乳糖概述
乳糖是哺乳动物乳汁中特有的一种双糖,乳糖由一分子葡萄糖和一分子半乳糖所构成。
在牛乳中含乳糖为4.6~4.7%,人乳中含乳糖为6~8%。乳糖的甜度是蔗糖的1/5。乳糖在食品工业中,用于作婴儿食品及炼乳品种。在医药工业中,用于药品的甜味剂和赋形剂;此外,还可作细菌培养基。
乳糖提取工艺流程
乳清→加入石灰乳混合加热→沉淀过滤→蒸发浓缩→冷却晶体→分除母液→洗涤结晶→分除洗水→干燥→粗制乳糖→溶解→压滤→结晶→分除母液→洗涤→干燥→粉碎→筛选→包装
乳糖制作方法
1.原料要求以副产品干酷乳清为原料,干物质6.5%、乳糖4.8%、脂肪0.4%、灰分0.05%,酸度1°T。也可采用酸法干酷素乳清或凝乳酸乳清。
2.乳清脱脂:将乳清加热至35℃左右,经奶油分离机分离,使干酷乳清含脂肪为0.4%。
3.乳清蛋白的分离:干酷乳清的滴定酸度为14~20°T,直接加热至90~92℃,然后加入经发酵处理的酸乳清(150~200°T),使乳清酸度提高30~35°T,再重新加热至90℃,乳清蛋白即可凝固、静止,使乳清和蛋白质分离,也可用压滤机使其分离。
4.乳清浓缩:采用单效或多效浓缩罐,对乳清进行浓缩以除去大部分水分。为防止乳糖焦化,浓缩温度不超过70℃,终了时,浓缩糖液的比重不应低于40°Be′,浓缩度为90~92%,干物质达60~70%,乳糖含量为54~55%。
5.乳糖结晶:浓缩糖液冷却后进行乳糖结晶,可采用平锅式自然结晶法和带夹层水冷却的结晶机中强制结晶法。平锅式自然结晶法,结晶的最初阶段要进行搅拌,待温度下降到30℃以后,可停止搅拌,结晶时间不少于30小时,强制结晶法可分为快速结晶和缓慢结晶两种,都在带夹层的λ可通入冷水冷却并装有搅拌器的结晶机中完成。已结晶好的糖液,具有良好的、明显的结晶结构,结晶体应为1~2毫米,呈粘稠状。
6.脱除母液与乳糖的洗涤:结晶后的乳糖,利用离心脱水机使乳糖晶体与糖蜜分离,再加入结晶糖量30%的水洗涤乳糖,以除去残存的母液和大部分盐类。经洗涤脱水后的乳糖称为湿糖,其含水量15%以下。为避免洗涤水温度过高而溶解乳糖,洗涤水的温度应低于10℃。
7.乳糖的干燥:可在半沸腾床式干燥机或气流干燥机中进行,干燥机内带有搅拌装置,干燥温度小于80℃,干燥后乳糖呈乳黄色的分散状态,水分小于1~1.5%。也可用微酸来干燥乳糖。
8.母液的回收:母液中含乳糖约为牛乳糖总量的1/3,内含有蛋白质和盐类。将母液用直接蒸汽加热至沸腾,静置,使蛋白质、盐类等不纯物沉淀,吸上层清净母液,在70℃下进行浓缩,除去大部分水分,使浓度达到42~43°Be′,然后进行结晶、洗涤、干燥,制成粗制乳糖。粗制乳糖的成品率为牛乳总量的3~4%。粗制乳糖呈淡黄色结晶粉末状,含肿蛋白质(特别是乳白朊含量较多)、灰分等不纯物。用活性炭吸附法精制。
9.粗制乳糖的溶解:在溶糖锅中,于机械搅拌下加入2%活性炭,使乳糖溶解并与活性炭充分混合,用直接蒸汽加热至沸点,浓度为30~31°Be′。再用少许石灰乳调节糖液的pH值至4.6,由于活性炭的作用,吸附了糖液中的色素。
10.压滤:上述混合液通过板杠压滤机,滤出活性炭和被吸附的杂质和蛋白质,得到纯净的糖液,颜色为淡黄色或白色,然后入结晶缸内。
11.结晶:糖液在间隙搅拌下进行自结晶,结晶时间不少于24小时。
12.母液的脱除及洗涤:结晶后的乳糖有明显的结晶体,大小为1~2毫米。结晶后的糖液在离心脱水机中脱除母液,用蒸馏水或经活性炭吸附处理后的水进行洗涤,以除去残存的母液、可溶性蛋白质和盐类等。洗涤水温度在10℃以下。
13.干燥、粉碎和筛选:含水分15%以下的半成品湿糖,可用架盘干燥箱进行干燥,干燥温度应在80℃以下,边干燥边搅拌,避免局部温度过高而产生焦化。然后用万能粉碎机进行粉碎,80目筛筛选,包装。
14.母液、洗涤水和活性炭中乳糖的回收:精制乳糖的母液和洗涤液中含有较多的乳糖,可浓缩至35~38Be′后再进行结晶。经板杠压滤出的废炭素内,含糖量也很高,可用水使之溶解、压滤。滤液加入母液和洗涤水一起浓缩、结晶。精制乳糖的收得率为牛乳中乳糖含糖量的一半,即2.35%左右。占原料棗精制乳糖的68~70%。
乳糖理化指标
精制乳糖含乳糖99.9%,灰分0.025~0.25%,蛋白质微量,水分0.5~1%
乳糖药典标准
品名
中文名
乳糖
汉语拼音
Rutang
英文名
Lactose
