, Bladder - tumors
19> 试验方法:Oral
摄入方式: 197 mg/kg/2Y-C
测试对象:Rodent - rat
毒性类型:Tumorigenic
毒性作用: 1.Tumorigenic - Carcinogenic by RTECS criteria
2.Kidney, Ureter, Bladder - tumors
20> 试验方法:Oral
摄入方式: 162 mg/kg/2Y-C
测试对象:Rodent - rat
毒性类型:Tumorigenic
毒性作用: 1.Tumorigenic - equivocal tumorigenic agent by RTECS criteria
2.Kidney, Ureter, Bladder - tumors
21> 试验方法:Inhalation
摄入方式: 500 ug/m3,male 17 week(s) pre-mating
测试对象:Rodent - rat
毒性类型:Reproductive
毒性作用: 1.Reproductive - Paternal Effects - spermatogenesis (incl. genetic material, sperm morphology, motility, and count)
2.Reproductive - Fertility - pre-implantation mortality (e.g. reduction in number of implants per female; total number of implants per corporalutea)
3.Reproductive - Effects on Embryo or Fetus - fetal death
家庭如何检测奶制品中是否含有三聚氰胺
1。按比平常浓的分量用热水冲奶粉,充分搅拌到不见固块,然后放入冰箱,待牛奶静置降温。
2。准备黑布一块和空杯一个。把黑布蒙在空杯口上作为过滤器。
3。将冷却的牛奶倒在黑布上过滤。
4。如果有白色固体滤出,则用清水冲洗几次,排除其它可溶物。
5。如果冲洗后发现有白色晶体,可以将晶体放入清水中,该晶体如果沉入水底。那就很可能是三聚氰胺,这种奶粉不能用了。
这种方法可能无法发现微量的三聚氰胺,但微量的三聚氰胺使孩子得结石的可能性也低得多,至少可以把把关。
以上方法仅供参考。
专业的化学检测法测试三聚氰胺
GC-MS法测定动物食品中的三聚氰胺
Spectra-Quad实现三聚氰胺含量在线检测
超高效液相色谱_电喷雾串联质谱法测定饲料中残留的三聚氰胺
反相高效液相色谱法测定饲料中三聚氰胺的含量
高效液相色谱-二极管阵列法测定高蛋白食品中的三聚氰胺
高效液相色谱法(HPLC)测定饲料中三聚氰胺的含量
高效液相色谱-四极杆质谱联用测定饲料中三聚氰胺含量
固相萃取与高效液相色谱联用测定宠物食品中三聚氰胺
液相色谱串联质谱法(LC-MSMS)分析宠物食品中三聚氰胺
液相色谱-串联质谱法测定饲料中三聚氰胺残留
GC-MS法测定动物食品中的三聚氰胺
1仪器与条件
Agilent1100高效液相色谱仪(美国,Agilent公司);二极管阵列检测器(DAD),检测波长240nm,柱温:40℃。
(1)AgelaVenusilTMASBC18(4.6×250mm);缓冲液:10mM柠檬酸,10mM庚烷磺酸钠;流动相:缓冲溶液:乙腈=85:15;流速:1.0mL/min。
