盐酸胺碘酮药典标准
品名
中文名
盐酸胺碘酮
汉语拼音
Yansuan Andiantong
英文名
Amiodarone Hydrochloride
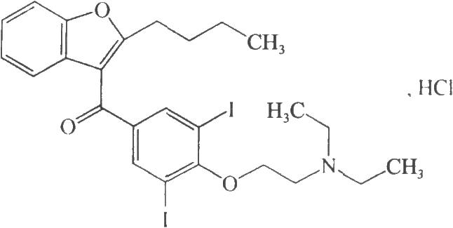
结构式

分子式与分子量
C25H29I2NO3·HCl 681.78
来源(名称)、含量(效价)
本品为(2-丁基-3-苯并呋喃基)[4-[2-(二乙氨基)乙氧基]-3,5-二碘苯基]甲酮盐酸盐。按干燥品计算,含C25H29I2NO3·HCl不得少于98.5%。
性状
本品为白色至微黄色结晶性粉末;无臭,无味。
本品在三氯甲烷中易溶,在乙醇中溶解,在丙酮中微溶,在水中几乎不溶。
熔点
本品的熔点(2010年版药典二部附录Ⅵ C)为158~162℃,熔融时同时分解。
鉴别
(1)取本品,加乙醇制成每1ml中含10μg的溶液,照紫外-可见分光光度法(2010年版药典二部附录Ⅳ A)测定,在242nm的波长处有最大吸收,在223nm的波长处有最小吸收,242nm波长处的吸光度与223nm波长处的吸光度比值应为1.47~1.61。
(2)本品的红外光吸收图谱应与对照的图谱(《药品红外光谱集》382图)一致。
(3)本品的乙醇溶液显氯化物的鉴别反应(2010年版药典二部附录Ⅲ)。
检查
酸度
取本品0.50g,加水10ml,置80℃水浴中加热溶解,放冷,依法测定(2010年版药典二部附录Ⅵ H),pH值应为3.4~3.9。
甲醇溶液的澄清度与颜色
取本品1.0g,加甲醇20ml,振摇使溶解,溶液应澄清无色;如显色,与黄色3号标准比色液(2010年版药典二部附录Ⅸ A第一法)比较,不得更深。
游离碘
取本品0.50g,加水10ml,振摇30秒钟,放置5分钟,滤过,滤液加稀硫酸1ml与三氯甲烷2ml,振摇,三氯甲烷层不得显色。
2-氯-N,N-二乙基胺
取本品,精密称定,加二氯甲烷溶解并定量稀释制成每1ml中约含100mg的溶液,作为供试品溶液;另取2-氯-N,N-二乙基胺,精密称定,加二氯甲烷溶解并定量稀释成每1ml中约含0.02mg的溶液,作为对照溶液(1);精密量取供试品溶液与对照溶液(1)各2ml,混匀,作为对照溶液(2)。照薄层色谱法(2010年版药典二部附录Ⅴ B)试验,吸取供试品溶液与对照溶液(1)各50μl,对照溶液(2) 100μl,分别点于同一硅胶GF254薄层板上,以二氯甲烷-甲醇-无水甲酸(85:10:5)为展开剂,展开,晾干,喷稀碘化铋钾溶液,然后喷稀过氧化氢溶液,立即检视。供试品溶液如显与对照溶液(2)中2-氯-N,N-二乙基胺Rf值一致的斑点,与对照溶液(1)的主斑点比较,不得更深(0.02%)。
有关物质
取本品约25mg,置50ml量瓶中,加乙腈-水(1:1)溶解并稀释至刻度,摇匀,滤过,取续滤液作为供试品溶液;精密量取1ml,置100ml量瓶中,加乙腈-水(1:1)稀释至刻度,摇匀,作为对照溶液。照高效液相色谱法(2010年版药典二部附录Ⅴ D)试验,用十八烷基硅烷键合硅胶为填充剂;以缓冲溶液(取冰醋酸3.0ml,加水800ml,用氨试液调节pH值至4.9,再加水稀释至1000ml)-甲醇-乙腈(30:30:40)为流动相;检测波长为240nm,理论板数按盐酸胺碘酮峰计算不低于7000。取对照溶液10μl,注入液相色谱仪,调节检测灵敏度,使主成分色谱峰的峰高约为满量程的20%。精密量取供试品溶液与对照溶液各10μl,分别注入液相色谱仪,记录色谱图至主成分峰保留时间的2.5倍。供试品溶液的色谱图中如有杂质峰,各杂质峰面积的和不得大于对照溶液主峰面积的0.5倍(0.5%)。