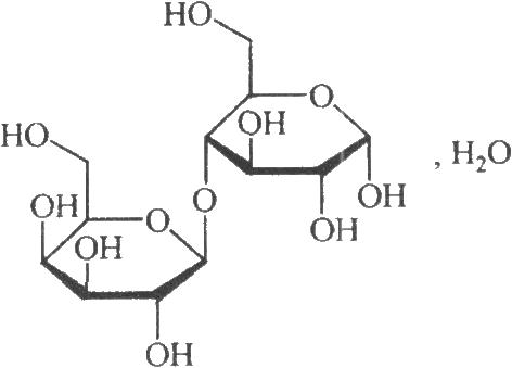
结构式

分子式与分子量
C12H22O11·H2O 360.31
CAS号
[5989-81-1]
来源及含量
本品为4-O-β-D-吡喃半乳糖基-D-葡萄糖-水合物。按无水物计算,含C12H22O11应为98.0%~102.0%。
性状
本品为白色的结晶性颗粒或粉末;无臭,味微甜。
本品在水中易溶,在乙醇、三氯甲烷或乙醚中不溶。
比旋度
取本品,在80℃干燥2小时后,精密称定,加水溶解并定量稀释制成每1ml中约含本品0.1g与氨试液0.02ml的溶液,依法测定(2010年版药典二部附录Ⅵ E),比旋度为+52.0°至+52.6°。
鉴别
(1)取本品0.2g,加氢氧化钠试液5ml,微温,溶液初显黄色,后变为棕红色,再加硫酸铜试液数滴,即析出氧化皿铜的红色沉淀。
(2)在含量测定项下记录的色谱图中,供试品溶液主峰的保留时间应与对照品溶液主峰的保留时间一致。
(3)本品的红外光吸收图谱应与对照的图谱(《药品红外光谱集》256图)一致。
检查
酸度
取本品1.0g,加水20ml溶解后,依法测定(2010年版药典二部附录Ⅵ H),pH值应为4.0~7.0。
溶液的澄清度与颜色
取本品1.0g,加沸水10ml溶解后,溶液应澄清无色;如显色,与黄色2号标准比色液(2010年版药典二部附录Ⅸ A第一法)比较,不得更深。
有关物质
取本品适量,加水溶解并稀释制成每1ml含100mg的溶液,作为供试品溶液;精密量取1ml,置100ml量瓶中,加水稀释至刻度,摇匀,作为对照溶液。照含量测定项下的方法试验,记录色谱图至主成分峰保留时间的2倍。供试品溶液的色谱图中除溶剂峰以外,如显杂质峰,各杂质峰面积的和不得大于对照溶液峰面积的0.5倍(0.5%)。
杂质吸光度
取本品,精密称定,加温水溶解并定量稀释成每1ml中含100mg的溶液,照紫外-可见分光光度法(2010年版药典二部附录Ⅳ A),在400nm的波长处测定吸光度,不得过0.04。再精密吸取上述溶液1ml,置10ml量瓶中,加水稀释至刻度,照紫外-可见分光光度法(2010年版药典二部附录Ⅳ A),在210~220nm的波长范围内测定吸光度,不得过0.25;在270~300nm的波长范围内测定吸光度,不得过0.07。
蛋白质
取本品5.0g,加热水25ml溶解后,放冷,加硝酸汞试液0.5ml,5分钟内不得生成絮状沉淀。
干燥失重
取本品,置硅胶干燥器内,在80℃减压干燥至恒重,减失重量不得过1.0%(2010年版药典二部附录Ⅷ L)。[参考资料] 国家药典委员会.中华人民共和国药典:2010年版:第一增补本[M].北京:中国医药科技出版社,2010.
水分
取本品,以甲醇-甲酰胺(2;1)为溶剂,照水分测定法(2010年版药典二部附录Ⅷ M第一法 A)测定,含水分应为4.5%~5.5%。
炽灼残渣
取本品1.0g,依法检查(2010年版药典二部附录Ⅷ N),遗留残渣不得过0.1%。
重金属
取本品3.0g,加温水20ml溶解后,再加醋酸盐缓冲液(pH 3.5)2ml与水适量使成25ml,依法检查(2010年版药典二部附录Ⅷ H第一法),含重金属不得过百万分之五。
砷盐
取炽灼残渣项下残留物,加水23ml溶解后,加盐酸5ml,依法检查(2010年版药典二部附录Ⅷ J第一法),应符合规定(0.0002%)。
微生物限度
取本品,依法检查(2010年版药典二部附录Ⅺ J),每1g供试品中除细菌数不得过1000个、霉菌及酵母菌数不得过100个外,还不得检出大肠埃希菌。
含量测定
照高效液相色谱法(2010年版药典二部附录Ⅴ D)测定。
色谱条件与系统适用性试验
用氨基键合硅胶为填充剂;以乙腈-水(70:30)为流动相;示差折光检测器检测;柱温为45℃,检测器温度为40℃。取乳糖对照品与蔗糖对照品各适量,加水溶解并稀释制成每1ml各含1mg的溶液,取10μl,注入液相色谱仪,乳糖峰与蔗糖峰之间的分离度应符合要求,理论板数以乳糖峰计算不得低于5000。
测定法
取本品适量,精密称定,加水溶解并定量稀释制成每1ml约含乳糖1mg的溶液,精密量取10μl,注入液相色谱仪,记录色谱图;另取乳糖对照品适量,同法测定,按外标法以峰面积计算,即得。
类别
药用辅料,填充剂和矫味剂等。
贮藏
密闭保存。
版本
《中华人民共和国药典》2010年版