(2)AgelaVenusilTMASBC8(4.6×250mm);流动相:缓冲液:乙腈=85:15;缓冲液:10mM柠檬酸,10mM辛烷磺酸钠,调pH为3.0;流速:1.0mL/min;
离子交换固相萃取柱AgelaClearnertTMPCX(北京艾杰尔科技有限公司)
2试剂与样品
宠物饲料样品(农业部饲料供应中心提供);甲醇、乙腈为北京艾杰尔科技有限公司提供;氨水、乙酸铅、三氯乙酸、均购于北京化学试剂公司;三聚氰胺标准品、柠檬酸、辛烷磺酸钠(Sigma公司);甲醇为色谱纯,其他均为化学纯。
3实验方法
3.1样品前处理方法
(1)标准样品配制:
取50mg三聚氰胺标准品,以20%甲醇溶解定容至50mL得到1000ppm的标准溶液,使用时,以提取液(0.1%三氯乙酸)稀释至所要的浓度。
(2)提取:
称取饲料样品5g,加入50ml0.1%三氯乙酸提取液,充分混匀,加入2mL2%乙酸铅溶液,超声20min。
然后取部分溶液转移至10mL离心管中,8000rpm/min离心10min,取上清液3mL过混合型阳离子交换小柱(PCX)。
(3)净化(PCX小柱,60mg/3mL):
a)活化及平衡:3mL甲醇,3mL水
b)上样:加入提取液3mL
c)淋洗:3mL水;3mL甲醇;弃去淋洗液并将小柱抽干。
d)洗脱:5mL5%氨化甲醇(v/v)洗脱。(5%氨化甲醇的配制:5mL氨水+95mL甲醇)。
e)浓缩:50℃,氮气吹干,20%甲醇/水定容至2mL,HPLC分析或衍生后GC/MS分析。
3.2HPLC检测方法
3.2.1三聚氰胺HPLC-UV检测方法
三聚氰胺是强极性化合物,在传统的反相C18柱上保留很差,需要用离子对试剂色谱方法才能有良好的保留与分离,按照美国食品药品监督管理局(FDA)的三聚氰胺检测方法和中国农业部公布的三聚氰胺检测方法,采用艾杰尔(Agela)ASB系列亲水色谱柱,可以得到良好的分离效果,分析色谱图如下:
(a)色谱柱:VenusilASBC84.6×250mm;标准:FDA方法;流动相:缓冲液:乙腈=85:15;缓冲液:10mM柠檬酸,10mM辛烷磺酸钠,调pH为3.0;流速:1.0mL/min;柱温:40oC;波长:240nm
(b)色谱柱:VenusilASB-C184.6×250mm;标准:中国农业部颁标准方法;缓冲液:10mM柠檬酸,10mM庚烷磺酸钠;流动相:缓冲溶液:乙腈=85:15;流速:1.0mL/min;柱温:40℃;波长:240nm
3.2.2三聚氰胺LC-MS检测方法
由于FDA公布的HPLC-UV方法中,流动相添加了离子对试剂,因此限制了液质联用方法的使用;但不用离子对试剂色谱方法,三聚氰胺在传统的C18柱上保留很差,不能得到较好的分离定量〔3〕。
基于此问题,艾杰尔科技公司自主开发了新的方法,采用艾杰尔(Agela)ASB系列亲水色谱柱,不用离子对试剂也能得到有效的保留与分离。因此方法中流动相不含离子对试剂,可以用于质谱检测。
与FDA2007年4月布的《UpdatedFCCDevelopmentalMelamineQuantitation(HPLC-UV)》相比较,该方法大大降低了最低检测限(MSD:0.5ppm;UV:2ppm),提高了检测灵敏度。
以该方法分别在ASB-C84.6×250mmASB-C184.6×250mm得到的谱图如下:
图3LC-MS方法检测三聚氰胺的谱图
