蔗糖概述
自然界分布最广的非还原性二糖,存在于许多植物中,以甘蔗和甜莱中含量最高,因此得名。纯净的蔗糖是无色晶体易溶于水,比葡萄糖、麦芽糖甜,但不如果糖甜。蔗糖是由一分子葡萄糖和一分子果糖缩合失去一分子水而成,葡萄糖分子中的醛基和果糖分子中的酮基都被破环,因此没有还原性,属非还原性二糖。蔗糖在酸或蔗糖酶的作用下,水解生成等量的葡萄糖和果糖。因此其水解产物没有还原性。
蔗糖遇浓硫酸发生脱水反应,生成复杂的混合物,其中有黑色的炭。蔗糖是各种食品的主要甜味剂,也可用于制葡萄糖和果糖。糖是人类基本的粮食之一,已有几千年的历史。蔗糖根据纯度的高低可分为三种;白糖、砂糖和片糖。
蔗糖容易被酸水解,水解后产生等量的D-葡萄糖和D-果糖。不具还原性。发酵形成的焦糖可以用作酱油的增色剂。
蔗糖光合作用的主要产物,广泛分布于植物体内,特别是甜菜、甘蔗和水果中含量极高。蔗糖是植物储藏、积累和运输糖分的主要形式。
蔗糖在人体消息化系统内经过消化液分解成为果糖和葡萄糖,经过小肠吸收。
蔗糖的用途
蔗糖可用来制作甜料:茶、咖啡、药水、药丸等 ;汽水 ;糖果; 饼干; 糕点; 腊味; 调味料; 货物、商品、期货等。
蔗糖适合的人群
一般人均可食用,
糖尿病患者不宜多食,儿童不宜多食,宜出现蛀牙。
蔗糖被认为会导致某些健康问题,其中最常见是蛀牙,这是由于口腔的细菌可将食物中的蔗糖成份转换成酸,从而侵蚀牙齿的珐琅质。
蔗糖有高热量,摄取过量容易引起肥胖。
蔗糖药典标准
品名
中文名
蔗糖
汉语拼音
Zhetang
英文名
Sucrose
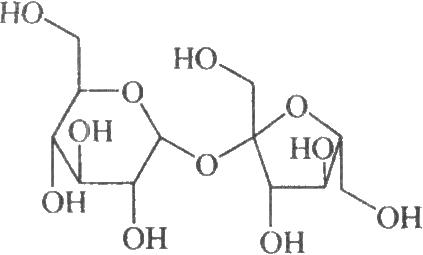
结构式

分子式与分子量
C12H22O11 342.30
CAS号
[57-30-1]
来源及含量
本品为β-D-呋喃果糖基-α-D-吡喃葡萄糖苷。
性状
本品为无色结晶或白色结晶性的松散粉末;无臭,味甜。
本品在水中极易溶解,在乙醇中微溶,在无水乙醇中几乎不溶。
比旋度
取本品,精密称定,加水溶解并定量稀释制成每1ml中约含0.1g的溶液,依法测定(2010年版药典二部附录Ⅵ E),比旋度为+66.3°至+67.0°。
鉴别
(1)取本品,加0.05mol/L硫酸溶液,煮沸后,用0.1mol/L氢氧化钠溶液中和,再加碱性酒石酸铜试液,加热即生成氧化亚铜的红色沉淀。
(2)本品的红外光吸收图谱应与蔗糖对照品的图谱一致(2010年版药典二部附录Ⅳ C)。
检查
溶液的颜色
取本品5g,加水5m1溶解后,如显色,与黄色4号标准比色液(2010年版药典二部附录Ⅸ A第一法)比较,不得更深。
硫酸盐
取本品1.0g,依法检查(2010年版药典二部附录Ⅷ B),与标准硫酸钾溶液5.0ml制成的对照液比较,不得更浓(0.05%)。
还原糖
取本品5.0g,置250ml锥形瓶中,加水25ml溶解后,精密加碱性枸橼酸铜试液25ml与玻璃珠数粒,加热回流使在3分钟内沸腾,从全沸时起,连续沸腾5分钟,迅速冷却至室温(此时应注意勿使瓶中氧化亚铜与空气接触),立即加25%碘化钾溶液15ml,摇匀,随振摇随缓缓加入硫酸溶液(1→5)25ml,俟二氧化碳停止放出后,立即用硫代硫酸钠滴定液(0.1mol/L)滴定,至近终点时,加淀粉指示液2ml,继续滴定至蓝色消失,同时做一空白试验;二者消耗硫代硫酸钠滴定液(0.1mol/L)的差数不得过2.0ml(0.10%)。
炽灼残渣
取本品2.0g,依法检查(2010年版药典二部附录Ⅷ N),遗留残渣不得过0.1%。
钙盐
取本品1.0g,加水25ml使溶解,加氨试液1ml与草酸铵试液5ml,摇匀,放置1小时,与标准钙溶液(精密称取碳酸钙0.125g,置500ml量瓶中,加水5ml与盐酸0.5ml使溶解,加水至刻度,摇匀。每1ml相当于0.10mg的Ca)5.0ml制成的对照液比较,不得更浓(0.05%)。
重金属
取炽灼残渣项下遗留的残渣,依法检查(2010年版药典二部附录Ⅷ H第二法),含重金属不得过百万分之五。
类别
药用辅料,矫味剂和黏合剂等。
贮藏
密封,在干燥处保存。
版本
《中华人民共和国药典》2010年版