盐酸硫利达嗪药典标准
品名
中文名
盐酸硫利达嗪
汉语拼音
Yansuan Liulidaqin
英文名
Thioridazine Hydrochloride
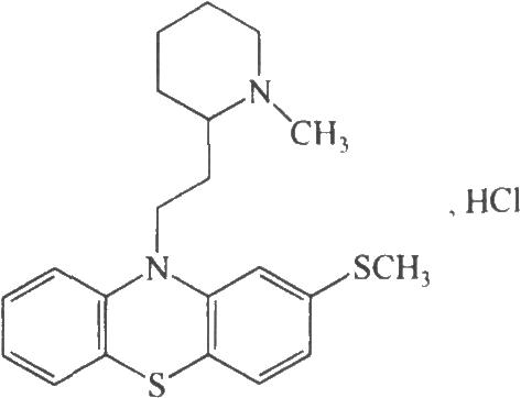
结构式

分子式与分子量
C21H26N2S2·HCl 407.04
来源(名称)、含量(效价)
本品为10-(2-(1-甲基-2-哌啶基)乙基]-2-甲基硫代吩噻嗪盐酸盐。按干燥品计算,含C21H26N2S2·HCl不得少于99.0%。
性状
本品为白色或类白色的结晶性粉末;微臭。
本品在三氯甲烷中易溶,在乙醇或水中溶解,在乙醚中几乎不溶。
熔点
本品的熔点(2010年版药典二部附录Ⅵ C)为159~165℃,熔距不得超过2℃。
鉴别
(1)取本品约5mg,加硫酸2ml使溶解,溶液显蓝色。
(2)取本品,加乙醇制成每1ml中约含8μg的溶液,照紫外-可见分光光度法(2010年版药典二部附录Ⅳ A)测定,在264nm与315nm的波长处有最大吸收。
(3)本品的红外光吸收图谱应与对照品的图谱一致(2010年版药典二部附录Ⅳ C)。
(4)本品的水溶液显氯化物的鉴别反应(2010年版药典二部附录Ⅲ)。
检查
酸度
取本品0.20g,加水20ml溶解后,依法测定(2010年版药典二部附录Ⅵ H),pH值应为4.2~5.2。
有关物质
避光操作。取本品,加三氯甲烷制成每1ml中约含10mg的溶液,作为供试品溶液;精密量取适量,用三氯甲烷稀释成每1ml中约含50μg的溶液,作为对照溶液。照薄层色谱法(2010年版药典二部附录Ⅴ B)试验,吸取上述两种溶液各5μl,分别点子同一硅胶G薄层板上,以三氯甲烷-异丙醇-浓氨溶液(74:25:1)为展开剂,展开,晾干,先用碘化铋钾试液-冰醋酸-水(10:20:70)的混合液喷雾,然后喷以过氧化氢试液,立即覆盖同样大小的洁净玻璃板,检视,供试品溶液如显杂质斑点,其颜色与对照溶液所显的主斑点比较,不得更深。
干燥失重
取本品,在105℃干燥至恒重,减失重量不得过0.5%(2010年版药典二部附录Ⅷ L)。
炽灼残渣
取本品1.0g,依法检查(2010年版药典二部附录Ⅷ N),遗留残渣不得过0.1%。
重金属
取炽灼残渣项下的遗留残渣,依法检查(2010年版药典二部附录Ⅷ H第二法),含重金属不得过百万分之十。
含量测定
取本品约0.3g,精密称定,加无水冰醋酸-醋酸(1:1) 80ml使溶解,照电位滴定法(2010年版药典二部附录Ⅶ A),用高氯酸滴定液(0.1mol/L)滴定,并将滴定的结果用空白试验校正。每1ml高氯酸滴定液(0.1mol/L)相当于40.70mg的C21H26N2S2·HCl。
类别
抗精神病药。
贮藏
遮光,密封保存。
制剂
盐酸硫利达嗪片
版本
《中华人民共和国药典》2010年版
盐酸硫利达嗪说明书
药名
硫利达嗪 (甲硫达嗪) Thiorida-zine
制剂及规格
片剂: 25mg, 50mg (盐酸盐)
盐酸硫利达嗪的药理作用及用途
属哌啶类抗精神病药物。 用于治疗精神分裂症。
盐酸硫利达嗪的用法及用量
口服:300~600mg/日。
盐酸硫利达嗪的不良反应
镇静性强,锥体外系反应轻,心电变化多。
注意事项
同三氟拉嗪。