缓冲液:10mM的NH4AC;流动相:Buffer::ACN=95:5;流速:1.0mL/min;进样量:样品先用70%ACN溶解成约1mg/mL,用ACN稀释成0.1mg/mL,进10uL;柱温:40℃;波长:240nm
4结果与讨论
4.1阳离子交换柱(PCX)
三聚氰胺呈弱碱性(弱阳离子化合物),净化过程一般应选择阳离子交换柱。混合型的阳离子交换柱(PCX)通过将磺酸基团(-SO3H)键合在极性高聚物聚苯乙烯/二乙烯苯(PEP)吸附剂上,具有阳离子交换和反相吸附两种机理,并具有以下优点:
a)可通过两种不同溶液的洗涤(水/一定pH值的缓冲溶液和有机溶剂),使样品更干净,提高检测的灵敏度。
b)批次重复性好。
c)回收率高,重现性好,即使小柱跑干也可以得到较高回收率。
4.2LC-MS方法优点:
(1)检测过程简便:无须添加离子对试剂,三聚氰胺就可得到良好的保留与分离,避免了配制离子对流动相的复杂过程。
(2)提高了检测的灵敏度:无离子对试剂,可以用于质谱检测器,大大降低了最低检测限(MSD:0.5ppm;UV:2ppm)。
(3)降低了检测成本:不用离子对试剂,就不再需要买价格较贵的离子对试剂了,从而降低了检测成本。
(4)延长了色谱柱的使用寿命:避免了使用离子对试剂减少色谱柱寿命的影响。
(5)该方法所使用的色谱柱具有通用性:无论是用FDA方法、中国农业部部颁标准方法和本公司开发的LC-MS方法,使用艾杰尔(Agela)ASB系列亲水色谱柱均能得到一个很好的检测结果,从而给客户提供了多种选择空间。
国家食品质量监督检测中心有关人士说,在现有的国家标准奶粉检测中,主要进行蛋白质、脂肪、细菌等检测。三聚氰胺属于化工原料,是不允许添加到食品中的,所以现有标准不会包含相应内容。也就是说,三聚氰胺不属于常规检测项目,正常情况下,很少有人会想到去检测它。
三聚氰胺事件导致伤亡人员数量
卫生部2008年9月21日通报三鹿牌婴幼儿配方奶粉事件医疗救治情况时指出,截止到2008年9月21日8时,各地报告因食用婴幼儿奶粉正在住院接受治疗的婴幼儿共有12892人,其中有较重症状的婴幼儿104人;此前已治愈出院1579人。
通报还指出,各地报告因食用婴幼儿奶粉接受门诊治疗咨询并已基本康复的婴幼儿累计为39965人。
在所有接受治疗的婴幼儿中,2岁以内婴幼儿占81.87%,2至3岁幼儿占17.33%,3岁以上幼儿占0.8%。经流行病学调查,这些接受治疗的婴幼儿基本上与食用三鹿牌婴幼儿配方奶粉有关,没有发现与食用液态奶有关的病例。
甘肃省质量技术监督局 发 布的液态奶中三聚氰胺快速检测地方标准
前 言
本标准由兰州大学提出。
本标准起草单位:兰州大学化学化工学院、甘肃欣庆环保科技有限公司。
本标准主要起草人:黄国生、严汝龙、张国祯、冯兴华、陈成群、李庆国、马彩霞。
液态奶中三聚氰胺化学法快速检测操作规程
1. 范围
本标准规定了液态奶中三聚氰胺化学法快速检测的原理、试剂和材料、仪器和设备、操作步骤。
本标准适用于液态奶中三聚氰胺化学法的快速定性测定,本标准方法的检出限为2mg/kg。
2. 规范性引用文件
下列文件中的条款通过本标准的引用而成为本标准的条款。凡是注日期的引用文件,其随后所有的修改单(不包括勘误的内容)或修订版均不适用于本标准,然而,鼓励根据本标准达成协议的各方研究是否可使用这些文件的最新版本。凡是不注日期的引用文件,其最新版本适用于本标准。
GB/T6682 分析实验室用水规格和试验方法
3. 原理