含碘量
取本品约20mg,精密称定,照氧瓶燃烧法(2010年版药典二部附录Ⅶ C)进行有机破坏,用氢氧化钠试液2ml与水10ml为吸收液,俟吸收完全后,加溴醋酸溶液(取醋酸钾10g,加冰醋酸适量使溶解,加溴0.4ml,再加冰醋酸使成100ml)10ml,密塞,振摇,放置数分钟,加甲酸约1ml,用水洗涤瓶口并通入空气流约3~5分钟以除去剩余的溴蒸气,加碘化钾2g,密塞,摇匀,用硫代硫酸钠滴定液(0.02mol/L)滴定,至近终点时,加淀粉指示液1ml,继续滴定至蓝色消失,并将滴定的结果用空白试验校正。每1ml硫代硫酸钠滴定液(0.02mol/L)相当于0.423mg的碘(I),含碘量应为36.0%~38.0%。
干燥失重
取本品,在50℃减压干燥4小时,减失重量不得过0.5%(2010年版药典二部附录Ⅷ L)。
炽灼残渣
取本品1.0g,依法检查(2010年版药典二部附录Ⅷ N),遗留残渣不得过0.1%。
重金属
取炽灼残渣项下遗留的残渣,依法检查(2010年版药典二部附录Ⅷ H第二法),含重金属不得过百万分之十。
含量测定
取本品约0.50g,精密称定,加0.01mol/L盐酸溶液5.0ml和乙醇75ml溶解,照电位滴定法(2010年版药典二部附录Ⅶ A),用氢氧化钠滴定液(0.1mol/L)滴定,两个突跃点体积的差为滴定体积。每1ml氢氧化钠滴定液(0.1mol/L)相当于68.18mg的C25H29I2NO3·HCl。
类别
抗心律失常药。
贮藏
遮光,密封保存。
制剂
(1)盐酸胺碘酮片 (2)盐酸胺碘酮注射液 (3)盐酸胺碘酮胶囊
版本
《中华人民共和国药典》2010年版
盐酸胺碘酮说明书
别名
安律酮;胺碘达隆;胺碘呋酮;胺碘酮;乙碘酮 ,乙胺碘呋酮
外文名
Amiodaron
盐酸胺碘酮的适应症
临床适用于室性和室上性心动过速和早搏、阵发性心房扑动和颤动、预激综合征等。 也可用于伴有充血性心力衰竭和急性心肌梗塞的心律失常患者。对其他βˉ受体阻断剂无效的顽固性阵发性心动过速也能奏效。另外,也用于慢性冠状动脉功能不全和心绞痛的治疗。
盐酸胺碘酮的用量用法
口服:开始每次200mg,1日3次,饭后服;3日后改用维持量,每次200mg,1日1~2次,或每次100mg,1日3次。
静滴:300mg加入250ml等渗盐水中,30分钟内滴完。
注意事项
1.主要有胃肠道反应(食欲不振、恶心、腹胀、便秘等)及角膜色素沉着(约占20%~90%),偶有皮疹及皮肤色素沉着,但停药后可自行消失。
2.房室传导阻滞及心动过缓病人忌用。
3.能使地高辛的血药浓度明显升高,两药合用有导致心脏停跳的报导。与印满丙二胺或普罗卡因胺也不能合用。如合用时,应减少剂量。
规格
片剂:每片100mg、200mg。
针剂:150mg/3ml。