普罗布考药典标准
品名
中文名
普罗布考
汉语拼音
Puluobukao
英文名
Probucol
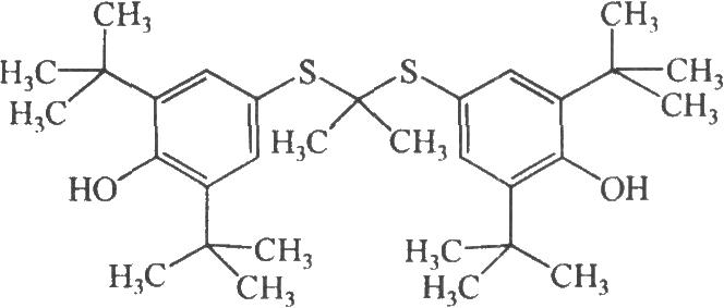
结构式

分子式与分子量
C31H48O2S2 517.86
来源(名称)、含量(效价)
本品为4,4'-[(1-甲基亚乙基)二硫]双[2,6-二(1,1-二甲乙基)苯酚],按干燥品计算,含C31H8O2S应为98.5%~102.0%。
性状
本品为白色或类白色的结晶性粉末;有特臭。
本品在三氯甲烷中极易溶解,在乙醇中溶解,在水中不溶。
熔点
本品的熔点(2010年版药典二部附录Ⅵ C)为124~127℃。
鉴别
(1)取本品约5mg,置干燥试管中,加正己烷1ml,振摇使溶解,沿壁缓缓加甲醛硫酸试液0.5ml,两层接界处即显黄绿色,放置变为棕红色环。
(2)在含量测定项下记录的色谱图中,供试品溶液主峰的保留时间应与对照品溶液主峰的保留时间一致。
(3)本品的红外光吸收图谱应与对照的图谱(《药品红外光谱集》1054图)一致。
检查
有关物质
取本品,加流动相溶解并稀释制成每1ml中约含1mg的溶液,作为供试品溶液;精密量取1ml,置100ml量瓶中,用流动相稀释至刻度,摇匀,作为对照溶液。照高效液相色谱法(2010年版药典二部附录Ⅴ D)试验,用硅胶为填充剂,无水乙醇-正己烷(1:4000)为流动相;检测波长为242nm。理论板数按普罗布考峰计算不低于4000。取对照溶液20μl,注入液相色谱仪,调节检测灵敏度,使主成分色谱峰的峰高约为满量程的25%,精密量取供试品溶液与对照溶液各20μl,分别注入液相色谱仪,记录色谱图至主成分峰保留时间的2倍。供试品溶液的色谱图中如有杂质峰,各杂质峰面积的和不得大于对照溶液的主峰面积(1.0%)。
干燥失重
取本品,在80℃减压干燥至恒重,减失重量不得过1.0%(2010年版药典二部附录Ⅷ L)。
炽灼残渣
取本品1.0g,依法检查(2010年版药典二部附录Ⅷ N),遗留残渣不得过0.1%。
重金属
取炽灼残渣项下遗留的残渣,依法检查(2010年版药典二部附录Ⅷ H第二法),含重金属不得过百万分之二十。
含量测定
照高效液相色谱法(2010年版药典二部附录Ⅴ D)测定。
色谱条件与系统适用性试验
用辛烷基硅烷键合硅胶为填充剂;乙腈-水(85:15)为流动相;检测波长为242nm。理论板数按普罗布考峰计算不低于2500。
测定法
取本品约25mg,精密称定,置50ml量瓶中,加流动相溶解并稀释至刻度,摇匀,精密量取3ml,置10ml量瓶中,用流动相稀释至刻度,摇匀,精密量取20μl,注入液相色谱仪,记录色谱图;另取普罗布考对照品,同法测定。按外标法以峰面积计算,即得。
类别
降血脂药。
贮藏
遮光,密封保存。
制剂
普罗布考片
版本
《中华人民共和国药典》2010年版
普罗布考说明书
药品名称
普罗布考
英文名称
Probucol
别名
丙丁醇;丙丁酚;普罗布可;Lorelco
分类
循环系统药物 > 调整血脂及抗动脉粥样硬化药物 > 抗氧化剂
剂型
片剂:250mg,500mg。
普罗布考的药理作用
普罗布考可能是抑制胆固醇的合成和促进胆固醇向胆汁酸转化而消耗,与LDL受体无关;还具有独特的抗动脉粥样硬化作用,主要依赖抗氧化作用,既能阻止动脉粥样硬化的发展,又能促使动脉粥样硬化病变的消退;具明显的降HDL作用,HDL的降低可能是逆化转运的结果。
普罗布考的药代动力学
口服吸收少(<10%),如与食物同服,可获得较高的血药浓度。8~24h达血药峰值,连续服药3~4个月,血药浓度逐渐上升,其后渐趋稳定。在体内蓄积于脂肪组织内,停药后半年内仍有药物存在。主要经胆汁随粪便排出。
普罗布考的适应证
用于高胆固醇血症、动脉粥样硬化症。 与降胆宁或消胆胺合用有加强作用。为用于治疗原发性高胆固醇血症的二线用药。
普罗布考的禁忌证
已有Q-T间期延长者禁用;对普罗布考过敏者、孕妇及哺乳期妇女不宜应用。
注意事项
应用普罗布考前应先纠正低血钾、低血镁、心动过缓。
普罗布考的不良反应
可有腹泻、腹胀、腹痛、恶心等消化道症状;有嗜异红细胞增多、肝功能异常、高尿酸血症、高血糖、血小板减少、肌病、感觉异常等。
普罗布考的用法用量
每次0.25~0.5g,每吞次,早晚各服1次。
药物相互作用
不宜与可引起Q-T间期延长的药物合用。
专家点评
普罗布普罗布考可用于家族性或非家族性高脂血症,不仅可阻止动脉粥样强化病进展,而且还可以使已形成的动脉粥样硬化斑块消退。冠心病患者服用普罗布考TC,TG,LDL-ch均下降,而尿蛋白、血浆蛋白、总蛋白、肾功能均无影响,普罗布考与考来烯酸合用可使血脂降低。普罗布考除调节血脂外,还具有强大抗氧化作用,能抑制LDL在体内氧化修饰,抑制泡沫细胞的形成,干扰聚集在巨噬细胞内以后形式粥样硬化性损伤的LDL形成。及其致病作用,对于冠心病患者是一个很好的预防和治疗药物。