采用固体酸性物质对液态奶中所含的三聚氰胺进行固液萃取富集后再用高效复合洗脱液洗脱,经过滤后,直接与复合有机沉淀剂作用,目视观察溶液是否变浑浊。
4. 试剂与材料
除非另有说明,所有试剂均为分析纯,水应符合GB/T 6682规定的三级水。
4.1试剂A(固体酸性物质):
由分析纯试剂配制而成,金黄至棕褐色球状颗粒浸泡于溶液中,溶液pH值控制在6-8之间。
4.2试剂B(高效复合洗脱液):
由分析纯试剂复配而成,无色透明的均质溶液,pH值控制在8-11之间。
4 3试剂C(复合沉淀剂):
由分析纯试剂复配而成,无色透明的均质溶液,pH值控制在4-7之间,在环境温度低于20℃时可能会析出晶体。
4.4微孔滤膜:0.45μm,有机相。
4.5滤纸:15cmⅹ15cm的普通定性滤纸。
5 仪器和设备
5.1电磁搅拌器:电源为220 V,转速为0转/min~2000转/min。磁子,长度为10 mm~20 mm。
5.2温控水浴锅:控温范围30℃~70℃。
5.3注射器:1mL,针头长为4-5cm。
5.4过滤漏斗:孔径405μm的不锈钢丝网制品。
5.5烧杯:100mL。
5.6量筒:50mL。
5.7塑料洗瓶:500mL。
5.8试管:15mm×150mm和12mm×120mm。
5.9移液管或移液枪:1mL。
5.10漏勺:容积为1.8mL、孔径为405μm不锈钢丝网的制品。
6 操作步骤
6.1 提取
用量筒量取50mL被测奶样(15℃~35℃)于100mL烧杯中,用漏勺量取1.8mL试剂A至烧杯中,室温搅拌10min后过滤,用水充分洗涤试剂A表面粘附的奶液,然后将其倾倒在滤纸上,吸干水后移至试管(15mm×150mm)中。鲜奶宜选用40℃~60℃的水清洗。
6.2 洗脱
用移液管量取1mL试剂B至上述试管中,将试管置于约60℃水浴中振荡3min后,用注射器将溶液吸出,将注射器针头置换成微孔滤膜,过滤至得到澄清透明液体于另一试管(12mm×120mm)中。
6.3 检测
往试管(12mm×120mm)中加入约0.3mL(6滴)试剂C振荡摇匀,静置3min后目测观察溶液有无变浑浊。
6.4 结果
若溶液变浑浊,则表示奶样中含有三聚氰胺;若溶液不变浑浊,则表示奶样中的三聚氰胺含量低于2mg/kg。
酶标仪检测
酶联免疫吸附测定法定量测定三聚氰胺残留。 利用萃取液通过均质及振荡的方式提取样品中的三聚氰胺进行免疫测定。 先将三聚氰胺酶标记物, 样品萃取物及标准加入到已经包被有三聚氰胺抗体的微孔中开始反应。在 30 分钟的孵育过程中,样品萃取物中的三聚氰胺与三聚氰胺酶标记物竞争结合微孔中的三聚氰胺抗体,孵育 30 分钟后洗掉小孔中所有没有结合的三聚氰胺及三聚氰胺酶标记物。在配制的洗液清洗结束后,每孔中加入清澈的底物溶液,结合的酶标记物将无色的底物转化为蓝色的物质。孵育 30分钟后加入终止液(盐酸) ,终止底物反应,在 450nm 波长检测吸光度值。根据各孔颜色深浅进行数据读取。依据标准的吸光度值得出样品中三聚氰胺的的浓度值。
毒性、初步风险评估指导意见
引言
据报告,中国婴幼儿肾结石和肾功能衰竭发病率增加。据认为这是摄入受三聚氰胺污染的婴幼儿配方奶粉所致。经查,有人为了增加原料奶的蛋白质含量,一连数月蓄意在牛奶中添加三聚氰胺。
2007年,美国暴发了猫和狗摄入含有三聚氰胺和氰尿酸的宠物食品而造成肾衰竭的大规模疫情。有人蓄意在宠物食品的一种配料中掺入了三聚氰胺。三聚氰胺本身毒性轻微,但实验研究结果显示,它一旦与氰尿酸结合后会形成晶体,进而造成肾中毒。尚无法知晓氰尿酸是否也是蓄意添加的,还是添加三聚氰胺制品后附带形成的。对造成该次疫情的受污染配料(蛋白粉)进行了分析,检出了以下三嗪类化合物:三聚氰胺8.4%,氰尿酸5.3%,三聚氰酸一酰胺2.3% ,三聚氰酸二酰胺1.7%,以及脲基三聚氰胺(ureidomelamine)和甲基三聚氰胺,后两种化合物分别低于1% (Dobson et al 2008)。
看来在多种牛奶和乳品中可以检出含量不一的三聚氰胺,含量从低ppb(十亿分率)到ppm(百万分率)不等。在2007年宠物食品事件后,国家/区域当局发表了初步风险评估结果。在这些初步风险评估基础上,我们制定了这份初步指导意见,以协助针对食品中三聚氰胺含量可能引起的健康问题的决策程序。
这份初步指导意见是在能够获得更多数据以进行更详细评估之前提出的初步实用参考。必须指出的是,由于目前评估存在诸多很不确定的因素,无法提出更详细的指导意见,为此尚需获得更多的数据。
世卫组织目前正着手召集国际科学家会议,以进行较透彻的评估。
三聚氰胺与氰尿酸:用途以及人类的可能接触
三聚氰胺(美国化学文摘登记号:108-78-1)
三聚氰胺通常通过与甲醛产生反应,生产三聚氰胺树脂。它有多种工业用途,其中包括制作复合板、胶水、粘合剂、塑模、涂料和阻燃剂等。在美国,三聚氰胺是一种间接的食物添加剂,仅作为粘合剂的一种成分使用。
三聚氰胺还是植物、山羊、鸡和鼠的杀虫剂环丙氨嗪的代谢物(JMPR Report 2006)。一些化肥也使用了三聚氰胺。
在目前食品安全事件之外,消费者接触三聚氰胺的程度较低。环丙氨嗪代谢产生少量残留物,此外,酸性食物(如柠檬汁或橙汁或凝乳)在压模高温环境下也可能会产生三聚氰胺。考虑到这些来源,经口摄入的三聚氰胺量估计约为0.007毫克/每公斤体重/每日(OECD 1998)。
氰尿酸(美国化学文摘登记号:108-80-5)
氰尿酸的结构与三聚氰胺相似。它可以作为三聚氰胺的一种杂质出现。氰尿酸是美国食品和药品管理局认可的可以用作反刍动物饲料添加剂的缩二脲的一种成分。它还被用作二氯异氰尿酸消毒剂的分解物,可在游泳池水中发现。消费者接触这一化学品的可能途径是:喝了游泳池的水、饮用由地表水处理后的饮水,以及食用体内积存此化学品的鱼类(OECD 1999)。对饮水消毒时,二氯异氰尿酸钠迅速脱氯,形成氰尿酸。
由于广泛应用三聚氰胺,而且食物接触材料中也广泛使用了这一化学品,食物中可能会检出微量三聚氰胺,但它不一定是人为添加的。一些国家设定了三聚氰胺从食物接触材料中进入食物的法定限量值。
三聚氰胺与氰尿酸:三聚氰胺的毒性
三聚氰胺不被代谢,很快即通过尿液排出,在血浆中的半衰期约为3小时 (OECD 1998)。该化合物具有低急性毒性,大鼠的经口半数致死量为每公斤体重3161毫克(OECD 1998)。
没有关于三聚氰胺经口毒性的人体数据。可用的数据是大、小鼠和狗的动物饲喂试验数据。大、小鼠食用含有三聚氰胺的食品造成的主要中毒症状是形成结石、炎症反应和膀胱增生(OECD 1998, Melnick et al 1984; Bingham et al 2001; IARC 1986 )。研究人员发现狗患有三聚氰胺晶尿症(Bingham et al 2001)。还有研究结果发现大鼠患有血尿症 (IUCLID 2000)。在为期13周的大鼠膀胱结石试验中,最低无明显作用剂量(NOEL)为63毫克/公斤/每日 (OECD 1998)。
啮齿动物研究显示,雄性与雌性受到的影响有所不同,雄性较易形成膀胱结石 (DHSS/NTP)。膀胱结石发病率还存在种属差异,据认为这是毒性动力学差异所致。
对膀胱结石的分析显示,结石成分是三聚氰胺和尿酸,或者是以蛋白、尿酸和磷酸盐作为基质的三聚氰胺 (Ogasawara H et al 1995; OECD 1999)。
三聚氰胺的肾毒性
对动物亚慢性和慢性喂养研究结果大多未显示有任何肾毒性。但对雌性大鼠13周饲喂试验中发现近端肾小管有石灰质存积,经两年喂养试验,还发现了肾脏慢性炎症(DHSS/NTP)。
大鼠和狗服用大量三聚氰胺后会出现多尿现象,但并无肾中毒 (Lipschitz and Stokey, 1945)。
致癌性
在为期103周的试验中,向雄性大鼠喂食三聚氰胺含量为4500 ppm(相当于225毫克/每日每公斤体重)的食物,结果发现大鼠患有膀胱癌,但雌性大鼠及雄性或雌性小鼠则未患膀胱癌 (JMPR 2006)。肿瘤与膀胱结石高度相关 (DHHS/NTP 1983),并与摄入高剂量三聚氰胺有关。
在体外或体内,三聚氰胺均无基因毒性。
世卫组织国际癌症研究机构得出的结论是,有足够的动物试验证据显示,在造成膀胱结石的情况下,三聚氰胺具有致癌性。至于三聚氰胺对人类的致癌性,尚无充足证据 (IARC 1999)。
三聚氰胺与氰尿酸:氰尿酸的毒性
氰尿酸对哺乳动物具有低急性毒性,大鼠的经口半数致死量为每公斤体重7700毫克 (OECD 1999)。几项亚慢性经口毒性研究项目显示,氰尿酸造成肾组织损伤,其中包括肾小管扩张,肾小管上皮坏死或增生,嗜碱性肾小管增加,中性粒细胞浸润,以及矿化和纤维化。这些变化也许是肾小管中氰尿酸结晶造成的 (OECD 1999)。就这些病症而言,无明显不良作用剂量 (NOAEL) 为150 毫克/公斤/每日 (OECD 1999)。
人体内,98%以上的经口摄入的氰尿酸在24小时内以原形通过尿液排出(Allen et al 1982)。
在几项短期和长期研究中,对大鼠和小鼠进行了二氯异氰尿酸钠试验。该化合物并没有诱导产生任何基因毒性、致癌或畸变作用。对摄入大剂量二氯异氰尿酸钠的大鼠和小鼠的观测发现,有膀胱结石和膀胱上皮增生,较长期的研究还发现肾小管病变。为期两年的大鼠试验显示,二氯异氰尿酸钠的无明显不良作用剂量为154毫克/每日每公斤体重 (WHO 2004)。
三聚氰胺与氰尿酸:联合毒性
三聚氰胺和氰尿酸虽然只有低急性毒性,但在2007年暴发的猫和狗在摄入受污染宠物食品后急性肾衰竭疫情中,有证据显示在同时摄入三聚氰胺和氰尿酸后,会导致肾毒性。在此事件中,宠物食品分析检出了多种三嗪类化合物,如三聚氰胺和氰尿酸等。
在一项小规模研究中,向猫喂食了剂量持续增加的三聚氰胺和氰尿酸,结果猫也出现肾衰竭,肾中有晶体 (Brown et al., 2007; Puschner et al., 2007)。这一点也被Dobson 等人(2008)的大鼠研究所证实。
研究人员试验了大鼠单独摄入三聚氰胺、三聚氰酸二酰胺或三聚氰酸一酰胺(均为三聚氰胺类似物),三聚氰胺和氰尿酸的混合物,以及这四种化合物的混合物。三聚氰酸二酰胺或三聚氰酸一酰胺单独均未对肾产生任何作用,但混合物则产生了明显的肾损伤,并在肾单位中形成晶体。分析证实了肾中三聚氰胺和氰尿酸的存在。对(宠物食品事件中的)大鼠和猫肾中单个晶体进行的红外微光谱分析证实了这些晶体为三聚氰胺-氰尿酸共晶体。
氰尿酸三聚氰胺盐溶解度非常低,这可能导致了在肾中形成氰尿酸三聚氰胺盐晶体。目前的假设是,三聚氰胺和氰尿酸在消化道中被吸收,分布至全身,出于还未被完全确定的原因沉淀于肾小管中,导致进行性管道堵塞和变性(Dobson et al, 2008)。
三聚氰胺与氰尿酸:安全性/风险评估
在前面提到的宠物食品事件和动物饲料可能被污染后,美国食品和药品管理局和欧洲食品安全机构(EFSA)在2007年进行了初步风险评估。
美国食品和药品管理局公布了三聚氰胺及其结构类似物的临时安全/风险评估,并且确定了三聚氰胺的每日耐受摄入量(TDI)为0.63毫克/公斤体重/每日。
欧洲食品安全机构公布了临时声明,并提出三聚氰胺及其类似物(三聚氰酸二酰胺,三聚氰酸一酰胺,氰尿酸)总量的每日耐受摄入量为0.5毫克/公斤体重/每日。
鉴于中国婴幼儿配方奶粉及其他乳制品中存在三聚氰胺,欧洲食品安全机构9月24日发布了最新的公共卫生风险声明。
这些限量值是根据三聚氰胺的毒性试验研究结果确定的。鉴于目前尚无法从同时摄入三聚氰胺和氰尿酸的联合毒性研究中算出耐受摄入量,建议采用目前提出的每日耐受摄入量。
三聚氰胺与氰尿酸:关于食品中健康关注量的指导意见
美国食品和药品管理局在其临时评估中发布了如何确定特定食品的“关注量”的方法。这是在考虑当地消费模式和特定人群后会达到每日耐受摄入量的量值。
用这一方法可以得出一个指示量,表示特定食品三聚氰胺的污染达到该量值时可能导致健康问题。
在这一方法中,必须考虑目标人群的平均体重以计算每人天的三聚氰胺耐受量,然后考虑有关食品每天的食用量。
根据0.5毫克/公斤体重的每日耐受摄入量,一位体重为50公斤的人三聚氰胺每日耐受量为25毫克。假设此人每天饮用1升牛奶,那么牛奶中三聚氰胺的含量为25毫克/升时就会达到每日耐受摄入量。这一量值即为“关注量”。
如果一位婴幼儿体重为5公斤,其每日聚氰胺耐受量为2.5毫克。如果每日入750毫升液态(或经复原的)污染水平为3.3毫克/升(ppm)的配方食品,即会达到这一耐受量。
而中国三鹿牌婴幼儿奶粉的污染水平为每公斤奶粉2500毫克以上,这相当于复原乳的350 ppm(假设复原倍数为7倍)。
必须注意该方法具有很大不确定性。对于三聚氰胺毒性动力学的种属差异已有报道,但仍然缺乏关于婴儿敏感性的信息。另外,还缺乏三聚氰胺和氰尿酸相互作用的信息。同时,膳食中源自食品接触材料或者其它来源的三聚氰胺及其结构类似物的污染程度未计入内,不过这些来源的污染通常被认为较低。
因此,在考虑针对被污染的可能会对人类健康造成影响的食品采取监管行动时,应当考虑食品的可得性以及其它因素。应尽可能调查各案中三聚氰胺污染源。
三聚氰胺树脂的制备原理:
1. 羟甲基三聚氰胺的制备:
三聚氰胺不同于尿素,可以用羟甲基取代三聚氰胺中的亚氨基上的氢,生成单羟甲基到六羟甲基三聚氰胺。三聚氰胺具有6个活性氢原子,可以在酸或碱的催化下和1~6mol的甲醛反应,生成相应的羟甲基三聚氰胺。1mol三聚氰胺和3mol甲醛反应,生成三羟甲基三聚氰胺,反应进行的迅速且容易,反应过程中放热且反应是不可逆的,超过三个羟甲基就必须在过量的甲醛的存在下,且反应是可逆的,属于吸热反应。甲醛过量越多,反应产物含羟甲基的数量也越多。
2. 缩聚:
多羟甲基三聚氰胺,本身可以进一步缩聚成大分子。
3. 多羟甲基三聚氰胺和丁醇的醚化反应:
涂料用三聚氰胺树脂是多羟甲基三聚氰胺和醇类在酸性催化剂存在下,发生醚化反应以便改性,使之能溶于有机溶剂或与醇酸树脂及其他多种树 脂相混溶。
除牛奶其他可能会添加的商品
1.鸡蛋(可能是饲料厂家为使饲料蛋白质含量检测起来更多,卖得更多而添进饲料里,鸡吃了这种饲料,下的蛋也就含有三聚氰胺)
2. 饲料 (以家禽饲料为主)
有关标准
GB/T 1303.2-2002 电气用热固性树脂工业硬质层压板规范 第3部分:单项材料规范 第3篇:对三聚氰胺树脂硬质层压板的要求
GB/T 14732-2006 木材工业胶粘剂用脲醛、酚醛、三聚氰胺甲醛树脂
GB/T 1981.5-2009 电气绝缘用漆 第5部分:快固化节能型三聚氰胺醇酸浸渍漆
GB/T 22288-2008 植物源产品中三聚氰胺、三聚氰酸一酰胺、三聚氰酸二酰胺和三聚氰酸的测定 气相色谱-质谱法
GB/T 23296.15-2009 食品接触材料 高分子材料 食品模拟物中2,4,6-三氨基-1,3,5-三嗪(三聚氰胺)的测定 高效液相色谱法
GB/T 5009.61-2003 食品包装用三聚氰胺成型品卫生标准的分析方法
GB/T 9567-1997 工业三聚氰胺
HG/T 3032-1999 三聚氰胺甲醛模塑制品中可提取甲醛测定方法
JB/T 9558-1999 三聚氰胺醇酸浸渍漆
SN/T 1891.2-2007 进出口微波食品包装容器及包装材料卫生标准 第2部分:三聚氰胺成型品
GB 9690-2009 食品容器、包装材料用三聚氰胺-甲醛成型品卫生标准
GB/T 22388-2008 原料乳与乳制品中三聚氰胺检测方法
GB/T 22400-2008 原料乳中三聚氰胺快速检测 液相色谱法
GB/T 3403.1-2008 塑料 粉状脲-甲醛和脲/三聚氰胺-甲醛模塑料(UF-和UF/MF-PMCs) 第1部分:命名系统和分类基础
NY/T 1372-2007 饲料中三聚氰胺的测定
WHO制定的三聚氰胺限量标准
世界卫生组织(WHO)官员表示,除了婴儿配方奶粉之外,大多数食品中含有微量的三聚氰胺不会对身体造成伤害,但该组织与美国和欧盟共同制定了监管者应实施的严格限量标准。
世界卫生组织于2008年12月5日在加拿大首都渥太华召开了一次食品安全专家会议。与会人员决定,虽然食品中根本不应存在三聚氰胺,但每公斤体重每天最多可以容忍0.2毫克聚氰胺的摄入。
世界卫生组织负责食品安全问题的官员约尔根.施伦德表示,这一标准比欧盟0.5毫克的限量更低。美国食品和药物管理局最初将限量定为0.63毫克,后来将每天可容忍的摄入量降低为0.063毫克。 最近,世界各国的奶制品都被检测出受三聚氰胺污染。各国政府将参照世界卫生组织的标准制定本国的最低食品安全标准。
三聚氰胺之父——李比希
尤斯图斯.冯. 李比希 (1803-1873)
Liebig,Justus von
尤斯图斯.冯.李比希男爵(Justus von Liebig,1803年5月12日出生于德国达姆施塔特,1873年4月18日逝世于德国慕尼黑)是一位德国化学家,他最重要的贡献在于农业和生物化学,他创立了有机化学。因此被称为“化学之父”。作为大学教授他发明了现代面向实验室的教学方法,因为这一创新,他被誉为历史上最伟大的化学教育家之一。他发现了氮对于植物营养的重要性,因此也被称为“肥料工业之父”。
|
|||||||||||||||||||||||||||||||||||
| 关于“三聚氰胺”的留言: | |
|
目前暂无留言 | |
| 添加留言 | |


